手机版

百科生活 投稿

化学物质上红棕色固体可能是什么较常见的,化学物质上红棕色固体可能是什么较常见的变化(2018年重难点物质的推断与转化专题4)

百科 2026-02-15 16:55:43 投稿 阅读:9606次

关于【化学物质上红棕色固体可能是什么较常见的】:化学物质上红棕色固体可能是什么较常见的,今天小编给您分享一下,如果对您有所帮助别忘了关注本站哦。

  • 内容导航:
  • 1、化学物质上红棕色固体可能是什么较常见的
  • 2、2018年重难点物质的推断与转化专题4

1、化学物质上红棕色固体可能是什么较常见的

  1、红棕色。如果要严格点定义的话,只能是Fe2O3和红磷。但是如果不是很严格的话,Fe(OH)3也可以(但一般是说红褐色)。

  2、Fe2O3一般指氧化铁。氧化铁是一种无机物,化学式为Fe2O3,呈红色或深红色无定形粉末。相对密度5~5.25,熔点1565℃(同时分解)。不溶于水,溶于盐酸和硫酸,微溶于硝酸。遮盖力和着色力都很强,无油渗性和水渗性。

  3、红磷(Phosphorus red)又名赤磷。紫红色或略带棕色的无定形粉末,有光泽,无毒。高压下热至590℃开始熔化,若不加压则不熔化而升华,汽化后再冷凝则得白磷。红磷以P4四面体的单键形成链或环的高聚合结构,具有较高的稳定性。

2、2018年重难点物质的推断与转化专题4

题型四 物质的转化与推断

题眼突破

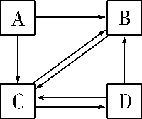
 题眼一 物质的颜例1) (2016广安)A-H是初中化学常见的物质,已知A为黑色固体单质,G为紫红色固体单质,B为红棕色粉末,H为蓝色的硫酸盐溶液。它们的转化关系如图所示,回答下列问题。

化学物质上红棕色固体可能是什么较常见的,化学物质上红棕色固体可能是什么较常见的变化(2018年重难点物质的推断与转化专题4)

(1)B的化学式__________,H中溶质的化学式____________。

(2)反应③的化学反应方程为__________________________。

(3)反应①~③中为置换反应的是________(填序号)。

(4)写出稀盐酸与B反应的化学方程式________________________。

 题眼二 物质的用途

例2) (2016东营)A~H是初中化学常见的物质,它们之间的关系如图所示("→"表示物质间的转化关系,"—"表示两端的物质能发生化学反应)。虚线圈中的两种物质类别相同。A的浓溶液有吸水性,在实验室常用作干燥剂;C可用来改良酸性土壤;D广泛应用于肥皂、石油、造纸、纺织和印染等工业,在生活中可用来去除油污;E的水溶液为浅绿色,F可与生石灰、水配制成具有杀菌作用的波尔多液;A的稀溶

化学物质上红棕色固体可能是什么较常见的,化学物质上红棕色固体可能是什么较常见的变化(2018年重难点物质的推断与转化专题4)

液与G发生复分解反应生成F与H。

(1)写出化学式:B__________,F__________。

(2)写出C转化为D的化学方程式____________________________。

(3)写出A的稀溶液与G发生反应的化学方程式________________________。

F转化为E反应的基本类型是________________。

(4)分类观是化学的核心观念之一。以上8种物质没有涉及到的物质类别是________。

 题眼三 物质的类别

l(例3) (2016哈尔滨)如图中A、B、C、D、E、F分别表示六种物质,B、C、D、F分别属于酸、碱、盐、氧化物四种类别中的一种,A是目前世界年产量最高的金属,B是可溶性银盐,D与E发生的反应属于中和反

化学物质上红棕色固体可能是什么较常见的,化学物质上红棕色固体可能是什么较常见的变化(2018年重难点物质的推断与转化专题4)

应。(图中用"—"或"⌒"表示两种物质之间能发生化学反应,用""或"

化学物质上红棕色固体可能是什么较常见的,化学物质上红棕色固体可能是什么较常见的变化(2018年重难点物质的推断与转化专题4)

"表示一种物质可以转化为另一种物质,部分反应物和生成物及反应条件已略去,图中部分反应需在溶液中进行)。请回答下列问题:

(1)分别写出B、C、E、F物质的化学式(或溶质的化学式)。

B: ________ C: ________ E: ________ F: ________;

(2)写出A与B发生反应的化学方程式__________________________________。

(3)写出B与C发生反应的实验现象____________________________________。

 题眼四 特征反应现象

化学物质上红棕色固体可能是什么较常见的,化学物质上红棕色固体可能是什么较常见的变化(2018年重难点物质的推断与转化专题4)

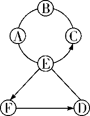
(例4) (2016兰州)A~K为中学化学常见的物质,其中A为黑色粉末,H是一种建筑材料的主要成分,它们之间的转换关系如图所示。回答下列问题:

(1)D,F的化学式是:D________,F________。

(2)①的基本反应类型是____________。

(3)反应②的化学方程式是__________________________。

(4)气体E的用途是__________________(写一条)。

 题眼五 物质之最

eq \a\vs4\al(例5) A—G是初中化学中常见的物质,其相互反应及转化关系如图所示,部分反应条件省略。已知A

化学物质上红棕色固体可能是什么较常见的,化学物质上红棕色固体可能是什么较常见的变化(2018年重难点物质的推断与转化专题4)

是易与人体血红蛋白结合的有毒气体,B是赤铁矿的主要成分,C是相对分子质量最小的氧化物,F是最轻的气体。

(1)G的化学式为____________。

(2)写出相应反应的化学方程式:

①________________________________;②______________________________

(3)反应③的实验现象是__________________________________________。

题眼六 特征反应条件

化学物质上红棕色固体可能是什么较常见的,化学物质上红棕色固体可能是什么较常见的变化(2018年重难点物质的推断与转化专题4)

l(例6) 如图中A~F是初中化学常见的物质,已知A和E都可以作燃料,其中A是天然气的主要成分。请分析回答:

(1)F的化学式为________。

(2)反应①的化学方程式为____________________。

(3)反应②

中的产物B通常用________________检验。

(4)E物质作燃料的优点是______________________(答一点)。

 题眼七 物质的主要成分或俗名

al(例7) (2015河北)A~I表示初中化学常见的物质,其中C是大理石的主要成分,各物质间相互转化关系如图所示(反应条件已略去)。

化学物质上红棕色固体可能是什么较常见的,化学物质上红棕色固体可能是什么较常见的变化(2018年重难点物质的推断与转化专题4)

请回答下列问题:

(1)C的化学式为________。

(2)A的一种用途是________________________。

(3)上述转化中没有涉及的基本反应类型是____________。

(4)反应③中化学方程式为(只写一个)______________________________________。

 题眼八 组成元素相同的物质

l(例8) (2016朝阳)下列物质均为初中化学常见的物质,其中A、C的组成元素相同,且A、C、D、E、F为氧化物,G为改良酸性土壤常用的物质。如图是它们之间的转化关系。请回答下列问题。

化学物质上红棕色固体可能是什么较常见的,化学物质上红棕色固体可能是什么较常见的变化(2018年重难点物质的推断与转化专题4)

(1)写出E物质的化学式________。

(2)化学反应②的基本类型是__________。

(3)写出反应③的化学方程式________________________________。

(4)D在化学反应①中的作用是________。

分类集训

 类型1 未知物的推断

1.(2016常德)甲乙丙丁是初中化学中的常见物质,它们是由H、O、Cl、Fe、Na五种元素中的一种或几种组

化学物质上红棕色固体可能是什么较常见的,化学物质上红棕色固体可能是什么较常见的变化(2018年重难点物质的推断与转化专题4)

第1题图

成,其转化关系如图所示,请根据要求用化学式填空:

(1)如甲是金属单质,则乙可能为________,

如甲为非金属单质,则乙可能为________。

(2)如丙和丁分别是氢氧化铁和氯化钠,甲为含氯化合物,则甲是________,

乙是________。

2.(2016随州)A、B、C、D都是初中化学常见的物质,它们之间的转化关系如图所示。

化学物质上红棕色固体可能是什么较常见的,化学物质上红棕色固体可能是什么较常见的变化(2018年重难点物质的推断与转化专题4)

第2题图

("→"表示物质间的转化关系)。已知A和D均为单质,B和C都是氧化物且组成元素相同,常温下B、C、D都是气体,自然界中绿色植物可实现C→D的转化。请回答:

(1)A的化学式为________。

(2)B与C两种物质化学性质不同的原因是________________________。

(3)用化学方程式表示绿色植物实现C→D的转化____________________________。

3.(2016长沙)有A、B、C、D、E、F、G七种不同化合物,它们有如图所示的反应关系(图中的"—"表示相连两物质之间

化学物质上红棕色固体可能是什么较常见的,化学物质上红棕色固体可能是什么较常见的变化(2018年重难点物质的推断与转化专题4)

第3题图

可以发生反应,图中的"→"表示一种物质可以转化为另一种物质,反应条件、部分反应物和生成物已略去)。若A能与B、D、F分别反应,C、G、E能顺时针转化,B、F、D又分别能转化生成C、G、E。已知:B和D;C和E;F和G分别为相同类型的物质,A是胃酸的主要成分,F为红色固体。请写出:

(1)F的化学式为________。

(2)C→G的化学反应方程式________________________。

4.(2016玉林)A~E为初中化学常见的物质,他们之间有如图所示的转化和反应关系("→"表示某一种物质经一步反应可转化为另一种物质,"—"表示相连两种物质能发生化学反应,部分反应物、生成物及反应条件已略去)。

化学物质上红棕色固体可能是什么较常见的,化学物质上红棕色固体可能是什么较常见的变化(2018年重难点物质的推断与转化专题4)

第4题图

(1)若C、D是组成元素相同的气体,且A和X反应的现象是固体由红色逐渐变成黑色,则A为________,B为________,D与E发生的化学反应________(填"是"或"不是")置换反应。

(2)若A、B、C、D、E均含有一种相同的元素,且A、B、C、D是不同类别的物质,A和X反应的现象是有刺激性气味的气体生成,则D为________,写出A—B反应的化学方程式________________________。

5.(2016天津)在下列转化关系中,各物质均是初中化学常见物质。其中甲、乙、丙属于单质,A为黑色固体,C属于盐。

①甲+乙eq \o(――→,\s\up7(点燃))B②甲+丙eq \o(――→,\s\up7(△))A

③A+D―→C+B④C+E―→Cu(OH)2↓+NaCl

回答下列问题:

(1)用化学式表示:乙________,B________。

(2)反应②的化学方程式为______________________________。

(3)反应④的化学方程式为______________________________。

6.(2016厦门)无机物甲、乙、丙经一步反应的转化关系如图所示,其中部分反应物、生成物及反应条件已略去。

化学物质上红棕色固体可能是什么较常见的,化学物质上红棕色固体可能是什么较常见的变化(2018年重难点物质的推断与转化专题4)

第6题图

(1)若反应皆为化合反应,且均在点燃条件下发生,则丙的化学式为____________________。

(2)若反应皆为置换反应,且均在溶液中进行,甲、乙、丙都为金属,则它们的金属活动性由强到弱的顺序是____________(用"甲"、"乙"、"丙"表示)。

(3)若反应皆为复分解反应,乙为白色难溶物。

①若甲为常见的酸,甲、乙、丙含相同的原子团,丙溶液为蓝色,则丙生成乙的化学方程式为________________________(写一个)。

②若甲为常见的碱,且相对分子质量为74。甲、乙、丙含相同的金属元素,丙溶液为无色,则丙生成乙的化学方程式为________________________________(写一个)。

7.(2016黄冈)A~E为初中化学常见的物质。它们有如图所示的转化关系,图中"—"表示相连的物质间能相互发生反应,"→"表示物质间有相应的转化关系。其中,A、B都是黑色固体,通常状况下,C是一种能使澄清石灰水变浑浊的气体,D溶于水会形成蓝色溶液,常用于配制一种具有杀菌作用的农

化学物质上红棕色固体可能是什么较常见的,化学物质上红棕色固体可能是什么较常见的变化(2018年重难点物质的推断与转化专题4)

第7题图

药。请回答下列问题:

(1)物质C的化学式是________。

(2)写出下列反应的化学方程式:

①______________________,②______________________。

(3)物质E所属的类别可能是(写一种物质的类别)________。

化学物质上红棕色固体可能是什么较常见的,化学物质上红棕色固体可能是什么较常见的变化(2018年重难点物质的推断与转化专题4)

第8题图

8.(2016宁波)已知A~I均为初中科学常见的物质,其中组成A、C两种气体的元素相同,且C是常见的温室气体,B是铁锈的主要成分,D是单质,F是盐酸盐。根据如图所示的转化关系(图中反应条件均已略去)回答下列问题:

(1)D的化学式为________。

(2)写出反应①的化学方程式____________________________。

(3)若反应②在植物体内进行,这个过程中能量的转化形式是______________。

9.(2016眉山)初中化学中的几种常见物质有如图所示的转化关系(部分反应物和生成物已略去)其中C是石灰石的主要成分,反应③常用于实验室制备E气体。请回答下列问题:

(1)C的化学式是________;B的化学式可能是________(任写一种)。

(2)反应⑤的化学方程式是__________________________________________。

(3)在四种基本反应类型中,上图未涉及的反应类型是________(填序号)。

A.化合反应B.复分解反应

C.分解反应D.置换反应

化学物质上红棕色固体可能是什么较常见的,化学物质上红棕色固体可能是什么较常见的变化(2018年重难点物质的推断与转化专题4)

第9题图

化学物质上红棕色固体可能是什么较常见的,化学物质上红棕色固体可能是什么较常见的变化(2018年重难点物质的推断与转化专题4)

第10题图

10.(2016河北)A~J表示初中化学常见的物质,其中B可用在铅酸蓄电池中、G是最清洁燃料、H是蓝色沉淀,各物质间相互转化关系如图所示。请回答下列问题:

(1)G的化学式为________。

(2)E的一种用途是________________________。

(3)反应④的基本反应类型为________________________。

(4)反应③的化学方程式为________________________________________。

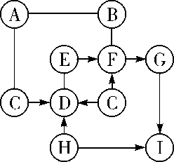
11.(2016南京)图中A~I是初中化学常见的物质,且分别是由H、C、O、Na、Al、S、Ca、Cu、Ag中的一种或几种元素组成的。在通常情况下,D与其他物质的状态不同;D、G、H、I均为单质,其中G为紫红色固体,H在空气中表面生成一层致密的氧化膜,具有很好的抗腐蚀性能;B可用来改良酸性土壤;A、F均为由三种元素组成的盐。图中"——"表示两端的物质间能发生化学反应;"―→"表示物质间存在转化关系;部分反应物、生成物或反应条件已略去。

(1)写出化学式:G________。

(2)写出A与C反应的化学方程式________________________。写出D与E反应的化学方程式________________________。写出H―→I反应的化学方程式________________________。

化学物质上红棕色固体可能是什么较常见的,化学物质上红棕色固体可能是什么较常见的变化(2018年重难点物质的推断与转化专题4)

第11题图

化学物质上红棕色固体可能是什么较常见的,化学物质上红棕色固体可能是什么较常见的变化(2018年重难点物质的推断与转化专题4)

第12题图

12.(2016大庆)A~H表示初中化学常见物质,它们之间转化关系如图所示(部分生成物已略去)。其中A为红棕色固体,反应①为冶金工业的重要反应,且B、D组成元素相同,C、F为金属单质,其他物质为化合物,其中F为紫红色,H为白色沉淀。

请按要求填空:

(1)写出下列物质的化学式:A________,D________,E________。

(2)①~④的反应中属于置换反应的是________(填序号)。

(3)反应①的化学方程式为____________________。

13.(2016泰州)A~I为初中化学常见物质,相互转化关系如图所示,

"→"表示转化关系,"—"表示相互之间能发生反应(部分反应物、生成物及反应条件省略)。

化学物质上红棕色固体可能是什么较常见的,化学物质上红棕色固体可能是什么较常见的变化(2018年重难点物质的推断与转化专题4)

第13题图

其中,A、C、F、H含相同金属元素且所属物质类别不同,H、I类别相同;A、B为金属单质,B为紫红色;C、D为氧化物,C为红棕色固体;G溶液呈蓝色,E的浓溶液常用作某些气体的干燥剂。请回答下列问题:

(1)C的化学式________;E的化学式________。

(2)F溶液的颜色________;I所属物质类别是________。

(3)写出化学反应方程式:反应①________________________;反应④______________________。

(4)在①②③④四个反应中,未涉及到的基本反应类型为________反应。

14.(2016南宁)A~G是初中化学常见的物质,由氢、碳、氧、钙、铁五种元素中的一种或几种组成。已知A是一种红色

化学物质上红棕色固体可能是什么较常见的,化学物质上红棕色固体可能是什么较常见的变化(2018年重难点物质的推断与转化专题4)

第14题图

固体,D是可供给呼吸的气体,A、B、E、F都由两种元素组成,G由三种元素组成,物质之间的相互反应及转化关系如图所示,图中"→"表示转化关系,"—"表示能相互反应。(部分反应物、生成物或反应条件已略去)请回答下列问题:

(1)写出物质B、E的化学式:B________,E________。

(2)C发生缓慢氧化的条件是________________________。

(3)写出G溶液和碳酸钠溶液反应的化学方程式________________________。

(4)D→F的反应有多个,请写出其中一个不属于基本反应类型的反应的化学方程式:__________________________________。

15. (2016烟台)如图中的物质为初中化学常见物质,他们之间的反应关系如图所示("→"表示转化关系,"—"表示相互能反应,部分反应物、生成物或反应条件已略去)。甲与A溶液反应得到浅绿色溶液;A、B发生中和反应,产物之一是厨房内常用的调味品;C常用于改良酸性土壤,且C的溶液与D的溶液反应可得到B;C的溶液与乙的溶液反应生成蓝色沉淀;乙与丙两种溶液反应生成两种不同颜色的沉淀。请回答:

化学物质上红棕色固体可能是什么较常见的,化学物质上红棕色固体可能是什么较常见的变化(2018年重难点物质的推断与转化专题4)

第15题图

(1)甲的化学式是________;D的化学式是________。

(2)欲通过一步实验证明A、B是否恰好完全反应,需要向A、B反应后的溶液中加入的试剂是________________。

(3)E→C反应的化学方程式是____________________________。

(4)乙与丙两种溶液反应的化学方程式是____________________________。

16.(2016赤峰)下列字母A~I表示初中化学常见的物质,它们是由氢、碳、氧、氯、钠、钙中的2~3种元素组成。

(1)气体A、B是由两种相同元素组成且可以相互转化。A常用于金属冶炼,它的化学式是____________。写出A转化成B的化学方程式____________________________。

(2)C俗称生石灰,C是________,C与D(胃液中含有的酸)能发生反应,写出该反应的化学方程式________________________。

(3)D与E的溶液发生中和反应,表示D+E―→F+G,其中F是食盐的主要成分。证明D、E恰好完全反应,可选用的试剂是________(填字母序号)。

a.酚酞溶液 b.酚酞溶液和锌粒 c.pH试纸

(4)Ⅰ用于玻璃、造纸、纺织、洗涤剂的生产,取I溶液进行实验,操作及部分现象如图所示。

I与H反应的化学方程式为________________________。

化学物质上红棕色固体可能是什么较常见的,化学物质上红棕色固体可能是什么较常见的变化(2018年重难点物质的推断与转化专题4)

第16题图

 类型2 代入型推断

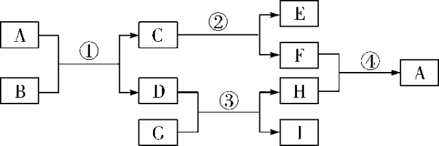
17.(2016永州)铁、稀盐酸、澄清石灰水和氯化铜溶液四种物质之间的反应关系如图所示,图中两圆相交的阴影部分

化学物质上红棕色固体可能是什么较常见的,化学物质上红棕色固体可能是什么较常见的变化(2018年重难点物质的推断与转化专题4)

第17题图

表示物质之间可以反应。

(1)图中X应是________(写化学式)

(2)图中发生置换反应的化学反应方程式为______________________________(任写一个即可)。

18.(2016广东)初中化学常见物质A~I分别是下列物质中的一种:锌、氢氧化钠、硫酸铜溶液、稀盐酸、碳酸钠溶液、石灰水、生石灰、石灰石和水。它们之间相互的反应(每种物质中只能用一次)恰好包含了化合反应(A+B)、分解反应(C)、置换反应(D+E)、中和反应(F+G)、复分解反应(H+I)等反应类型。试回答下列问题:

(1)A+B的反应方程式是______________________________。

(2)C的化学式为________;硫酸铜溶液参加________反应(填反应类型)。

(3)H+I的反应方程式是__________________________________________。

19.(2016临沂)现有甲、乙、丙、丁四种无色溶液,它们分别是稀HCl、稀H2SO4、BaCl2溶液、Na2CO3溶液中的一种。已知甲+乙→无明显现象,乙+丙→白色沉淀,丙+丁→白色沉淀,甲+丁→无色气体;BaCO3、BaSO4难溶于水。

试回答:

(1)丁物质中的溶质是________(填化学式)。

(2)写出乙和丙反应的化学方程式 。

(3)写出甲和丁反应的化学方程式 。

20.(2016枣庄)A、B、C、D、E分别是锌、硫酸、氢氧化钡、硫酸铜和碳酸钠五种物质中的一种。如图所示:"——"表示相连的两种物质能够发生反应,其中D的溶液呈蓝色,A与B反应生成的气体是光合作用的原料之一。

化学物质上红棕色固体可能是什么较常见的,化学物质上红棕色固体可能是什么较常见的变化(2018年重难点物质的推断与转化专题4)

第20题图

(1)D的化学式是________。

(2)A与B反应的化学方程式:________________________________。

(3)C与D反应的化学方程式:________________________________,属于基本反应类型

中的______________。

(4)下列可以替代E的是________(填序号)。

①氯化铜②氢氧化钾③银

 类型3 物质成分的推断

21.(2015贵港)已知在相同的温度和压强下,任何气体的体积与分子数成正比,N2中可能混有HCl、CO2、CO、H2四种气体中的一种或几种,把气体依次通过饱和碳酸氢钠溶液、足量氢氧化钠溶液、灼热的氧化铜,气体体积变化依次为:不变、变小、变小。则下列判断正确的是( )

A.一定混有HClB.一定混有CO

C.一定混有CO2D.一定混有H2

22.(2016通辽)某碳酸钾固体样品,可能含有硫酸钾、碳酸钙、硫酸铜、氯化钾的一种或几种杂质。为了确定杂质的成分,进行以下实验:

(1)取少量样品溶于水,得到无色溶液A,然后滴加过量的氯化钡溶液,出现白色沉淀B,过滤。

(2)往沉淀B中加入过量的稀硝酸,沉淀部分消失,并放出气体C。

请回答下列问题:

①杂质中一定没有________________,一定含有________。

②白色沉淀物B是________________,步骤(2)中放出的气体C是________。

23.(2016黔西南)一包固体粉末,可能含有Na2CO3、Fe2(SO4)3、NaCl、KNO3、Na2SO4中的一种或几种,为探究其成分,设计以下实验进行探究:

(1)取少许固体粉末于试管中,加水使其充分溶解,得到无色溶液。

(2)取少量(1)的溶液于试管中,滴加足量的Ba(NO3)2溶液,有白色沉淀产生,过滤。

(3)向(2)中的滤渣(白色沉淀)中加入足量的稀HNO3,有气泡产生,白色沉淀部分溶解。

实验结论:

a.固体粉末中一定不存在________,一定存在________、________,可能存在________、________;

b.写出(3)中反应的化学方程式____________________________________。

题型四 物质的转化与推断

题眼突破

题眼一 物质的颜色

例1 (1)Fe2O3 CuSO4

(2)Fe+CuSO4=== FeSO4+Cu

(3)①③

(4)6HCl+Fe2O3=== 2FeCl3 + 3H2O

eq \a\vs4\al(题眼归纳)

1.(1)Fe3O4 (3)Cu

2.(1)①BaSO4 AgCl ②CaCO3 Ag2CO3 ③Mg(OH)2 (2)Cu(OH)2 (3)Fe(OH)3

3.(1)Cu2+ (2)Fe2+ (3)Fe3+

题眼二 物质的用途

例2 (1)HCl CuSO4

(2)Ca(OH)2+Na2CO3=== CaCO3↓+2NaOH

(3)H2SO4+CuO=== CuSO4+H2O 置换反应

(4)单质

eq \a\vs4\al(题眼归纳)

1.CaO 2.CO2 3.盐酸(或HCl) 4.O2 5.酒精

6.大理石(或CaCO3) 熟石灰[或Ca(OH)2] 7.H2

8. H2 CO C 9.CO2 10.NaOH

11.熟石灰[或Ca(OH)2] 12.澄清石灰水

13.氯化钠(或NaCl)

14.碳酸氢钠(或NaHCO3) 16.氢氧化铝[或Al(OH)3]

17.熟石灰[或Ca(OH)2] 硫酸铜(或CuSO4)

18.稀硫酸(或稀H2SO4) 稀盐酸(或稀HCl)

题眼三 物质的类别

例3 (1)AgNO3 HCl H2SO4 H2O

(2)Fe+2AgNO3 === Fe(NO3)2+2Ag

(3)溶液中产生白色沉淀

eq \a\vs4\al(题眼归纳)

1.H2 O2 CO 6.CO2 CO H2O H2O2

题眼四 特征反应现象

例4 (1)Cu(OH)2 CO2

(2)复分解反应

(3)Cu+2AgNO3=== Cu(NO3)2+2Ag

(4)作燃料(或冶炼金属)

eq \a\vs4\al(题眼归纳)

1.(1)S (2)H2 (3)CO

2.(1)CO2 (2)O2 (3)CO2 (4)H2 CO C

(6)P (7)Fe (8)NH3 (10)铜 (11)铁

题眼五 物质之最

例5 (1)Fe3O4

(2)①3CO+Fe2O3eq \o(=====,\s\up7(高温)) 2Fe+3CO2

②2H2Oeq \o(=====,\s\up7(通电)) 2H2↑+O2↑

(3)剧烈燃烧、火星四射,生成黑色固体

eq \a\vs4\al(题眼归纳)

1.(1)O Al (2)Ca (3)N (4)C (5)O

2.(1)H2 (2)H2O (3)金刚石(C) (4)CH4 (5)H2O

(6)H2O (7)Fe (8)Cu

题眼六 特征反应条件

例 6 (1)CO

(2)CH4+2O2eq \o(=====,\s\up7(点燃)) CO2 + 2H2O

(3)带火星的木条

(4)产物是水,无污染(或热值高)

eq \a\vs4\al(题眼归纳)

2.(1)Fe2O3+3COeq \o(=====,\s\up7(高温)) 2Fe+3CO2

(2)C+2CuO eq \o(=====,\s\up7(高温 )) 2Cu+CO2↑

(3)C+CO2eq \o(=====,\s\up7(高温)) 2CO

(4)CaCO3eq \o(=====,\s\up7(高温)) CO2↑+CaO

3.2H2Oeq \o(=====,\s\up7(通电)) 2H2↑+O2↑

4.(1)2KMnO4eq \o(=====,\s\up7(△)) K2MnO4+MnO2+O2↑

(2)2KClO3eq \o(=====,\s\up7(MnO2),\s\do5(△)) 2KCl+3O2↑

(3)H2+CuOeq \o(=====,\s\up7(△)) Cu+H2O

(4)CuO+COeq \o(=====,\s\up7(△)) Cu+CO2

5.(1)2KClO3eq \o(=====,\s\up7(MnO2),\s\do5(△)) 2KCl+3O2↑

(2)2H2O2eq \o(=====,\s\up7(MnO2)) 2H2O+O2↑

题眼七 物质的主要成分或俗名

例 7 (1)CaCO3

(2)改良酸性土壤(或作建筑材料、配制农药等)

(3)置换反应

(4) NaOH+HCl=== NaCl+H2O(合理即可)

题眼八 组成元素相同的物质

例8 (1)CuO

(2)化合反应

(3)2NaOH+CuCl2=== Cu(OH)2↓+2NaCl

(4)催化作用

eq \a\vs4\al(题眼归纳)

1. CO2 CO

2. H2O2 H2O

3. Fe2O3 Fe3O4

4. FeCl2 FeCl3 FeSO4 Fe2(SO4)3

5. Fe(OH)2 Fe(OH)3

分类集训

类型1 未知物的推断

1.(1)HCl Fe2O3 (2)FeCl3 NaOH

2.(1)C

(2)分子构成不同

(3)6CO2+6H2Oeq \o(=====,\s\up7(光),\s\do5(叶绿体)) C6H12O6+6O2

3.(1)Fe2O3

(2)CaCO3eq \o(=====,\s\up7(高温))

CaO+CO2↑(或2HCl+CaCO3=== CaCl2+H2O+CO2↑)

4. (1)氧气(或O2) 碳(或C) 不是 (2)CO2(或SO2) H2SO4+2NaOH=== Na2SO4+2H2O[或H2SO4+Ca(OH)2=== CaSO4+2H2O等合理即可]

5. (1) H2 H2O

(2)2Cu + O2eq \o(=====,\s\up7( △)) 2CuO

(3)CuCl2 + 2NaOH === Cu(OH)2↓+ 2NaCl

【题眼定位】

化学物质上红棕色固体可能是什么较常见的,化学物质上红棕色固体可能是什么较常见的变化(2018年重难点物质的推断与转化专题4)

6.(1)CO

(2)甲、丙、乙

(3)①CuSO4 + BaCl2=== BaSO4↓+CuCl2(合理即可)

CaCl2 Na2CO3=== CaCO3↓+2NaCl(合理即可)

7.(1)CO2

(2)①C+2CuOeq \o(=====,\s\up7(高温)) 2Cu+CO2↑

②CuO+H2SO4=== CuSO4+ H2O

(3)碱(或单质、氧化物)

8.(1)Fe

(2)Fe2O3+6HCl=== 2FeCl3+3H2O

(3)光能转化为化学能

9.(1)CaCO3 Na2CO3(或K2CO3)

(2)CO2+Ca(OH)2=== CaCO3↓+H2O

(3)D

10.(1)H2

(2)作导线(合理即可)

(3)复分解反应

(4)CuSO4+2NaOH=== Cu(OH)2↓+Na2SO4

【题眼定位】

化学物质上红棕色固体可能是什么较常见的,化学物质上红棕色固体可能是什么较常见的变化(2018年重难点物质的推断与转化专题4)

11.(1)Cu

(2)Na2CO3+H2SO4=== Na2SO4+H2O+CO2↑

CuO+H2eq \o(=====,\s\up7(△)) Cu+H2O

Al+3AgNO3=== Al(NO3)3+3Ag

12.(1)Fe2O3 CO2 CuSO4

(2)②③

(3)Fe2O3+3COeq \o(=====,\s\up7(高温)) 2Fe+3CO2

【题眼定位】

化学物质上红棕色固体可能是什么较常见的,化学物质上红棕色固体可能是什么较常见的变化(2018年重难点物质的推断与转化专题4)

13.(1)Fe2O3 H2SO4

(2)黄色 碱

(3)3CO+Fe2O3eq \o(=====,\s\up7( 高温)) 2Fe+3CO2

CuO+H2SO4=== CuSO4+H2O

(4)分解

14.(1)CO CO2

(2)与氧气和水蒸气接触

(3)Ca(OH)2+Na2CO3=== CaCO3↓+2NaOH

(4)CH4 + 2O2eq \o(=====,\s\up7(点燃)) CO2 + 2H2O(或C2H5OH + 3O2 eq \o(=====,\s\up7(点燃)) 2CO2 + 3H2O等合理即可)

15.(1)Fe Na2CO3

(2)紫色石蕊试液

(3)CaO+H2O=== Ca(OH)2

(4)CuSO4+Ba(OH)2=== Cu(OH)2↓+BaSO4↓

16. (1)CO 2CO+O2eq \o(=====,\s\up7(点燃)) 2CO2(或3CO+Fe2O3eq \o(=====,\s\up7(高温)) 3CO2+2Fe等合理即可)

(2)氧化钙(或CaO) CaO+2HCl=== CaCl2+H2O

(3)b、c

(4)Na2CO3+Ca(OH)2=== CaCO3↓+2NaOH

类型2 代入型推断

17.(1)Fe

(2)Fe + 2HCl=== FeCl2+ H2↑(或Fe +CuCl2=== FeCl2+Cu)

18. (1)CaO+H2O=== Ca(OH)2

(2)CaCO3 置换

(3)Ca(OH)2+Na2CO3=== CaCO3↓+2NaOH

19.(1)Na2CO3

(2)H2SO4+BaCl2=== BaSO4↓+2HCl

(3)2HCl+Na2CO3=== 2NaCl+H2O+CO2↑

20.(1)CuSO4

(2)Na2CO3+H2SO4=== Na2SO4+H2O+CO2↑

(3)CuSO4+Ba(OH)2=== BaSO4↓+Cu(OH)2↓

复分解反应

(4)②

【题眼定位】

化学物质上红棕色固体可能是什么较常见的,化学物质上红棕色固体可能是什么较常见的变化(2018年重难点物质的推断与转化专题4)

类型3 物质成分的推断

21.CD

22.①碳酸钙、硫酸铜(或CaCO3、CuSO4) 硫酸钾(或K2SO4)

②碳酸钡、硫酸钡(或BaCO3、BaSO4) 二氧化碳(或CO2)

23. a.Fe2(SO4)3 Na2CO3 Na2SO4 NaCl KNO3

b. BaCO3+2HNO3=== Ba(NO3)2+H2O+CO2↑

本文关键词:化学物质上红棕色固体可能是什么较常见的变化,化学中红棕色固体是什么物质,什么为红棕色固体,化学中常见的红棕色固体,化学物质上红棕色固体可能是什么较常见的物质。这就是关于《化学物质上红棕色固体可能是什么较常见的,化学物质上红棕色固体可能是什么较常见的变化(2018年重难点物质的推断与转化专题4)》的所有内容,希望对您能有所帮助!

本文链接:https://bk.89qw.com/a-570679

最近发表
网站分类