百科生活 投稿
关于【负数减负数等于什么数】,负数减正数等于什么数,今天小编给您分享一下,如果对您有所帮助别忘了关注本站哦。
- 内容导航:
- 1、负数减负数等于什么数:负数减正数等于什么数
- 2、为什么(-1)×(-1)=1?
1、负数减负数等于什么数:负数减正数等于什么数
1、负数减正数等于负数,负数减正数相当于两个负数相加。
2、当两个负数相加时,符号不变,将数字相加减,结果为负。
3、任何正数前加上负号便成了负数,负数是比0小的数,表示与正数意义相反的量。一个负数是其绝对值的相反数。
关于负数减正数等于什么数内容的介绍就到这了。
2、为什么(-1)×(-1)=1?
上帝创造了整数
其他一切都是人造的
我们首先提出两个问题:
1)为什么负负得正(-(-1)= +1)?
2)为什么(-1)× (-1)= 1?
把这些看似简单的问题抛给学生家长,他们会感到愕然,好像天经地义,负是反过来,再反一次不就是正了吗!

这种形象的理解没有错,尽可以放心使用。但不了解“反”的真正含义,就不能令人信服。(有人心里在窃笑,你在钻牛角尖!我从小到大都懂的道理还用再啰嗦?)

其实,引入包括负数和分数的四则运算,已经超出日常的经验。历史上人们并非一朝一夕就接受和掌握,直到17世纪它们的合法性还没有得到普遍承认!
对第二个问题的回答其实并不简单。初中数学教科书不能够逃避这个问题,看看那上面是怎么解释的吧。
很自然地,在讲解负数加减运算规则时,引入数轴的概念,用数轴上的点表示数,原点表示0,原点右边的点表示正数,原点左边的点表示负数。
在进行数的运算时,可用数轴上带方向的线段来表示一个数,线段的长度代表数的大小,线段方向指向右代表一个正数,线段方向指向左表示一个负数。
这是通常的直观方法。既然正负与方向联系在一起,负负得正就容易理解了。

但是,要解释负数乘负数等于正数,这样还无济于事。
有些教科书的做法,是在方向正反的基础上再添加时间前后的解释:把以后时间的位置用正数表示,以前时间的位置用负数表示。
挖空心思地设想一种特定的情景,企图用以说明负数乘负数的结果是正数,其结果只能是自己糊涂让学生更糊涂。

实际上,负数乘负数等于正数是运算规则约定的结果:只有这样定义,有理数的运算才能承袭全部自然数的运算法则,彼此相容地给出一致的、合乎逻辑的结果。

我们下面就从头(起点!)来梳理这个线索。
自然数是数学的出发点和逻辑基础。对自然数的研究到现在也没有结束。
自然数是由1,2,3…组成的无穷多个数,其中的每一个数都等于它前面的数加1,它后面的数等于它再加1。
对自然数先定义加法运算,在加法的基础上再定义乘法运算为:任一自然数a与1相乘及与自然数(b+1)相乘的结果分别为:
a×1=a
a×(b+1)=a×b + a
加法与乘法的运算规则表现为5个公理:加法的结合律、交换律,乘法的结合律、交换律,以及加乘的分配律。
用字母a,b,c,…作为表示自然数的符号,这5个公理依次是:
a + (b + c) = (a+ b) + c
a + b = b + a
(ab)c = a(bc)
ab= ba
a(b + c) = ab +ac
这些规律作为公理而存在,它们体现了人们对于自然数的直观认识。数学家Kronecker(克罗内克)把这种状况表述为“上帝创造了整数,其他一切都是人造的。”

德国数学家克罗内克
从自然数出发扩展到有理数(包括正整数、0、分数及负数),数学向前跨进了一大步。
减法定义为加法的逆运算:若a+ b = c,则 b = c – a。
但是,只有当c比a大时,才有唯一的自然数b存在。若要对任何两个自然数都可执行减法,我们必须引进0和负数。
0的定义:任何数a加0仍等于a,a + 0 = a. 于是,a - a = 0.
负数的定义:考虑在b比a小的条件下,定义b - a =-(a - b)是一个负数。
负数可以看作正数的相反数,也可以说,正数和负数是一对相反数,其意义是二者之和为0:(a-b) + (-(a-b)) = a-b+b-a = 0。在正数前面加负号 - ,表示负数。
更一般地, 可用负号定义相反数:在一个数a(无论正负)前面加负号 - a,表示a的相反数,即满足
a +(-a)= 0
(负号作为数前面的符号,用圆括号把它与数结合在一起,以免与减法算符相混淆。)
从负数定义出发,立得第一个结果:
a + (-b)= a - b + b + (-b) = a - b
也就是说,加上一个负数,等同于减去一个正数。
从负数定义还可推出第二个结果:“负负得正”!
请看,由于(-a)是一个数,它的相反数为-(-a),故 -(-a) + (-a)= 0,等式两边同时加a,得出-(-a) = a.
从负数定义可以如下所示推出第三个结果a - (-b) = a + b:
由于b + (- b) = 0,以及 (-b)- (-b) = 0,故a - (-b) = a + b +(-b) - (-b) = a + b。
也就是说,减去一个负数,等同于加上一个正数。减号和负号的形状与作用都一样,结果也是“负负得正”!
总之,我们不必在意数a和b是正数或负数,可以归纳为:一个数加上另一个数等于减去后一个数的相反数。
我们从现在开始就强调,自然数的全部运算法则(公理)都由有理数和实数继承下来!
正是因为有了运算法则的相容性,我们从来不必关心参与运算的数是自然数,有理数,还是实数。
应用上面的说明,我们不难给出任何两个数(正数或负数)的加、减运算结果。例如:(-a)+ (-a)= -(2a)。
自然数的乘法可以作为加法的简便表示,一开始假定:a ×1 = 1 ×a = a,以及a × 0 = 0。
然后,任意两个自然a与b相乘,可根据乘与加的分配律依次得到。
接着,讨论负数的乘法,由于 a+(-a)+ a +(-a)=0,得(-a)+(-a)=-(2a)
即2×(-a)=-(2a)。 一般,(-a)× b = -(ab)
同理,可得a × (-b)= -(ab)
但是,(-a)×(-b)= ? 甚至更简单情形,(-1)×(-1)= ?
数学家经过很长一段时间才认识到(-1)×(-1)= 1是不能被证明的(即使大数学家欧拉曾给出不能令人信服的一个“证明”!),它只是一个合适的约定,以定义的方式给定。因为只有这样约定,乘加分配律才能对于负数同样成立。
请看,若将乘加分配律用于下式:
0 =(-1)× (1 + (-1))= (-1)×1 + (-1)× (-1)
就必须有:
(-1)×(-1)= 1

接着,进入到分数的定义。
任一分数可用一对自然数m和n表示为

。
分数最初是作为自然数乘法的逆运算而定义的:若n·p = m,则m÷n = p,记为

,只有当m是n的整数倍时,p才是自然数。
对任何自然数m,n定义

,使数的范围从自然数扩展到全部正有理数。
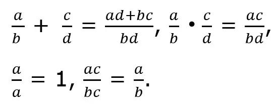
可以依照自然数除法的性质,如下定义正有理数的加法,乘法,以及两个有理数相等:
对任意自然数a, b,c, d

很容易验证,在

和
都是自然数时,上面的定义给出正确的结果,而且,上面的定义使正有理数的加法、乘法运算满足结合律与交换律,乘加运算满足分配律。
根据负数的定义,可以定义负有理数。很容易验证,对任何正、负整数a, b, c, d, 有理数

和
的加法、乘法和相等都采用上述的定义,全部有理数(整数和分数,正数和负数)的加法、乘法运算满足结合律与交换律,乘加运算满足分配律。

总而言之,在全部有理数的范围内,可以应用同样的自然数的运算法则,进行加减乘除的四则运算,得到唯一确定的、在有理数范围内的结果。
本文作者:吴新瞻
应用数学与计算机应用高级工程师,编审;
1957一1963北京大学数学力学系数学专业毕业;
1963一1967中国科学院计算技术研究所概率统计计算专业研究生毕业;
长期从事数学应用研究与计算机应用软件开发工作;
曾担任中国大百科全书《电子学与计算机》卷特约编辑与撰稿人,《今日电子》执行主编;
发表论文十余篇,编著出版《随机模型与计算机模拟》一书,译书若干种。
本文关键词:负数减负数等于什么数,负数是什么,正数和负数知识点,负数减正数等于什么数,整数减小数点的计算方法。这就是关于《负数减负数等于什么数,负数减正数等于什么数(为什么<-1>×<-1>=1)》的所有内容,希望对您能有所帮助!
- 最近发表