手机版

百科生活 投稿

yb是什么意思,女生说yb是什么意思(风机的选型与计算)

百科 2026-02-14 14:17:32 投稿 阅读:4131次

关于【yb是什么意思】:yb是什么意思,今天小编给您分享一下,如果对您有所帮助别忘了关注本站哦。

  • 内容导航:
  • 1、yb是什么意思
  • 2、风机的选型与计算

1、yb是什么意思

  1、Yb(化学元素)一般指镱(化学元素)。

  2、镱是一种金属元素,化学符号为Yb,原子序数70,原子量173.04,元素名来源于它的发现地。1878年马里尼亚克从铒土中分离出镱的氧化物,1907年于尔班和韦耳斯指出马里尼亚克分离出的是氧化镥和氧化镱的混合物。镱在地壳中的含量为0.000266%,主要存在于磷钇矿和黑稀金矿中,有7种天然同位素。

2、风机的选型与计算

风机是输送气体的机械总称。风机是一种通用工业设备产品,用途非常广泛,公共的、商业的民用建筑和几乎所有的工业厂房和生产线上都离不开风机的应用。同时,风机作为除尘设备的动力装置,其选型对除尘效果起到相当重要的作用。

yb是什么意思,女生说yb是什么意思(风机的选型与计算)

风机分类:

按流动方向分类:

离心式:气流轴向进入叶轮后主要沿径向流动。

轴流式:气流轴向进入风机叶轮后近似地在圆柱型表面上沿轴线方向流动。

混流式:在风机的叶轮中气流的方向处于轴流式与离心式之间,近似沿锥面流动。

横流式:横流式通风机有一个筒形的多叶叶轮转子,气流沿着与转子轴线垂直的方向,从转子一侧的叶栅进入叶轮,然后穿过叶轮转子内部,通过转子的另一侧的叶栅,将气流排出。

KTY、KTJZ除尘器上所用风机均采用离心式风机。

yb是什么意思,女生说yb是什么意思(风机的选型与计算)

yb是什么意思,女生说yb是什么意思(风机的选型与计算)

yb是什么意思,女生说yb是什么意思(风机的选型与计算)

按用途分类:

按通风机的用途分类,可分为引风机,纺织风机,消防排烟风机。通风机的分类一般以汉语拼音字头代表。

yb是什么意思,女生说yb是什么意思(风机的选型与计算)

除尘器上所用风机大多数采用一般用途通风机,少数爆炸性粉尘采用防爆风机。普通叶轮采用碳素钢制作,由于部件相互碰撞,或者转子内部吸进砂粒或者铁屑等杂质,容易引起火花而导致气体燃烧爆炸,为了避免此类事故,当通风机输送易爆、易燃等级较低的气体介质时,通风机的蜗壳用钢板制作,叶轮用铝材制作。当气体易燃、易爆等级较高时,则蜗壳和叶轮必须都采用铝材制作。同一规格型号的一般用途通风机与防爆风机整体外观尺寸无太大差异,只是叶轮所用材质不一样。

按比转速分类:

比转速是指达到单位流量和压力所需转速。

1.低比转速(n=11~30)

该类风机进口直径小,工作轮宽度不大,蜗壳的宽度和张开度小。通风机的比转速越小,叶片形状对气动特性曲线的影响越小。

2.中比转速(n=30~60)

该类风机各自具有不同的几何参数和气动参数。压力系数大的和压力系数小的中比转速通风机,它们的直径几乎相差一倍。

3.高比转速(n=60~81)

该类风机具有宽工作轮和后向叶片,叶片数较少,压力系数和最大效率值较高。

离心风机的表示:

风机行业对风机型号的表述已作明确的规定。离心通风机的型号由名称、型号、机号、传动方式、旋转方向和出风口位置六部分内容组成,其排列序号如图所示。

yb是什么意思,女生说yb是什么意思(风机的选型与计算)

1用途代号按相关规定(一般按用途名称拼音的第1个大写字母)。

2压力系数的5倍化整后采用一位数。个别前向叶轮的压力系数的5倍化整后大于10时,也可用二位数表示。

3比转速采用两位整数。若用二叶轮并联结构,或单叶伦双吸结构,则用2乘比转速表示。

4若产品的型式有重复代号或派生型时,则在比转速后加注序号,采用罗马数字Ⅰ、Ⅱ等表示。

5设计序号阿拉伯数字“1”、“2”等表示。供对该型产品有重大修改时用。若性能参数外形尺寸、地基尺寸、易损件没有更动时,不应使用设计序号。

6机号用叶轮直径的分米数表示。

7传动型式,离心通风机的传动型式通常有电动机直联、带轮、联轴器等三种型式。各种传动型式的代表符号与结构说明见表1与下图。

表1 离心通风机传动型式代表符号与结构说明

yb是什么意思,女生说yb是什么意思(风机的选型与计算)

yb是什么意思,女生说yb是什么意思(风机的选型与计算)

8旋转方向,风机可以制成右旋或左旋两种型式。从电机一端正视,叶轮按顺时间针方向旋转称右旋风机,以“右”表示;反之,称左旋风机,以“左”表示。

yb是什么意思,女生说yb是什么意思(风机的选型与计算)

9 出风口位置,以机壳的出风口角度表示,“左”、“右”均可制成0°、45°、90°、135°、180°、225°共六中角度。

yb是什么意思,女生说yb是什么意思(风机的选型与计算)

离心通风机的名称型号表示:

yb是什么意思,女生说yb是什么意思(风机的选型与计算)

风机举例,风机(G4-73 11D/左45°)外形及型号说明如下图所示。

yb是什么意思,女生说yb是什么意思(风机的选型与计算)

G :锅炉离心通风机

4 :最高效率点时的全压系数乘以10后的化整数

73:比转数

11:风机进风口为单吸入,设计序号为第1次

X :机号,叶轮直径为X

D :传动方式为D式;即联轴器联接,叶轮悬臂安装

左:叶轮旋转方向为左旋

45°:风机出风口位置为45°

凯天常用风机厂家命名举例:

风机(DHF-TH 1120C/左90°/B)外形及型号说明如下图所示。

yb是什么意思,女生说yb是什么意思(风机的选型与计算)

DH:品牌,如德惠

F :风机

TH:TH系列

1120:机号,叶轮直径为1120mm

C :传动方式为C式;悬臂支撑,皮带轮在轴承外侧;

左:叶轮旋转方向为左旋;

45°:风机出风口位置为45°;

B :出风口在风机进风口与电机中间。

与此同时需要注意的是此风机规格型号性能均符合技术要求,通常该品牌风机轴承采用日本NSK品牌轴承。

风机主要参数:

1、风量:风机在单位时间内所输送的气体体积流量称之为风量或流量,通常指的是在工作状态下输送的气体量。(单位:m³/h、m³/min、m³/s)。

2、风压:风机的风压系指全压,它为动压和静压两部分之和。(单位:Pa);

动压:通风机出口截面上气体的动能所表征的压力称之为动压;

静压:通风机单位面积上受到的垂直作用力。

3、功率:风机单位时间内对空气所做的功。(单位:kW、W)

4、效率:风机的输出功率和输入功率的比值。

5、转速:风机每分钟的旋转圈数。(单位:r/min)

6、比转数:比转数是风机的一个特性参数,表示风机在最高效率点下风量、风压及转速之间的关系。比转数大的风机,流量大,风压低;比转速小的风机,流量小,风压高。

通风机相似定律与特性曲线:

1.通用风机相似理论作用

目前风机种类繁多,同一系列产品就有许多不同的叶轮直径,同一直径也有不同转速。如果要绘制每一种个体特性曲线表示风机性能,就会显得过于复杂。因此非常有必要讨论同一系列产品、同一直径各产品及其模型和实物间关系的相似理论。对于风机选型来说,我们可以根据供应商提供的某系列某直径的风机个体特性曲线,在改变转速、叶轮几何尺寸及流体密度时,可进行性能参数的相似性换算。

2.风机相似定律条件

两台通风机相似,表示两台通风机气体流动相似,它必须满足几何相似、运动相似和动力相似三个条件。

(1)几何相似。指两台通风机的各过流部件对应的线性尺寸同一比例,对应角、叶片数均相等。

(2)运动相似。指两台通风机各对应点上的同名速度方向相同,速度之比相等,即各对应点上的速度三角形相似。

(3)动力相似。指两台通风机过流部分对应点上流体质点受到的各同名力的比值相等,方向相同。

3.风机相似定律

相似定律也称为比例定律。根据通风机的相似条件,可以推出如下关系:

(1)流量相似关系。因几何相似和运动相似,可推得:

yb是什么意思,女生说yb是什么意思(风机的选型与计算)

几何相似机泵与风机,在相似的工况下,其流量与叶轮直径的三次方、转速及容积效率的一次方成正比。

(2)风机全压与静压相似关系。根据几何相似和动力相似条件,可推得相似通风机在相似工况点全压和静压的比值相等,即:

yb是什么意思,女生说yb是什么意思(风机的选型与计算)

几何相似机泵与风机,在相似的工况下,其全压与叶轮直径及转速的二次方、以及流动效率(流体密度)的一次方成正比。

(3)风机轴功率相似关系。根据流量相似关系、风机全压相似关系及通过风机效率计算公式,可推出:

yb是什么意思,女生说yb是什么意思(风机的选型与计算)

几何相似机泵与风机,在相似的工况下,其轴功率与流体密度的一次方、叶轮直径五次方、转速的三次方成正比;与机械效率的一次方成反比。

风机选型计算:

1.风机选型流程:

yb是什么意思,女生说yb是什么意思(风机的选型与计算)

2.选型内容:

(1)风量:由系统所需风量决定;

(2)全压:由管路系统和除尘设备阻力决定;

(3)进出风口角度:由进出口方向定;

(4)选装方向:由管道系统决定;

(5)传动方式:决定传递效率,电机直联传动、联轴器直接传动、皮带传动的机械效率分别为1、0.98、0.95。

(6)在选用风机时,应该考虑到通风管道系统不严密而漏风及阻力计算的误差,为使风机运行可靠,系统的风量和风压应留余量。

yb是什么意思,女生说yb是什么意思(风机的选型与计算)

(7)电机型号:选用风机配用电机时,应考虑电动机的安全系数(K),电动机功率按下式计算:

yb是什么意思,女生说yb是什么意思(风机的选型与计算)

式中 PZ-通风机轴功率(kW);

K-电动机容量安全系数(按下表选用);

η-机械传动效率;

yb是什么意思,女生说yb是什么意思(风机的选型与计算)

3.风机选型举例

(1)按无因次性能参数进行选型

按无因次特性参数选型,首先要确定所属风机的比转速。而确定风机所需的比转速,则必须先选定风机的转速。所选风机几何尺寸不要太大,叶轮的圆周速度不要太高,如果初定转速不合格,可以调整从新计算。

选型实例:要求:Q=23612m³/h,P= 5761Pa;

选型步骤:求比转速(ns),初步确定风机的型号:

yb是什么意思,女生说yb是什么意思(风机的选型与计算)

Q-流量 (m³/s);P-全压 (Pa)。

由于电机的转速一般为2900r/min、1450r/min、960r/min、730r/min几种,尽量取大的转速,这样可以减小风机的外形尺寸,另从风机压力上看这是一台高压风机,所以选2900r/min和1450r/min两种转速进行选形。

ns1=62.26(n=2900r/min);ns2=31.28(n=1450r/min)

根据计算所得的两种比转速可确定:

a) 当n=2900r/min时可选用4-62型风机(前面的数字“4”表示压力系数,“62”表示风量系数,根据(72大风量、62中风量、26低风量、19小风量、12小风量)

b) 当n=1450 r/min时可选用9-26型风机

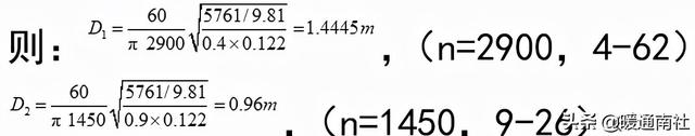
确定风机的叶轮外径(D)根据风机的压力系数公式:

yb是什么意思,女生说yb是什么意思(风机的选型与计算)

P-全压 (Pa)、D-叶轮直径 (m)、n-叶轮转速 (r/min)、ρ-介质密度 (kg/m³)

推算:

yb是什么意思,女生说yb是什么意思(风机的选型与计算)

yb是什么意思,女生说yb是什么意思(风机的选型与计算)

由此计算结果可判断:

当n=2900r/min时可选用4-62型机座号为15的风机;当n=1450r/min时可选用9-26型机座号为10的风机;再根据经济性的考虑,选用9-26-10的风机。

风机功率的确定轴功率:

yb是什么意思,女生说yb是什么意思(风机的选型与计算)

启动功率 Ne=1.15=54.28 kW

(2)按风机性能表进行选型

风机制造厂都会印有本厂的风机产品样本和目录。在风机产品样本和目录中,通常是按系列、机号列出各种转速下的选用性能表,表中的性能参数值是风机最高效率点90%范围内的数值,并取6-8个性能点的数值,以供选用。

管道系统设计选型:

风压的确定根据管道水力计算确定。通风管道的水力计算是在系统和设备布置、风管材料、各送排风点的位里和风量均已确定的基础上进行的。其主要目的是确定各管段的管径(或断面尺寸)和阻力,保证系统内达到要求的风量分配。最后确定风机的型号和动力消耗。

风管水力计算方法有假定流速法、压损平均法和静压复得法等几种。目前常用的是假定流速法。

压损平均法的特点是将已知总作用压头按干管长度平均分配给每一管段,再根据每一管段的风量确定风管断面尺寸。如果风管系统所用的风机压头已定,或对分支管路进行阻力平衡计算。

静压复得法的特点是,利用风管分支处复得的静压来克服该管段的阻力,根据这一原则确定风管的断面尺寸。此法适用于高速空调系统的水力计算。

假定流速法的特点是,先按技术经济要求选定风管的流速。再根据风管的风量确定风管的断面尺寸和阻力。多数按此法进行风压计算。

假定流速法的计算步骤和方法如下:

(a)绘制通风或空调系统轴测图,对各管段进行编号,标注长度和风量。管段长度一般按两管件间中心线长度计算,不扣除管件(如三通、弯头)本身的长度。

(b)确定合理的空气流速

风管内的空气流速对通风、空调系统的经济性有较大的影响。流速高,风管断面小,材料耗用少,建造费用小;但是系统的阻力大,动力消耗增大,运行费用增加。对除尘系统会增加设备和管道的磨损,对空调系统会增加嗓声。流速低,阻力小,动力消耗少;但是风管断面大,材料和建造费用大,风管占用的空间也增大。对除尘系统流速过低会使粉尘沉积堵塞管道。因此,必须通过全面的技术经济比较选定合理的流速。根据经险总结,风管内的空气流速可按下表确定。

yb是什么意思,女生说yb是什么意思(风机的选型与计算)

确定风管断面尺寸时,应采用通风管道统一规格进行管道选型,以利于工业化加工制作。风管断面尺寸确定后,应按管内实际流速计算阻力。阻力计算应从最不利环路(即阻力最大的环路)开始。

(c)当风机在非标准状态下工作时应按式、式对风机性能进行换算,再以此参数从风机样本上选择风机。

管道水利计算举例:有一通风除尘系统,风管全部用钢板制作,管内输送含有轻矿物粉尘的空气,气体温度为常温。各排风点的排风量和各管段的长度见图所示。该系统采用滤筒除尘器进行排气净化,除尘器压力损失△P=1200Pa。对该系统进行设计计算。

确定风管断面尺寸时,应采用通风管道统一规格进行管道选型,以利于工业化加工制作。风管断面尺寸确定后,应按管内实际流速计算阻力。阻力计算应从最不利环路(即阻力最大的环路)开始。

(c)当风机在非标准状态下工作时应按式、式对风机性能进行换算,再以此参数从风机样本上选择风机。

管道水利计算举例:有一通风除尘系统,风管全部用钢板制作,管内输送含有轻矿物粉尘的空气,气体温度为常温。各排风点的排风量和各管段的长度见图所示。该系统采用滤筒除尘器进行排气净化,除尘器压力损。失△P=1200Pa。对该系统进行设计计算。

yb是什么意思,女生说yb是什么意思(风机的选型与计算)

风机选型计算:

1.对各管段进行编号,标出管段长度和各排风点的排风量。

2.选定最不利环路,本系统选择1-3-5-除尘器-6-风机-7为最不利环路。

3.根据各管段的风量及选定的流速,确定最不利环路上各管段的断面尺寸和单位长度摩擦阻力。

根据表,输送含有轻矿物粉尘的空气时,风管内最小风速为:垂直风管12m/s,水平风管14m/s。

考虑到除尘器及风管漏风,取 5%的漏风系数,管段 6及 7的计算风量为 6300*1.05=6615m3/h。

管段1:

水平风管,初定流速为14m/s。根据 Ql=1500m3/h(0.42m3/s)、v1= 14m/s所选管径按通风管道统一规格调整为:D1=200mm;实际流速v1=13.4m/s;由图2-3-1查得,Rm1=12.5Pa/m;

同理可查得管段3、5、6、7的管径及比摩阻,具体结果见表。

4.确定管段2、4的管径及单位长度摩擦力,见表2-3-5。

5.计算各管段局部阻力。

例如:

yb是什么意思,女生说yb是什么意思(风机的选型与计算)

yb是什么意思,女生说yb是什么意思(风机的选型与计算)

yb是什么意思,女生说yb是什么意思(风机的选型与计算)

yb是什么意思,女生说yb是什么意思(风机的选型与计算)

6.计算各管段的沿程阻力和局部阻力。

7.对并联管路进行阻力平衡:

yb是什么意思,女生说yb是什么意思(风机的选型与计算)

yb是什么意思,女生说yb是什么意思(风机的选型与计算)

yb是什么意思,女生说yb是什么意思(风机的选型与计算)

8.计算系统总阻力,获得管网特性曲线最不利环路所有串联管路1-3-5-6-7阻力之和。

P=298.5+179.7+54+362+99.2+58.6+87.6+1200=1797.9(Pa)

9.选择通风机

通风机风量Q=KQfj=1.15×6615=7607(m3/h)

通风机风压P=KpPfj=1.16×1798=2086(Pa)

根据通风机的风量和风压,选用DHF-TH500A通风机,通风机转速2350r/min;配用Y160M1-2,电机功率N=11kW。

风机电机组合命名:

a分类:

电机级数三相异步电动机转速是分级的,是由电机的“极数”决定的。三相异步电动机“极数”是指定子磁场磁极的个数。定子绕组的连接方式不同,可形成定子磁场的不同极数(2级指的是电机每一相含有的磁极个数为2(即一个N极和一个S极)。选择电动机的极数是由负荷需要的转速来确定的,电动机的极数直接影响电动机的转速,电动机转速=60x电动机频率/电动机极对数。电动机的电流只跟电动机的电压、功率有关系。

极数反映出电动机的同步转速,2极同步转速是3000r/min,4极同步转速是1500r/min,6极同步转速是1000r/min,8极同步转速是750r/min。

绕组的一来一去才能组成回路,也就是磁极对数,是成对出现的,极就是磁极的意思,这些绕组当通过电流时会产生磁场,相应的就会有磁极。

三相交流电机每组线圈都会产生N、S磁极,每个电机每相含有的磁极个数就是极数。由于磁极是成对出现的,所以电机有2、4、6、8……极之分。

2.若三相交流电的频率为50Hz,则合成磁场的同步转速为50r/s,即3000r/min。

如果电动机的旋转磁场不止是一对磁极,进一步分析还可以得到同步转速n与磁场磁极对数p的关系:n=60f/p。f为频率,单位为Hz.n的单位为r/min。

ns与所接交流电的频率(f)、电机的磁极对数(P)之间有严格的关系 ns=f/P。在中国,电源频率为50赫,所以二极电机的同步转速为3000转/分,四极电机的同步转速为1500转/分,以此类推。异步电机转子的转速总是低于或高于其旋转磁场的转速,异步之名由此而来。异步电机转子转速与旋转磁场转速之差(称为转差)通常在10%以内。由此可知,交流电机(不管是同步还是异步)的转速都受电源频率的制约。因此,交流电机的调速比较困难,最好的办法是改变电源的频率,而以往要改变电源频率是比较复杂的。所以70年代以前,在要求调速的场合,多用直流电机。随着电力电子技术的发展,交流电动机的变频器调速技术已开始得到实用。

3.同步电动机的转速=60*频率/极对数(我国工频为50Hz)。

异步电动机转速=(60*频率/极对数)×(1-s)s:转差率,用来表示转子转速n与磁场转速n0相差的程度的物理量。

另外,同等功率的电动机,转速越大,输出扭矩越小。

b识别方法:

1、看转速比如1430r/min实际同步转速就是1500转,由转速公式:

转速=时间(60秒)×频率(50HZ)除以磁极对数 一个磁极对为2个极,由此就可以算出 3000÷1500=2个磁极对 也就是4极电动机。

2、看型号就更直接了:例如:电动机型号是Y 132 M- 4 Y →三相异步电动机,其中三相异步电动机的产品名称代号还有:YR为绕线式异步电动机;

YB为防爆型异步电动机;YQ为高起动转距异步电动机。132→机座中心高(mm) M →机座长度代号 4 →磁极数。

3、异步电机是以YB开头,鼠笼型为YR,增安型为YA,然后是中心高和极数,例如YR400-4 560 6KV,是异步鼠笼型电机中心高为400mm,极数为4极,额定功率560KW,额定电压6KV;

比如风机电机的选择:极数的选择应该根据风机的额定转速选取,功率15KW;

2900r/min选2极,1450r/min选4极,970r/min选6极等等,电机的转速=频率×60S÷(电机的极数÷2),电机15KW-2P。

c电机常见安装形式:

B3安装,电机实物图,B35安装,电机实物图,B5安装,电机实物图:

yb是什么意思,女生说yb是什么意思(风机的选型与计算)

yb是什么意思,女生说yb是什么意思(风机的选型与计算)

本文来源于互联网,暖通南社整理编辑。

本文关键词:男生说yb是什么意思,淘宝上yb是什么意思,网络用语yb是什么意思,亦步亦趋是什么意思,女生说yb是什么意思。这就是关于《yb是什么意思,女生说yb是什么意思(风机的选型与计算)》的所有内容,希望对您能有所帮助!

本文链接:https://bk.89qw.com/a-554296

最近发表
网站分类