百科生活 投稿
关于【什么是因果系统】:什么是因果系统,今天小编给您分享一下,如果对您有所帮助别忘了关注本站哦。
- 内容导航:
- 1、什么是因果系统
- 2、因果非因果系统与零极点关系问题
1、什么是因果系统
1、因果系统是指当且仅当输入信号激励系统时,才会出现输出响应的系统,也就是说,因果系统的响应不会出现在输入信号激励系统的以前时刻;
2、因果系统,即输入的响应不可能在此输入到达的时刻之前出现的系统,也就是说系统的输出仅与当前与过去的输入有关,而与将来的输入无关的系统,系统的这种特性称为因果特性,符合因果性的系统称为因果系统或非超,与之相对的有非因果系统和反因果系统。
2、因果非因果系统与零极点关系问题
因果系统,又称非超前系统 (nonanticipative system)即输出不可能在输入到达之前出现的系统。也就是说,系统n时刻的输出,只取决于系统n时刻以及n时刻之前的输入,而与n时刻之后的输入无关。系统的这种性质称为因果特性。
非因果系统(noncausal system):指当前时刻的输出不仅取决于当前的输入,还取决于将来的输入的系统。

因果系统S平面收敛域的判断:
图1
在Z域中,因果系统的判定为:
(1)在H(z)中不会出现Z的正幂;
(2) H(z)的收敛域必在某圆外;
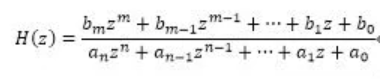
(3)在下式中,只有m≤n
图2
也就是,对于离散有理系统来说,如果分子的阶数高于分母的阶数,系统就是非因果的。
分子的阶数高于分母的阶数,意味着零点个数比极点个数多(不包括原点的零点或极点)。
图2中,如果把z等于无穷大代入,H(Z)=0,则说明系统存在无穷远的零点;如果把z等于无穷大代入,H(z)为无穷大,则说明系统有无穷远的极点。
图2中因为m≤n,因此,因果系统可以存在无穷远的零点,但不会存在无限远的极点;非因果系统则反过来。
例如:
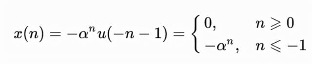
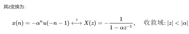
图3
图3为因果系统的收敛域。
非因果系统:
图 4
从图4可以看出,
图5
简单总结:
1:因果系统的收敛域在圆外,非因果系统则在圆内。
2:因果系统存在无穷远的零点,非因果系统存在无穷远的极点。
本文关键词:什么样的系统是因果系统,什么是因果系统什么是非因果系统,什么是因果系统信号与系统,什么是因果系统的概念,什么是因果系统。这就是关于《什么是因果系统,常见的因果系统(因果非因果系统与零极点关系问题)》的所有内容,希望对您能有所帮助!
- 最近发表