百科生活 投稿
关于【幂指函数是什么】:幂指函数是什么,今天小编给您分享一下,如果对您有所帮助别忘了关注本站哦。
- 内容导航:
- 1、幂指函数是什么
- 2、「暑期必备46个知识点01」:七种未定式
1、幂指函数是什么
幂指函数既像幂函数,又像指数函数,二者的特点兼而有之。作为幂函数,其幂指数确定不变,而幂底数为自变量;相反地,指数函数却是底数确定不变,而指数为自变量。
幂指函数就是幂底数和幂指数同时都含有自变量的函数。这种函数的推广,就是广义幂指函数。
2、「暑期必备46个知识点01」:七种未定式
问题索引:
- 七种未定式分别是什么?
- 针对每一种未定式,有哪些处理手段?
- 求极限过程中需要注意哪些问题?
考点解读:
七种未定式,是考研数学中非常关键的一个知识点,可以说是极限计算中必考的一类题型,这七种未定式分别是:(都给我记住了)

在计算七种未定式时,
通常按照运算等级分成三组,
分别是:
“常规类”
“减法类”
“幂指类”
对于这几种类型分别会有不同的应对方法。

对于前两种,直接使用洛必达,或者使用泰勒公式就能解决问题,当然在使用这些计算工具之前,别忘了先对分子分母的式子进行处理,比如看到根号差要用有理化,看到分式可能要用到倒代换等等。
对于0·∞型,可以选择下放其中一个因式,转化为另外两种形式处理。

碰到两个分式的减法,首先想到的就是通分,转化为上面的常规类未定式,
如果看到的是两个整式相除,通常可以使用提取公因式或者是倒代换,转化成分式相减的形式。

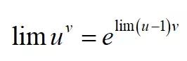
使用对数恒等式转化成常规类进行计算,特殊地,对于1∞型极限,可以使用简便的解法:

总之,常规类是根本,
其他的类型可以通过一些特殊手法转化为常规类计算。
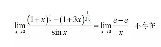
错例分析:自变量趋向的同时性

对于幂指型函数,一定要严格按照对数恒等式化简,此题分子上虽然符合两个重要极限的形式,但是由于自变量趋向有同时性,所以不能把一部分取极限之后再对剩下的取极限。
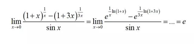
正确的做法:

思考题:(题目出自网协班3月测评卷)

恭喜你,学会了一个知识点。
46天,宇哥带你完成蜕变,今天是学习的第1/46天。
本文关键词:什么叫做幂指函数,幂指函数是指数函数吗,幂指函数和幂函数,幂指函数是什么复合函数,幂指函数的概念。这就是关于《幂指函数是什么,啥叫幂指函数(:七种未定式)》的所有内容,希望对您能有所帮助!
- 最近发表