手机版

百科生活 投稿

文都考研资料下载,文都考研网课资源(海量考研数学真题等你来做)

百科 2026-02-08 10:28:24 投稿 阅读:4210次

关于【文都考研资料下载】,文都考研网课资源,今天小编给您分享一下,如果对您有所帮助别忘了关注本站哦。

  • 内容导航:
  • 1、文都考研资料下载
  • 2、文都网校:海量考研数学真题等你来做!(下)

1、文都考研资料下载

文都教育考研怎么样?

文都考研我不是很清楚,因为当初考研的时候我报的是另外一个培训班。

对于学习自控能力不强的人,有个培训班的督导对你考研帮助很大。

我相信,每个城市都有考研的培训结构。

名望比较大的培训结构的能力基本大同小异。

我之前考研报班只报了政治英语数学三科,专业课没有报,因为太贵了。

所以如果你确定考研的话,可以去报个班。

政治英语数学课程一个班不贵一般一两千。

专业课贵点可能到一两万。

这个价格应该是正常情况,如果再高有可能是骗子。

不过听说保过班价格超级贵,能达到四五万元。

希望能够对你有所帮助。

以上。

都一样,所谓的辅导机构赚的都是暴利,教的东西听起来似乎感觉走了捷径,其实只是得分方式的一种,也不一定是最简洁那种。

很多所谓的压题老师,压了半天只压住几道死背硬记的选择题,然后就吹嘘自己多牛,但老人早已不想理他,新人也不了解这傻逼老师的过去,所以就被继续骗了,而辅导机构大多管理混乱,真正管得过得去的屈指可数,所以,别相信什么辅导机构,最好不要去。

要相信你自己,我身边没上辅导班的比上过辅导班达到目的的要多。

因为上辅导班达到目的的就没几个。

2、文都网校:海量考研数学真题等你来做!(下)

最卷不过考研人。23考研的同学们都复习到哪里啦?今天,文都考研为大家整理了几道往年的数学真题,它们的考察侧重点各不相同,大家在做题时可以仔细思考一下,这个知识点为什么这样考?目的是考查什么?还能从哪些角度进行考察?这样才能做到有效刷真题,达到事半功倍的效果。

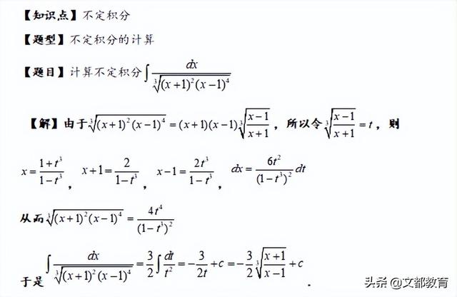
【第一题】

文都考研资料下载,文都考研网课资源(海量考研数学真题等你来做)

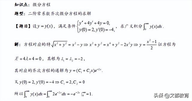
【第二题】

文都考研资料下载,文都考研网课资源(海量考研数学真题等你来做)

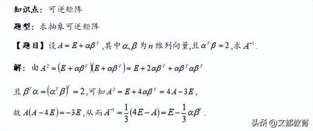
【第三题】

文都考研资料下载,文都考研网课资源(海量考研数学真题等你来做)

【第四题】

文都考研资料下载,文都考研网课资源(海量考研数学真题等你来做)

【第五题】

文都考研资料下载,文都考研网课资源(海量考研数学真题等你来做)



本文关键词:文都考研院校库,文都考研网课资源,文都考研书籍,文都考研资料百度网盘,文都考研真题。这就是关于《文都考研资料下载,文都考研网课资源(海量考研数学真题等你来做)》的所有内容,希望对您能有所帮助!

本文链接:https://bk.89qw.com/a-553247

最近发表
网站分类