手机版

百科生活 投稿

2022湖北高考全科真题试卷及答案汇总,2022湖北高考全科真题试卷及答案汇总图片(2022高考全科真题参考答案)

百科 2026-02-05 23:32:38 投稿 阅读:6876次

关于【2022湖北高考全科真题试卷及答案汇总】,2022湖北高考全科真题试卷及答案汇总图片,今天小编给您分享一下,如果对您有所帮助别忘了关注本站哦。

  • 内容导航:
  • 1、解析版!2022高考全科真题参考答案,估分必备
  • 2、2022湖北高考全科真题试卷及答案汇总

1、解析版!2022高考全科真题参考答案,估分必备

温馨提示:此试题及答案非官方发布,最终试题及答案以官方发布为准!

2022湖北高考全科真题试卷及答案汇总,2022湖北高考全科真题试卷及答案汇总图片(2022高考全科真题参考答案)

精彩内容

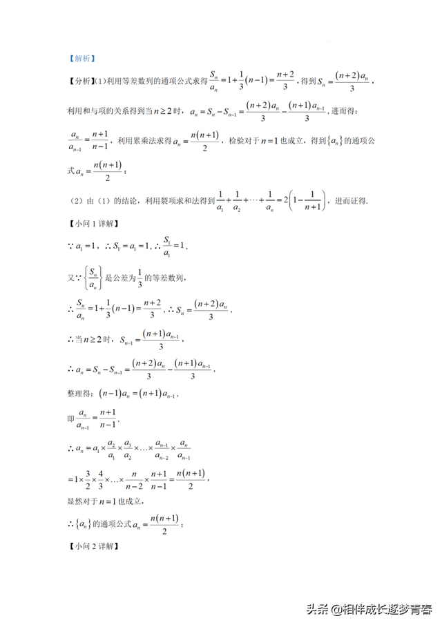
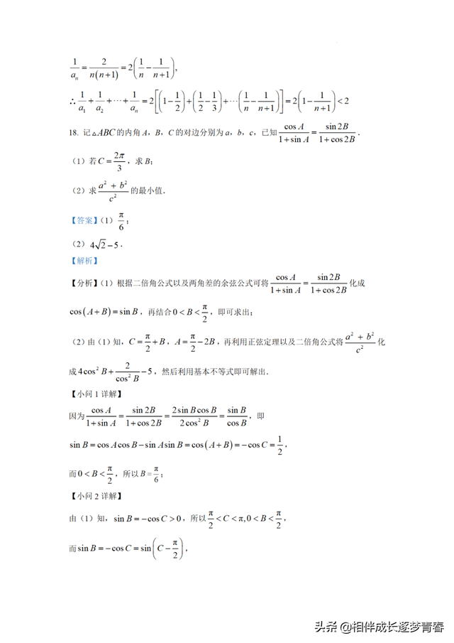
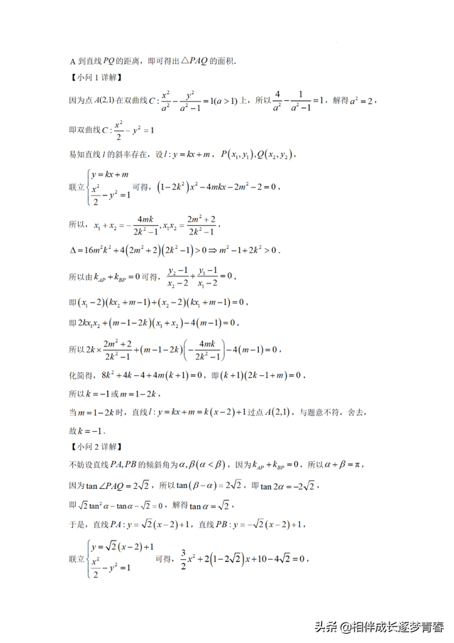
2022湖北高考全科真题试卷及答案汇总,2022湖北高考全科真题试卷及答案汇总图片(2022高考全科真题参考答案)

2022湖北高考全科真题试卷及答案汇总,2022湖北高考全科真题试卷及答案汇总图片(2022高考全科真题参考答案)

2022湖北高考全科真题试卷及答案汇总,2022湖北高考全科真题试卷及答案汇总图片(2022高考全科真题参考答案)

2022湖北高考全科真题试卷及答案汇总,2022湖北高考全科真题试卷及答案汇总图片(2022高考全科真题参考答案)

2022湖北高考全科真题试卷及答案汇总,2022湖北高考全科真题试卷及答案汇总图片(2022高考全科真题参考答案)

2022湖北高考全科真题试卷及答案汇总,2022湖北高考全科真题试卷及答案汇总图片(2022高考全科真题参考答案)

2022湖北高考全科真题试卷及答案汇总,2022湖北高考全科真题试卷及答案汇总图片(2022高考全科真题参考答案)

2022湖北高考全科真题试卷及答案汇总,2022湖北高考全科真题试卷及答案汇总图片(2022高考全科真题参考答案)

2022湖北高考全科真题试卷及答案汇总,2022湖北高考全科真题试卷及答案汇总图片(2022高考全科真题参考答案)

2022湖北高考全科真题试卷及答案汇总,2022湖北高考全科真题试卷及答案汇总图片(2022高考全科真题参考答案)

2022湖北高考全科真题试卷及答案汇总,2022湖北高考全科真题试卷及答案汇总图片(2022高考全科真题参考答案)

2022湖北高考全科真题试卷及答案汇总,2022湖北高考全科真题试卷及答案汇总图片(2022高考全科真题参考答案)

2022湖北高考全科真题试卷及答案汇总,2022湖北高考全科真题试卷及答案汇总图片(2022高考全科真题参考答案)

2022湖北高考全科真题试卷及答案汇总,2022湖北高考全科真题试卷及答案汇总图片(2022高考全科真题参考答案)

2022湖北高考全科真题试卷及答案汇总,2022湖北高考全科真题试卷及答案汇总图片(2022高考全科真题参考答案)

2022湖北高考全科真题试卷及答案汇总,2022湖北高考全科真题试卷及答案汇总图片(2022高考全科真题参考答案)

2022湖北高考全科真题试卷及答案汇总,2022湖北高考全科真题试卷及答案汇总图片(2022高考全科真题参考答案)

2022湖北高考全科真题试卷及答案汇总,2022湖北高考全科真题试卷及答案汇总图片(2022高考全科真题参考答案)

2022湖北高考全科真题试卷及答案汇总,2022湖北高考全科真题试卷及答案汇总图片(2022高考全科真题参考答案)

2022湖北高考全科真题试卷及答案汇总,2022湖北高考全科真题试卷及答案汇总图片(2022高考全科真题参考答案)

2022湖北高考全科真题试卷及答案汇总,2022湖北高考全科真题试卷及答案汇总图片(2022高考全科真题参考答案)

2022湖北高考全科真题试卷及答案汇总,2022湖北高考全科真题试卷及答案汇总图片(2022高考全科真题参考答案)

2、2022湖北高考全科真题试卷及答案汇总



2022年湖北高考采用3+1+2模式,其中语文、数学、外语三门试卷统一使用新高考I卷,其它科目由湖北本省自主命题使用。

以下为湖北高考全科语文、数学、英语、物理、化学、生物、地理、历史、政治九科试卷及参考答案汇总,本站将持续更新最新状态,近请留意!

语文:

考后会及时更新,请点击进入

2022年湖北高考语文试卷真题及答案解析

数学:

考后会及时更新,请点击进入

2022年湖北高考数学试卷真题及答案解析

英语:

考后会及时更新,请点击进入

2022年湖北高考英语试卷真题及答案解析

物理:

考后会及时更新,请点击进入

2022年湖北高考物理试卷真题及答案解析

化学:

考后会及时更新,请点击进入

2022年湖北高考化学试卷真题及答案解析

生物:

考后会及时更新,请点击进入

2022年湖北高考生物试卷真题及答案解析

地理:

考后会及时更新,请点击进入

2022年湖北高考地理试卷真题及答案解析

历史:

考后会及时更新,请点击进入

2022年湖北高考历史试卷真题及答案解析

政治:

考后会及时更新,请点击进入

2022年湖北高考政治试卷真题及答案解析

湖北高考选科模式:

3+1+2模式:
这个模式中3表示语文、数学和外语属于必考科目,而1表示物理和历史可任选1科,2表示政治、地理、化学和生物可任选其2。

新高考中的外语
新高考中的外语可以是英语、俄语、日语、德语、法语和西班牙语,只要在这几种外语中任选其一参加考试即可。


本文关键词:湖北2022年高考采用什么试卷,2020湖北高考真题及答案,2021全国高考湖北试卷,2021湖北省新高考试卷答案,2021年高考真题湖北卷。这就是关于《2022湖北高考全科真题试卷及答案汇总,2022湖北高考全科真题试卷及答案汇总图片(2022高考全科真题参考答案)》的所有内容,希望对您能有所帮助!

本文链接:https://bk.89qw.com/a-550109

最近发表
网站分类