手机版

百科生活 投稿

加聚反应的条件,加聚反应条件(2019年高考全国卷Ⅰ理综化学详解与评析——选择题)

百科 2026-02-05 02:54:39 投稿 阅读:9473次

关于【加聚反应的条件】,加聚反应条件,今天小编给您分享一下,如果对您有所帮助别忘了关注本站哦。

  • 内容导航:
  • 1、加聚反应的条件:加聚反应条件
  • 2、2019年高考全国卷Ⅰ理综化学详解与评析——选择题

1、加聚反应的条件:加聚反应条件

加聚反应条件有:碳碳双键、催化剂、加热。

加聚反应就是一些含有不饱和键(双键、叁键、共轭双键)的化合物或环状低分子化合物,在催化剂、引发剂或辐射等外加条件作用下,同种单体间相互加成形成新的共价键相连大分子的反应就是加聚反应。烯类单体经加成而聚合起来的反应。加聚反应无副产物。高中化学,特别是人教版化学选修5经常接触。一般我们说的加聚反应指的就是链增长聚合反应。

2、2019年高考全国卷Ⅰ理综化学详解与评析——选择题

考前5月份C3H3预测了一下选择题:

加聚反应的条件,加聚反应条件(2019年高考全国卷Ⅰ理综化学详解与评析——选择题)

现在回头看看,和上面说的情况差不多,必考题如约出现,传统文化与特殊曲线考到,就是创新题说的没有谱。命题专家水平还是毋庸置疑的,非我们凡人可预测的,纯属胡说八道而已,以博大家一笑罢了。下面的评析也多是C3H3的个人谬论,抑或是拾人牙慧,欢迎大家留言讨论。

7.陶瓷是火与土的结晶,是中华文明的象征之一,其形成、性质与化学有着密切的关系。下列说法错误的是

A.“雨过天晴云破处”所描述的瓷器青色,来自氧化铁

B.闻名世界的秦兵马俑是陶制品,由黏土经高温烧结而成

C.陶瓷是应用较早的人造材料,主要化学成分是硅酸盐

D.陶瓷化学性质稳定,具有耐酸碱侵蚀、抗氧化等优点

【答案】A

【详解】陶瓷是以天然粘土以及各种天然矿物为主要原料经过粉碎混炼、成型和煅烧制得的材料的各种制品。陶瓷的传统概念是指所有以黏土等无机非金属矿物为原料的人工工业产品。A项、氧化铁为棕红色固体,瓷器的青色不可能来自氧化铁,故A错误;

B项、秦兵马俑是陶制品,陶制品是由粘土或含有粘土的混合物经混炼、成形、煅烧而制成的,故B正确;

C项、陶瓷的主要原料是取之于自然界的硅酸盐矿物,陶瓷的主要成分是硅酸盐,与水泥、玻璃等同属硅酸盐产品,故C正确;

D项、陶瓷的主要成分是硅酸盐,硅酸盐的化学性质不活泼,具有不与酸或碱反应、抗氧化的特点,故D正确。

故选A。

【评析】本题以我国古代的陶瓷为情境,落实立等树人、弘扬中华民族优秀传统文化的测试目标。800多年前,北宋徽宗皇帝做了一个梦,梦到了雨过天晴。他对梦中见到的雨后天空的那种颜色非常喜欢,就给烧瓷工匠传下旨意:“雨过天晴云破处,这般颜色做将来。”徽宗的这道圣旨不知难倒了多少工匠,最后汝州的工匠技高一筹,烧制出了“雨过天晴云破处”的那种颜色。从而奠定了汝瓷的地位,在汝、官、哥、钧、定五大名瓷中,汝瓷排在首位。

专家说此题属于容易题,难度估计在0.9左右。

窃以为此题未必容易,估计许多学生会选D,学生对熔融NaOH不能用瓷坩埚印象非常深刻,认为陶瓷的主要成分是硅酸盐,会与碱反应。我们可以参考下面的资料,可见学生的想法也是有道理的。

加聚反应的条件,加聚反应条件(2019年高考全国卷Ⅰ理综化学详解与评析——选择题)

图片来自湖北大学李娟老师

当然湖南LiAgBr老师指出,陶瓷化学性质稳定,具有耐酸碱侵蚀、抗氧化等优点,就是课本人教版选2上的原话。

加聚反应的条件,加聚反应条件(2019年高考全国卷Ⅰ理综化学详解与评析——选择题)

但是苏教版的课本上是没有的。

我认为现在的陶瓷都有釉面的,这层类似它的保护膜,所以它具有耐酸碱侵蚀、抗氧化等优点,比如玻璃瓶可以盛放碱液,只是磨口处要用橡胶塞。

瓷器青色来自氧化铁肯定是错误的,因为氧化铁是红棕色固体。但是瓷器青色不排除与原料中氧化铁有关。从相关资料来看,汝瓷的原料和配方有氧化铁的成分,由此可见,汝瓷窑变过程中颜色变化是否与氧化铁参与的反应有关?真不好说。

专家说学生通过此题普及了陶瓷的化学知识,展现了中国传统文化(汝瓷、兵马俑等)对人类文明的贡献,凸显了中华民族伟大的创新精神,增强了民族自信心。

8.关于化合物2−苯基丙烯(

加聚反应的条件,加聚反应条件(2019年高考全国卷Ⅰ理综化学详解与评析——选择题)

),下列说法正确的是

A.不能使稀高锰酸钾溶液褪色

B.可以发生加成聚合反应

C.分子中所有原子共平面

D.易溶于水及甲苯

【答案】B

【详解】A项、2-苯基丙烯的官能团为碳碳双键,能够与高锰酸钾溶液发生氧化反应,使酸性高锰酸钾溶液褪色,故A错误;

B项、2-苯基丙烯的官能团为碳碳双键,一定条件下能够发生加聚反应生成聚2-苯基丙烯,故B正确;

C项、有机物分子中含有饱和碳原子,所有原子不可能在同一平面。2-苯基丙烯中含有甲基,所有原子不可能在同一平面上,故C错误;

D项、2-苯基丙烯为烃类,分子中不含羟基、羧基等亲水基团,,难溶于水,易溶于有机溶剂,则2-苯基丙烯难溶于水,易溶于有机溶剂甲苯,故D错误。

故选B。

【评析】本题比较简单,没有想象中复杂,比去年螺戊烷同分异构体简单多了,可以说是近年来有机必考题中最简单题之一。本砖家说此题难度估计在0.9左右,是比较靠谱的。

考前C3H3化学预测说有机必考题可能是大题小做,用一个简单的有机物合成流程作为素材,来考查有机必考知识的各个方面,可是人家不玩此题,直接一个2−苯基丙烯,就是16年的异丙苯多画一个双键,就交待了此题。我们模拟了千奇百怪的陌生有机物,徒劳啊!

命题专家们说了一个加成聚合反应,我们平时叫的加聚反应,今后可要称呼其全名。

9.实验室制备溴苯的反应装置如下图所示,关于实验操作或叙述错误的是

加聚反应的条件,加聚反应条件(2019年高考全国卷Ⅰ理综化学详解与评析——选择题)

A.向圆底烧瓶中滴加苯和溴的混合液前需先打开K

B.实验中装置b中的液体逐渐变为浅红色

C.装置c中的碳酸钠溶液的作用是吸收溴化氢

D.反应后的混合液经稀碱溶液洗涤、结晶,得到溴苯

【答案】D

【详解】在溴化铁作催化剂作用下,苯和液溴反应生成无色的溴苯和溴化氢,装置b中四氯化碳的作用是吸收挥发出的苯和溴蒸汽,装置c中碳酸钠溶液呈碱性,能够吸收反应生成的溴化氢气体,倒置漏斗的作用是防止倒吸。

A项、若关闭K时向烧瓶中加注液体,会使烧瓶中气体压强增大,苯和溴混合液不能顺利流下。打开K,可以平衡气压,便于苯和溴混合液流下,故A正确;

B项、装置b中四氯化碳的作用是吸收挥发出的苯和溴蒸汽,溴溶于四氯化碳使液体逐渐变为浅红色,故B正确;

C项、装置c中碳酸钠溶液呈碱性,能够吸收反应生成的溴化氢气体,故C正确;

D项、反应后得到粗溴苯,向粗溴苯中加入稀氢氧化钠溶液洗涤,除去其中溶解的溴,振荡、静置,分层后分液,向有机层中加入适当的干燥剂,然后蒸馏分离出沸点较低的苯,可以得到溴苯,不能用结晶法提纯溴苯,故D错误。

故选D。

【评析】本题直接取材于课本上的实验,有机化学基础课本上的,那选考物构的学生可能对这一实验不熟悉,可见命题专家要引导大家选考有机,好像是2013年就开始有意识加大有机化学考查力度,可效果不太好。选考有机付出的时间成本比物构大许多,学生老师趋利避害,选物构无可厚非。

整题难度不大,而且在必修2中接触过溴苯,知道它是液态的,就可知道,不需要结晶,马上找出答案。估计学生做过铺天盖地的模拟题,溴苯还是知道的。金太阳预测说实验选择题以制备有机物素材,还是比较准确的。

10.固体界面上强酸的吸附和离解是多相化学在环境、催化、材料科学等领域研究的重要课题。下图为少量HCl气体分子在253 K冰表面吸附和溶解过程的示意图。下列叙述错误的是

加聚反应的条件,加聚反应条件(2019年高考全国卷Ⅰ理综化学详解与评析——选择题)

A.冰表面第一层中,HCl以分子形式存在

B.冰表面第二层中,H+浓度为5×10−3mol·L−1(设冰的密度为0.9 g·cm−3

C.冰表面第三层中,冰的氢键网络结构保持不变

D.冰表面各层之间,均存在可逆反应

加聚反应的条件,加聚反应条件(2019年高考全国卷Ⅰ理综化学详解与评析——选择题)

【答案】D

【详解】

由示意图可知,在冰的表面第一层主要为氯化氢的吸附,第二层中氯化氢溶于水中并发生部分电离,第三层主要是冰,与氯化氢的吸附和溶解无关。

A项、由图可知,冰的表面第一层主要为氯化氢的吸附,氯化氢以分子形式存在,故A正确;

B项、由题给数据可知,冰的表面第二层中氯离子和水的个数比为10—4:1,第二层中溶解的氯化氢分子应少于第一层吸附的氯化氢分子数,与水的质量相比,可忽略其中溶解的氯化氢的质量。

加聚反应的条件,加聚反应条件(2019年高考全国卷Ⅰ理综化学详解与评析——选择题)

设水的物质的量为1mol,则所得溶液质量为18g/mol×1mol=18g,则溶液的体积为

×10—3L/ml=2.0×10—2L,由第二层氯离子和水个数比可知,溶液中氢离子物质的量等于氯离子物质的量为10—4mol,则氢离子浓度为

=5×10—3mol/L,故B正确;

C项、由图可知,第三层主要是冰,与氯化氢的吸附和溶解无关,冰的氢键网络结构保持不变,故C正确;

D项、由图可知,只有第二层存在氯化氢的电离平衡

加聚反应的条件,加聚反应条件(2019年高考全国卷Ⅰ理综化学详解与评析——选择题)

,而第一层和第三层均不存在,尤其是第三层,只有冰特别明显。故D错误。

【评析】本题考查氯化氢气体在冰表面的吸附和溶解。侧重考查接受、吸收、整合化学信息的能力及分析和解决化学问题的能力,注意能够明确图像表达的化学意义,正确计算物质的量浓度为解答关键。

通俗讲就是看图说话,这种新异的题目,一定要认真读图。大家都没见过,解题时获取信息的能力特别重要。7道选择题,6道有图,可见从小培养的看图说话能力多么的重要,这就是考查核心素养。

选项B的分析时不要计算,不然浪费很多时间, 而且不一定能算出来。重点是看第三层,只有冰,不存在氯化氢。当然可能有学生误打误撞,认为氯化氢是完全电离,所以D错。

这就是题目设置问题,也是此类新异题目的软肋。这就是所谓的学霸3分钟,学渣只要3秒。难道这就是考试公平?

其实可以加大难度,设问第二层存在氯化氢的电离平衡

加聚反应的条件,加聚反应条件(2019年高考全国卷Ⅰ理综化学详解与评析——选择题)

为正确选项,估计学渣们就没有这个3秒的福利了。

可能有许多专家会对此题评价特别高,实际上这类题目就是昙花一现。明年它肯定不会再现!

11.NaOH溶液滴定邻苯二甲酸氢钾(邻苯二甲酸H2A的Ka1=1.1×10−3Ka2=3.9×10−6)溶液,混合溶液的相对导电能力变化曲线如图所示,其中b点为反应终点。下列叙述错误的是

加聚反应的条件,加聚反应条件(2019年高考全国卷Ⅰ理综化学详解与评析——选择题)

A.混合溶液的导电能力与离子浓度和种类有关

B.Na+与A2−的导电能力之和大于HA

C.b点的混合溶液pH=7

D.c点的混合溶液中,c(Na+)>c(K+)>c(OH)

【答案】C

【详解】邻苯二甲酸氢钾为二元弱酸酸式盐,溶液呈酸性,向邻苯二甲酸氢钾溶液中加入氢氧化钠溶液,两者反应生成邻苯二甲酸钾和邻苯二甲酸钠,溶液中离子浓度增大,导电性增强,邻苯二甲酸钾和邻苯二甲酸钠为强碱弱酸盐,邻苯二甲酸根在溶液中水解使溶液呈碱性。

A项、向邻苯二甲酸氢钾溶液中加入氢氧化钠溶液,两者反应生成邻苯二甲酸钾和邻苯二甲酸钠,溶液中Na+和A2—的浓度增大。由图像可知,溶液导电性增强,说明导电能力与离子浓度和种类有关,故A正确;

B项、a点和b点K+的物质的量相同,K+的物质的量浓度变化不明显,HA转化为A2—,b点导电性强于a点,说明Na+和A2—的导电能力强于HA,故B正确;

C项、b点邻苯二甲酸氢钾溶液与氢氧化钠溶液恰好完全反应生成邻苯二甲酸钾和邻苯二甲酸钠,邻苯二甲酸钾为强碱弱酸盐,A2—在溶液中水解使溶液呈碱性,溶液pH>7,故C错误;

D项、b点邻苯二甲酸氢钾溶液与氢氧化钠溶液恰好完全反应生成等物质的量的邻苯二甲酸钾和邻苯二甲酸钠,溶液中c(Na+)和c(K+)相等,c点是继续加入氢氧化钠溶液后,得到邻苯二甲酸钾、邻苯二甲酸钠、氢氧化钠的混合溶液,则溶液中c(Na+)>c(K+),由图可知,a点到b点加入氢氧化钠溶液的体积大于b点到c点加入氢氧化钠溶液的体积,则溶液中c(K+)>c(OH),溶液中三者大小顺序为c(Na+)>c(K+)>c(OH),故D正确。

故选C。

【评析】本题考查水溶液中的离子平衡,试题侧重考查分析、理解问题的能力,注意正确分析图象曲线变化,明确酸式盐与碱反应溶液浓度和成分的变化与导电性变化的关系是解答关键。

先说说秒杀法,由题可知邻苯二甲酸是一个弱酸,b点为反应终点,它与氢氧化钠溶液恰好完全反应生成的盐为强碱弱酸盐,所以溶液pH>7,故C错误。

其余都无需看,就可以得到答案,但是考场上,一般优秀的同学不会这样做,一题6分啊。是不是又可能出现上题说的学霸3分钟,学渣只要3秒。

离子导电能力与许多因素有关,主要是与离子淌度有关。比如同浓度的KCl与KOH导电能力就不一样的。有兴趣可查阅吴文中老师的论文。

老师们对B项Na+与A2−的导电能力之和大于HA的这问讨论热烈,我们读图可以发现溶液的导电能力是越来越大,溶液中的溶质由KHA慢慢变成了K2A和Na2A,那就依据事实推出B项结论。

题目取材于邻苯二甲酸氢钾标定氢氧化钠溶液的滴定实验,改测定溶液导电能力来构成图像,这个在2016北京卷中已出现过,是继承与创新,考查图像题,但不考一般的滴定曲线,分布系数,就是与模拟题不一样。专家们反模拟的防范心理还是非常重的。

12.利用生物燃料电池原理研究室温下氨的合成,电池工作时MV2+/MV+在电极与酶之间传递电子,示意图如下所示。下列说法错误的是

加聚反应的条件,加聚反应条件(2019年高考全国卷Ⅰ理综化学详解与评析——选择题)

A.相比现有工业合成氨,该方法条件温和,同时还可提供电能

B.阴极区,在氢化酶作用下发生反应H2+ 2MV2+=== 2H++ 2MV+

C.正极区,固氮酶为催化剂,N2发生还原反应生成NH3

D.电池工作时质子通过交换膜由负极区向正极区移动

【答案】B

【详解】由生物燃料电池的示意图可知,左室电极为燃料电池的负极,MV+在负极失电子发生氧化反应生成MV2+,电极反应式为MV+—e= MV2+,放电生成的MV2+在氢化酶的作用下与H2反应生成H+和MV+,反应的方程式为H2+2MV2+=2H++2MV+;右室电极为燃料电池的正极,MV2+在正极得电子发生还原反应生成MV+,电极反应式为MV2++e= MV+,放电生成的MV+与N2在固氮酶的作用下反应生成NH3和MV2+,反应的方程式为N2+6H++6MV+=6MV2++NH3,电池工作时,氢离子通过交换膜由负极向正极移动。

A项、相比现有工业合成氨,该方法选用酶作催化剂,条件温和,同时利用MV+和MV2+的相互转化,化学能转化为电能,故可提供电能,故A正确;

B项、左室为负极区,MV+在负极失电子发生氧化反应生成MV2+,电极反应式为MV+—e= MV2+,放电生成的MV2+在氢化酶的作用下与H2反应生成H+和MV+,反应的方程式为H2+2MV2+=2H++2MV+,故B错误;

C项、右室为正极区,MV2+在正极得电子发生还原反应生成MV+,电极反应式为MV2++e= MV+,放电生成的MV+与N2在固氮酶的作用下反应生成NH3和MV2+,故C正确;

D项、电池工作时,氢离子(即质子)通过交换膜由负极向正极移动,故D正确。

故选B。

【评析】本题考查原池原理的应用,注意原电池反应的原理和离子流动的方向,明确酶的作用是解题的关键。电化学考查果然是采用新颖素材,某顶级杂志上的研究成果。

加聚反应的条件,加聚反应条件(2019年高考全国卷Ⅰ理综化学详解与评析——选择题)

其实这题难度不是很大,学生头疼的是正极区,阴极区这些任性的名称。

本来读题分析时的燃料电池确定是原电池,结果又来个阴极区。我们一般教学生时说原电池是正负极,电解池是阴阳极。

关于电极名称,安徽李从山老师发了N条说说,其中一条是高考前几天发的。

物理学规定:电势高(电流流出、电子流入)的极叫正极,

电势低(电流流出、电子流出)的极叫负极。

化学规定:发生氧化反应的极叫阳极,发生还原反应的极叫阴极。

这样一来,原电池的负极,同时也是阳极,其电极区域叫负极区、阳极区;

原电电池正极,同时也是阴极,其电极区域叫正极区、阴极区;

电解池与电源正极相连的电极,具有极强的氧化性,还原剂在其上发生氧化反应,其电极是阳极,其电极区域是阳极区。

负极区,正极区这个说法2015年全国卷原电池考查的微生物电池就出现了质子通过交换膜从负极区移向正极区,

我们再来看看B项,阴极区,实际上它指右边固氮酶那边,却说左边氢化酶的事,当然是错误的,B项改为负极区。

但是2016年全国卷是电解池,它的阴极就标为负极区,阳极就标为正极区,是否可以认为负极区是阴极区?欢迎大家指出问题。

加聚反应的条件,加聚反应条件(2019年高考全国卷Ⅰ理综化学详解与评析——选择题)

这些名称的乱用,无形中加大题目的难度,有点存心不善。

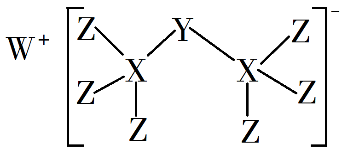
13.科学家合成出了一种新化合物(如图所示),其中W、X、Y、Z为同一短周期元素,Z核外最外层电子数是X核外电子数的一半。下列叙述正确的是

加聚反应的条件,加聚反应条件(2019年高考全国卷Ⅰ理综化学详解与评析——选择题)

A.WZ的水溶液呈碱性

B.元素非金属性的顺序为X>Y>Z

C.Y的最高价氧化物的水化物是中强酸

D.该新化合物中Y不满足8电子稳定结构

【答案】C

【详解】由W、X、Y、Z为同一短周期元素,结合图示,推Z为1价,推X为4价的C或Si,又加上Z的核外最外层电子数是X核外电子数的一半,可知,Z为Cl、X为Si。

由W的电荷数可知,W推为Na元素。

由化合价代数和为0可知,注意这个大的是一个阴离子,推Y元素化合价为—3价,则Y为P元素;

A项、氯化钠为强酸强碱盐,水溶液呈中性,故A错误;

B项、同周期元素从左到右,非金属性依次增强,则非金属性的强弱顺序为Cl>S>P,故B错误;原题最好加上强弱这两个字。

C项、P元素的最高价氧化物对应水化物为磷酸,磷酸是三元中强酸,故C正确;

D项、新化合物中P元素化合价为—3价,化合价绝对值+P最外层电子数=8,满足8电子稳定结构,故D错误。

故选C。

【评析】本题考查元素周期律的应用,注意分析题给化合物的结构示意图,利用化合价代数和为零和题给信息推断元素为解答关键。

这一新物质也是来自顶级期刊的研究内容,如下:

加聚反应的条件,加聚反应条件(2019年高考全国卷Ⅰ理综化学详解与评析——选择题)

加聚反应的条件,加聚反应条件(2019年高考全国卷Ⅰ理综化学详解与评析——选择题)

加聚反应的条件,加聚反应条件(2019年高考全国卷Ⅰ理综化学详解与评析——选择题)

此物质可以写成Na[P(ClSi)3],非常新颖,但涉及的元素还是常见元素。只是题目给的信息比较少,吞吞吐吐,像捉迷藏。只有一句“Z的核外最外层电子数是X核外电子数的一半”,学生在解题时一定要结合化合物的结构示意图,先大致判断各元素化合价,再结合上面信息,可以推出具体元素。这题是老题,但是难度加大,类似2016年,把此题放在选择题压轴,也是有道理的。

选择题7道,5道是否定的选项,选错误的。是不是太多了点。是否符合命题规律?

本文关键词:加聚反应条件和缩聚反应条件,加聚反应条件写一定条件,加聚反应条件,加聚反应条件写一定条件还是催化剂,加聚反应条件写加成聚合对吗。这就是关于《加聚反应的条件,加聚反应条件(2019年高考全国卷Ⅰ理综化学详解与评析——选择题)》的所有内容,希望对您能有所帮助!

本文链接:https://bk.89qw.com/a-554462

最近发表
网站分类