手机版

百科生活 投稿

三角形内切圆半径公式,三角形内切圆半径公式推导(求三角形外接圆半径的三种方法)

百科 2026-02-08 07:18:34 投稿 阅读:5834次

关于【三角形内切圆半径公式】,三角形内切圆半径公式推导,今天小编给您分享一下,如果对您有所帮助别忘了关注本站哦。

  • 内容导航:
  • 1、三角形内切圆半径公式
  • 2、求三角形外接圆半径的三种方法

1、三角形内切圆半径公式

设△ABC的三边分别为a、b、c,面积为S,内切圆半径为r,则:

1/2ar+1/2br+1/2cr=S

∴r=2S/(a+b+c)

这就是三角形中内切圆半径的计算公式,即三角形中内切圆半径等于面积的2倍除以周长。
在三角形中,三个角的角平分线的交点是内切圆的圆心,圆心到三角形各个边的垂线段相等。

2、求三角形外接圆半径的三种方法

1、利用正弦定理

任意一个平面三角形,各边和它所对角的正弦值的比相等且等于外接圆的直径,即:

三角形内切圆半径公式,三角形内切圆半径公式推导(求三角形外接圆半径的三种方法)

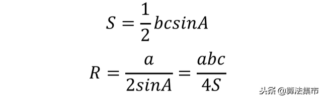
2、利用正弦定理和三角形面积

根据三角形面积公式和正弦定理,可得:

三角形内切圆半径公式,三角形内切圆半径公式推导(求三角形外接圆半径的三种方法)

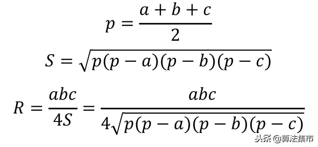
3、利用三角形面积和海伦公式

在方法二的基础上,根据海伦公式求得三角形面积,代入可得:

三角形内切圆半径公式,三角形内切圆半径公式推导(求三角形外接圆半径的三种方法)

本文关键词:锐角三角形内切圆半径公式,等腰三角形内切圆半径公式,直角三角形内切圆半径公式,三角形内切圆半径公式,三角形内切圆半径公式推导。这就是关于《三角形内切圆半径公式,三角形内切圆半径公式推导(求三角形外接圆半径的三种方法)》的所有内容,希望对您能有所帮助!

本文链接:https://bk.89qw.com/a-545227

最近发表
网站分类