手机版

百科生活 投稿

向量a×向量b怎么运算,空间向量a×向量b怎么运算(高中数学常用公式及结论)

百科 2026-04-07 06:10:25 投稿 阅读:5323次

关于【向量a×向量b怎么运算】:向量a×向量b怎么运算,今天小编给您分享一下,如果对您有所帮助别忘了关注本站哦。

  • 内容导航:
  • 1、向量a×向量b怎么运算
  • 2、高中数学常用公式及结论(平面向量总结)

1、向量a×向量b怎么运算

  1、叉乘。向量A×向量B=(x1y2i,x2y2j)。向量向量方向符合右手法则。|向量A×向量B|=|向量A||向量B|sin。

  2、点乘。设向量A=(x1,y1),向量B=(x2,y2)。向量A·向量B=|向量A||向量B|cosu=x1x2+y1y2(数值u为向量A、向量B之间夹角)。

2、高中数学常用公式及结论(平面向量总结)

一、实数与向量的积的运算律:设 λ、μ 为实数,那么:

① 结合律:

向量a×向量b怎么运算,空间向量a×向量b怎么运算(高中数学常用公式及结论)

结合律图

② 第一分配律:

向量a×向量b怎么运算,空间向量a×向量b怎么运算(高中数学常用公式及结论)

第一分配律图

③ 第二分配律:

向量a×向量b怎么运算,空间向量a×向量b怎么运算(高中数学常用公式及结论)

第二分配律图

二、向量 a 与 向量 b 的数量积(或内积):

向量a×向量b怎么运算,空间向量a×向量b怎么运算(高中数学常用公式及结论)

数量积图

三、平面向量的坐标运算:

向量a×向量b怎么运算,空间向量a×向量b怎么运算(高中数学常用公式及结论)

平面向量的坐标运算图(1)

向量a×向量b怎么运算,空间向量a×向量b怎么运算(高中数学常用公式及结论)

平面向量的坐标运算图(2)

向量a×向量b怎么运算,空间向量a×向量b怎么运算(高中数学常用公式及结论)

平面向量的坐标运算图(3)

向量a×向量b怎么运算,空间向量a×向量b怎么运算(高中数学常用公式及结论)

平面向量的坐标运算图(4)

向量a×向量b怎么运算,空间向量a×向量b怎么运算(高中数学常用公式及结论)

平面向量的坐标运算图(5)

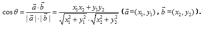
四、求夹角和长度:

① 求夹角:

向量a×向量b怎么运算,空间向量a×向量b怎么运算(高中数学常用公式及结论)

求夹角图

② 求长度:

向量a×向量b怎么运算,空间向量a×向量b怎么运算(高中数学常用公式及结论)

求长度图

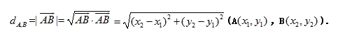
五、平面两点间的距离公式:

向量a×向量b怎么运算,空间向量a×向量b怎么运算(高中数学常用公式及结论)

平面两点间的距离公式图

六、共线向量定理:

空间任意两个向量

向量a×向量b怎么运算,空间向量a×向量b怎么运算(高中数学常用公式及结论)

共线向量定理图

三点共线:

向量a×向量b怎么运算,空间向量a×向量b怎么运算(高中数学常用公式及结论)

三点共线图

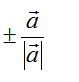
与 向量 a 共线的单位向量为

向量a×向量b怎么运算,空间向量a×向量b怎么运算(高中数学常用公式及结论)

与 向量 a 共线的单位向量图

七、共面向量:

定义:一般地,能平移到同一平面内的向量叫做共面向量。

说明:空间任意的两向量都是共面的。

② 共面向量定理:

向量a×向量b怎么运算,空间向量a×向量b怎么运算(高中数学常用公式及结论)

共面向量定理图

③ 四点共面 :

向量a×向量b怎么运算,空间向量a×向量b怎么运算(高中数学常用公式及结论)

四点共面图

八、向量的平行与垂直 :

向量a×向量b怎么运算,空间向量a×向量b怎么运算(高中数学常用公式及结论)

向量的平行与垂直图

九、线段的定比分点公式 :

向量a×向量b怎么运算,空间向量a×向量b怎么运算(高中数学常用公式及结论)

线段的定比分点公式 图

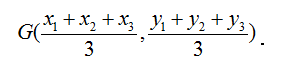
十、三角形的重心坐标公式:

△ABC三个顶点的坐标分别为 A(x1 , y1)、B(x2 , y2)、C(x3 , y3), 则 △ABC 的 重心的坐标是

向量a×向量b怎么运算,空间向量a×向量b怎么运算(高中数学常用公式及结论)

三角形的重心坐标公式图

十一、三角形四“心”向量形式的充要条件:

设 O 为 △ABC 所在平面上一点,角 A , B , C 所对边长分别为 a , b , c ,则

向量a×向量b怎么运算,空间向量a×向量b怎么运算(高中数学常用公式及结论)

三角形四“心”向量形式的充要条件图(1)

向量a×向量b怎么运算,空间向量a×向量b怎么运算(高中数学常用公式及结论)

三角形四“心”向量形式的充要条件图(2)

向量a×向量b怎么运算,空间向量a×向量b怎么运算(高中数学常用公式及结论)

三角形四“心”向量形式的充要条件图(3)

本文关键词:平面向量的所有公式大全图片,a×b向量积运算公式,向量a×向量b怎么运算坐标,a×b叉乘运算公式,空间a×b向量积运算公式。这就是关于《向量a×向量b怎么运算,空间向量a×向量b怎么运算(高中数学常用公式及结论)》的所有内容,希望对您能有所帮助!

本文链接:https://bk.89qw.com/a-568934

最近发表
网站分类