手机版

百科生活 投稿

武汉体育学院招生办,2021年武汉体育学院是几本大学(武汉体育学院2022年录取最低综合分和拟录取名单公示)

百科 2026-02-16 13:17:52 投稿 阅读:9070次

关于【武汉体育学院招生办】,2021年武汉体育学院是几本大学,今天涌涌小编给您分享一下,如果对您有所帮助别忘了关注本站哦。

  • 内容导航:
  • 1、武汉体育学院2022年录取最低综合分和拟录取名单公示
  • 2、武汉体育学院招生办:2021年武汉体育学院是几本大学 是一本还是二本大学

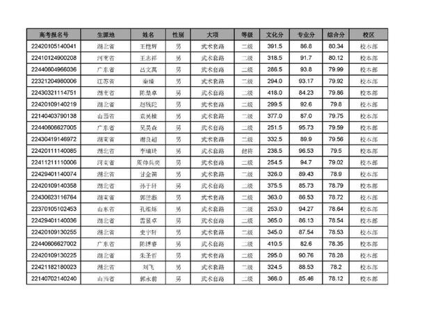
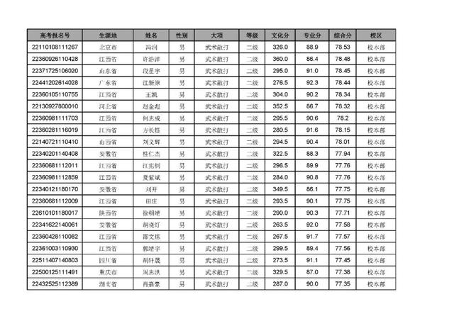
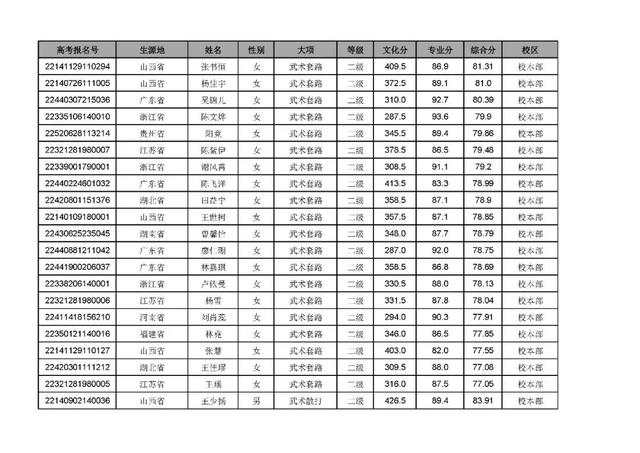
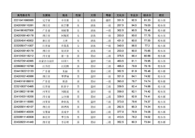
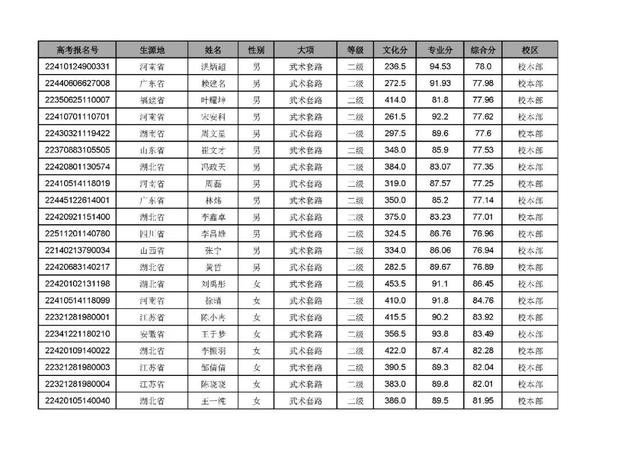
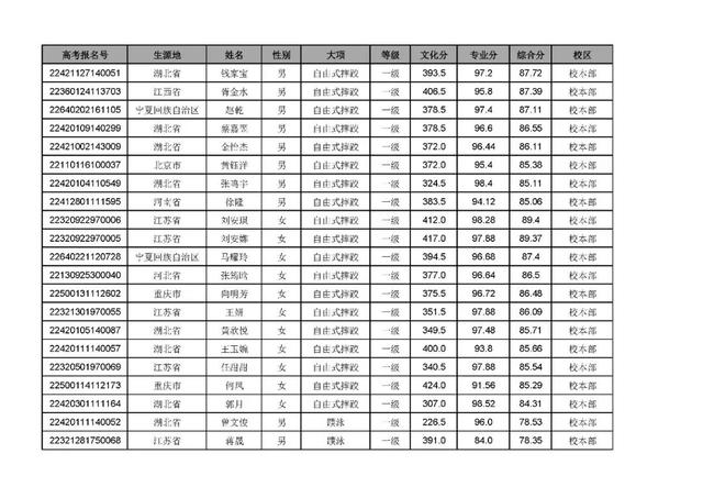
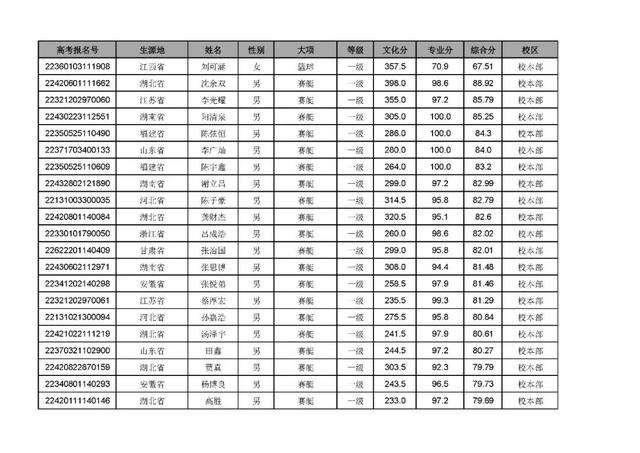
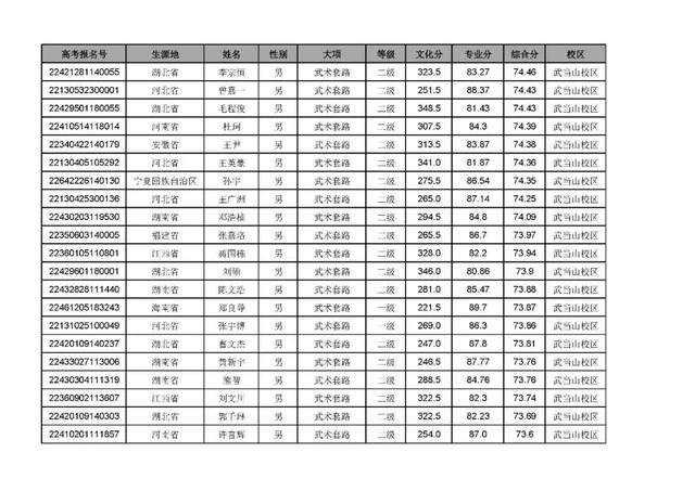
1、武汉体育学院2022年录取最低综合分和拟录取名单公示

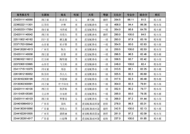
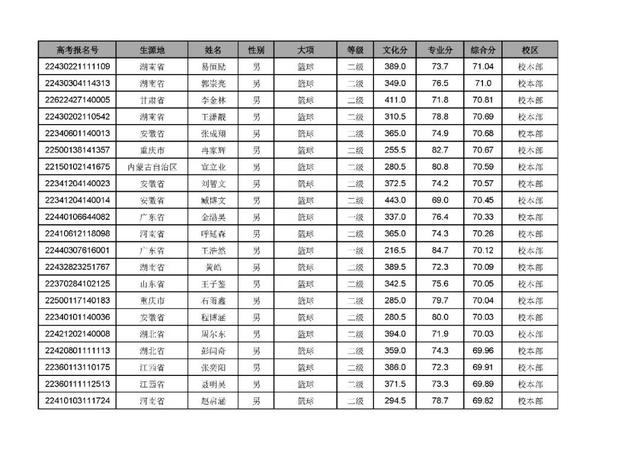
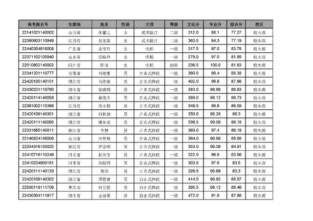
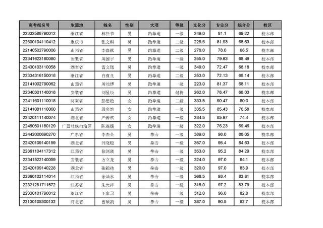
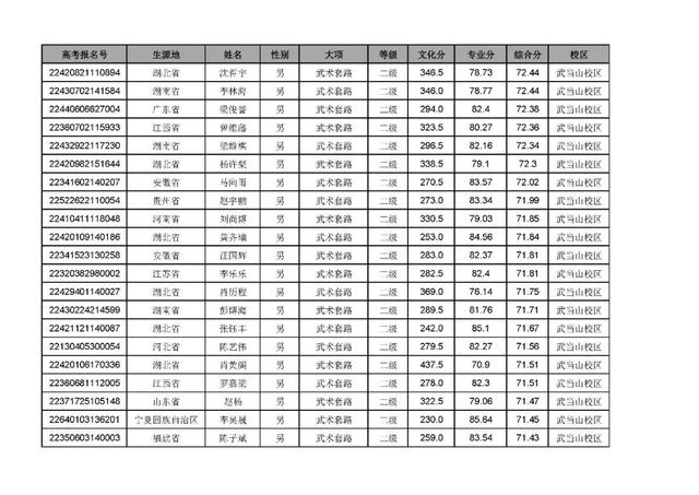
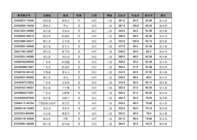
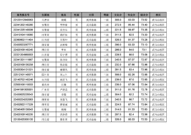
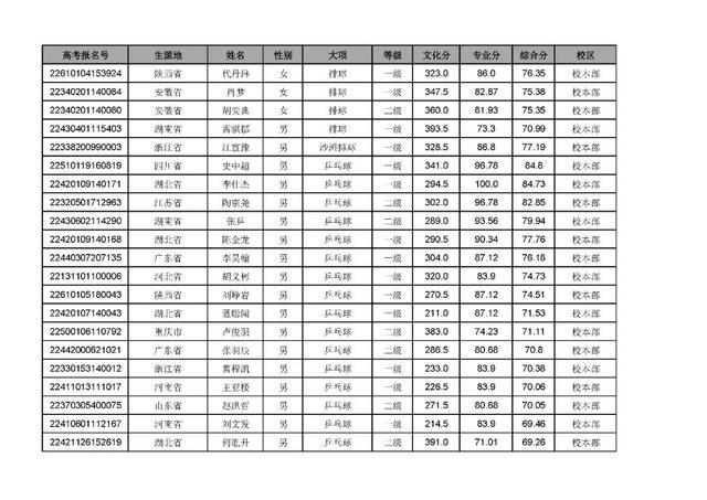
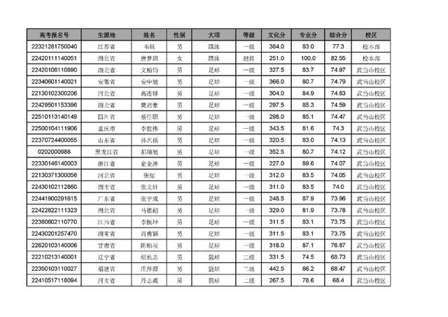
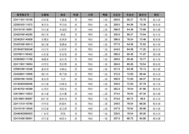
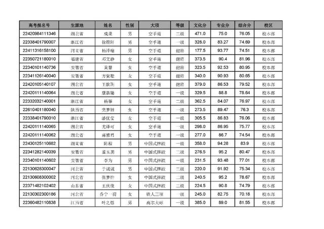
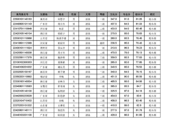
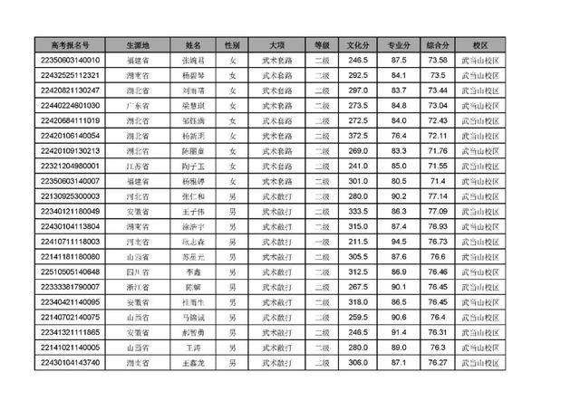
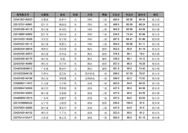
一、文化成绩最低录取控制分数线为:运动训练专业、武术与民族传统体育专业220分;体育专项成绩最低录取控制分数线为:赛艇、皮划艇、帆船帆板、摩托艇、滑水、蹼泳:75分;田径、游泳:70分;其它项目:60分。

二、在文化成绩和体育专项成绩分别达到学校最低录取控制分数线基础上,根据考生的文化成绩(折合百分制后)和体育专项成绩3:7的比例进行综合评价,计算考生录取综合分。具体公式:综合分=(文化成绩/6)×30%+体育专项成绩×70%)。

三、依据上线考生填报的志愿梯次顺序,分项目按照综合分从高到低择优录取,在综合分相同的情况下,体育专项成绩高者排名列前。

篮球、足球、排球、乒乓球、羽毛球、网球、跆拳道、举重八个项目分男女录取,其中排球按非自由人、自由人录取,足球按非守门员、守门员录取;田径项目按田赛、径赛、全能3类录取;其它项目按男女混合录取。

四、对持有一级运动员等级称号证书的考生,可在学校文化成绩最低录取控制线下降低30分录取;对持有运动健将技术等级称号证书的考生,可在学校文化成绩最低录取控制线下降低50分录取。

五、经国家体育总局审核合格的保送生优先录取。

六、武汉体育学院武当山国际武术学院在校本部录取结束后,从填报服从调剂的考生中按学校录取原则录取。

七、武汉体育学院2022年运动训练、武术与民族传统体育专业招生计划已在一志愿录取完成,不再录取二志愿。

八、考生弄虚作假,经查实,取消当年运动训练、武术与民族传统体育专业录取资格,已入学者,取消其入学资格,并视情节轻重,按照《国家教育考试违规处理办法》(教育部33号令)处理。

武汉体育学院招生办公室

2022年7月29日

武汉体育学院招生办,2021年武汉体育学院是几本大学(武汉体育学院2022年录取最低综合分和拟录取名单公示)

武汉体育学院招生办,2021年武汉体育学院是几本大学(武汉体育学院2022年录取最低综合分和拟录取名单公示)

武汉体育学院招生办,2021年武汉体育学院是几本大学(武汉体育学院2022年录取最低综合分和拟录取名单公示)

武汉体育学院招生办,2021年武汉体育学院是几本大学(武汉体育学院2022年录取最低综合分和拟录取名单公示)

武汉体育学院招生办,2021年武汉体育学院是几本大学(武汉体育学院2022年录取最低综合分和拟录取名单公示)

武汉体育学院招生办,2021年武汉体育学院是几本大学(武汉体育学院2022年录取最低综合分和拟录取名单公示)

武汉体育学院招生办,2021年武汉体育学院是几本大学(武汉体育学院2022年录取最低综合分和拟录取名单公示)

武汉体育学院招生办,2021年武汉体育学院是几本大学(武汉体育学院2022年录取最低综合分和拟录取名单公示)

武汉体育学院招生办,2021年武汉体育学院是几本大学(武汉体育学院2022年录取最低综合分和拟录取名单公示)

武汉体育学院招生办,2021年武汉体育学院是几本大学(武汉体育学院2022年录取最低综合分和拟录取名单公示)

武汉体育学院招生办,2021年武汉体育学院是几本大学(武汉体育学院2022年录取最低综合分和拟录取名单公示)

武汉体育学院招生办,2021年武汉体育学院是几本大学(武汉体育学院2022年录取最低综合分和拟录取名单公示)

武汉体育学院招生办,2021年武汉体育学院是几本大学(武汉体育学院2022年录取最低综合分和拟录取名单公示)

武汉体育学院招生办,2021年武汉体育学院是几本大学(武汉体育学院2022年录取最低综合分和拟录取名单公示)

武汉体育学院招生办,2021年武汉体育学院是几本大学(武汉体育学院2022年录取最低综合分和拟录取名单公示)

武汉体育学院招生办,2021年武汉体育学院是几本大学(武汉体育学院2022年录取最低综合分和拟录取名单公示)

武汉体育学院招生办,2021年武汉体育学院是几本大学(武汉体育学院2022年录取最低综合分和拟录取名单公示)

武汉体育学院招生办,2021年武汉体育学院是几本大学(武汉体育学院2022年录取最低综合分和拟录取名单公示)

武汉体育学院招生办,2021年武汉体育学院是几本大学(武汉体育学院2022年录取最低综合分和拟录取名单公示)

武汉体育学院招生办,2021年武汉体育学院是几本大学(武汉体育学院2022年录取最低综合分和拟录取名单公示)

武汉体育学院招生办,2021年武汉体育学院是几本大学(武汉体育学院2022年录取最低综合分和拟录取名单公示)

武汉体育学院招生办,2021年武汉体育学院是几本大学(武汉体育学院2022年录取最低综合分和拟录取名单公示)

武汉体育学院招生办,2021年武汉体育学院是几本大学(武汉体育学院2022年录取最低综合分和拟录取名单公示)

武汉体育学院招生办,2021年武汉体育学院是几本大学(武汉体育学院2022年录取最低综合分和拟录取名单公示)

武汉体育学院招生办,2021年武汉体育学院是几本大学(武汉体育学院2022年录取最低综合分和拟录取名单公示)

武汉体育学院招生办,2021年武汉体育学院是几本大学(武汉体育学院2022年录取最低综合分和拟录取名单公示)

武汉体育学院招生办,2021年武汉体育学院是几本大学(武汉体育学院2022年录取最低综合分和拟录取名单公示)

武汉体育学院招生办,2021年武汉体育学院是几本大学(武汉体育学院2022年录取最低综合分和拟录取名单公示)

武汉体育学院招生办,2021年武汉体育学院是几本大学(武汉体育学院2022年录取最低综合分和拟录取名单公示)

武汉体育学院招生办,2021年武汉体育学院是几本大学(武汉体育学院2022年录取最低综合分和拟录取名单公示)

武汉体育学院招生办,2021年武汉体育学院是几本大学(武汉体育学院2022年录取最低综合分和拟录取名单公示)

武汉体育学院招生办,2021年武汉体育学院是几本大学(武汉体育学院2022年录取最低综合分和拟录取名单公示)

武汉体育学院招生办,2021年武汉体育学院是几本大学(武汉体育学院2022年录取最低综合分和拟录取名单公示)

武汉体育学院招生办,2021年武汉体育学院是几本大学(武汉体育学院2022年录取最低综合分和拟录取名单公示)

武汉体育学院招生办,2021年武汉体育学院是几本大学(武汉体育学院2022年录取最低综合分和拟录取名单公示)

武汉体育学院招生办,2021年武汉体育学院是几本大学(武汉体育学院2022年录取最低综合分和拟录取名单公示)

武汉体育学院招生办,2021年武汉体育学院是几本大学(武汉体育学院2022年录取最低综合分和拟录取名单公示)

武汉体育学院招生办,2021年武汉体育学院是几本大学(武汉体育学院2022年录取最低综合分和拟录取名单公示)

武汉体育学院招生办,2021年武汉体育学院是几本大学(武汉体育学院2022年录取最低综合分和拟录取名单公示)

武汉体育学院招生办,2021年武汉体育学院是几本大学(武汉体育学院2022年录取最低综合分和拟录取名单公示)

武汉体育学院招生办,2021年武汉体育学院是几本大学(武汉体育学院2022年录取最低综合分和拟录取名单公示)

武汉体育学院招生办,2021年武汉体育学院是几本大学(武汉体育学院2022年录取最低综合分和拟录取名单公示)

武汉体育学院招生办,2021年武汉体育学院是几本大学(武汉体育学院2022年录取最低综合分和拟录取名单公示)

武汉体育学院招生办,2021年武汉体育学院是几本大学(武汉体育学院2022年录取最低综合分和拟录取名单公示)

武汉体育学院招生办,2021年武汉体育学院是几本大学(武汉体育学院2022年录取最低综合分和拟录取名单公示)

武汉体育学院招生办,2021年武汉体育学院是几本大学(武汉体育学院2022年录取最低综合分和拟录取名单公示)

武汉体育学院招生办,2021年武汉体育学院是几本大学(武汉体育学院2022年录取最低综合分和拟录取名单公示)

武汉体育学院招生办,2021年武汉体育学院是几本大学(武汉体育学院2022年录取最低综合分和拟录取名单公示)

武汉体育学院招生办,2021年武汉体育学院是几本大学(武汉体育学院2022年录取最低综合分和拟录取名单公示)

武汉体育学院招生办,2021年武汉体育学院是几本大学(武汉体育学院2022年录取最低综合分和拟录取名单公示)

武汉体育学院招生办,2021年武汉体育学院是几本大学(武汉体育学院2022年录取最低综合分和拟录取名单公示)

武汉体育学院招生办,2021年武汉体育学院是几本大学(武汉体育学院2022年录取最低综合分和拟录取名单公示)

武汉体育学院招生办,2021年武汉体育学院是几本大学(武汉体育学院2022年录取最低综合分和拟录取名单公示)

2、武汉体育学院招生办:2021年武汉体育学院是几本大学 是一本还是二本大学

2020高考填报志愿时,武汉体育学院是几本以及到底武汉体育学院是一本还是二本是广大考生和家长朋友们十分关心的问题。

一、武汉体育学院是几本?

首先,这一点希望大家清楚,教育部门并没有说武汉体育学院是一本还是二本,武汉体育学院是几本只是民间说法(某大学在某省是第一批次招生的话,就说该大学是一本大学,在第二批次招生的话,就说该大学是二本大学,既有一批又有二批招生的,通常也认为是二本大学)。

1、根据武汉体育学院招生办最新公布的信息可知:

湖北省:武汉体育学院在湖北既有第一批次招生也有第二批次招生,所以严格意义上,我们通常能说武汉体育学院是二本大学,如果全部在第一批次招生,我们才说武汉体育学院是一本大学。

省外:如果你不是湖北考生,武汉体育学院在你所在的省份是本科一批招生的话,你也可以说武汉体育学院是一本大学。

以下是武汉体育学院招生办公布的2019年各省录取批次,供大家参考,如有变动,以官方为准。若没有具体录取批次,考生可根据自己所在省份的一本、二本批次分数线来对比确定。

2、2019年武汉体育学院录取批次

2019年武汉体育学院各省录取批次及时间安排

省份录取批次录取时间广西本科提前批7月4日本科二批7月22日
吉林第二批A段(文史、理工、体育类)7月30日-8月5日


江苏体育、艺术提前录取本科7月8日-15日第二批本科院校7月21日-25日
安徽体育类第一批高校平行7月14日-16日本科第二批高校平行志愿7月26日-28日
艺术类第二批高校平行志愿7月12日-15日
广东艺术类统考、体育类7月12日-15日艺术类本科院校统考+校考7月16日-20日
普通文理7月12日-14日
河北本科提前批A7月7日本科提前批B7月13日
本科二批7月26日
浙江体育类平行录取7月17日艺术类第一批7月10日
艺术类第二批7月17日
第二段志愿填报7月28日
内蒙古艺术、体育本科提前A7月3日艺术、体育本科提前B7月15日
本科二批7月21日
甘肃体育、艺术类本科一批7月10日-12日本科二批7月26日-31日
湖南艺术类本科二批(非平行组)7月22日-23日艺术类本科二批(平行组)7月23日-30日
本科二批7月29日-31日
陕西提前批次(艺术类、体育类)7月5日-12日本科二批7月27日-8月1日
江西提前批本科艺术类(单志愿)7月8日-12日提前批本科艺术类(平行志愿)7月18日-20日
第一批本科体育类7月19日-20日
第二批本科文理类7月29日
北京本科提前批7月6日-14日本科普通批7月16日-21日
重庆本科第二批普通文理类7月29日-8月4日艺术类本科批A段7月11日-7月14日
艺术类本科批B段7月15日-7月17日
山东艺术本科批A段、体育类7月14日-19日艺术本科批B段7月28日
文理类普通批7月18日
河南提前批体育本科7月8日-9日艺术本科A7月14日-16日
本科二批7月30日
辽宁本科批院校录取7月20日-8月1日本科提前批院校录取7月12日-17日
海南本科提前批艺术类7月10日-12日本科第B批7月29日-8月1日
贵州体育艺术类本科7月8日—23日文史、理工类第二批本科7月26日—8月4日
四川本科第一批录艺术、体育类7月18日本科第二批录取7月28日
湖北艺术本科(一)统考7月8日—17日艺术本科(一)校考自发证7月7日—17日
本科提前批体育类7月8日—17日
本科第二批7月26日—8月3日
福建艺术本科A批7月10日-7月14日艺术本科B批7月24日-7月28日
体育类7月10日-12日
本科二批7月30日-8月3日
黑龙江本科第二批次7月28日-8月3日艺术类本科第一批B段7月15日-7月20日
山西本科二批A类(艺术体育类)7月27日-7月28日本科二批A类(文、理科类)7月28日-7月29日
云南二本及预科(体育、艺术类)7月21日-7月29日二本及预科(文理类)7月29日-8月9日
备注:最终录取批次及时间已各省招办公布为准

二、武汉体育学院是985和211吗?

相信看完以上信息,武汉体育学院是几本您已经心里有数了,估计您还想知道武汉体育学院是985还是211吗?根据教育部门的信息显示,武汉体育学院不是985大学也不是211大学。以下是湖北省所有985大学和211大学名单:

1、湖北211大学名单

序号学校名称学校类型1武汉大学综合2华中科技大学理工3中南财经政法大学财经4武汉理工大学理工5华中师范大学师范6华中农业大学农林7中国地质大学(武汉)理工

2、湖北985大学名单

序号学校名称学校类型1武汉大学综合2华中科技大学理工

本文关键词:2021武汉体育学院招生简章,2021武汉体育学院研究生院,2021年武汉体育学院是几本大学生,2021年武汉体育学院是几本大学呢,2021武汉体育学院专科。这就是关于《武汉体育学院招生办,2021年武汉体育学院是几本大学(武汉体育学院2022年录取最低综合分和拟录取名单公示)》的所有内容,希望对您能有所帮助!

本文链接:https://bk.89qw.com/a-562970

最近发表
网站分类