手机版

百科生活 投稿

合外力怎么求,牛顿第二定律合外力怎么求(物理高手必会二级结论——万有引力篇)

百科 2026-02-04 12:48:25 投稿 阅读:1427次

关于【合外力怎么求】:合外力怎么求,今天小编给您分享一下,如果对您有所帮助别忘了关注本站哦。

  • 内容导航:
  • 1、合外力怎么求
  • 2、物理高手必会二级结论——万有引力篇(四)「双星系统模型」

1、合外力怎么求

  求合外力公式:F合=F1+F2。合外力,是指物体所受的所有外力的总和。各力如在同一直线上同向的就相加(即各力之间的夹角为0度),在同一直线上反向的就相减(即各力之间的夹角为180度),互成角度的力就用平行四边形定则合成。

  力是物体对物体的作用,所以力都是成对出现的。有力就有施力物体和受力物体。两物体间通过不同的形式发生相互作用如吸引、相对运动、形变等而产生的力,叫作用力。

2、物理高手必会二级结论——万有引力篇(四)「双星系统模型」

哈喽,大家好!

在前几篇文章中我们对行星运动参数、中心天体密度质量、及天体自转和向黑洞的演变进行了系统性的公式梳理并搞清了三者之间的代数关系和物理联系,同时提炼出具有四两拨千斤效果的二级公式,这些公式往往都是“妙手”,在解题时如果运用上会有奇效。

本篇是万有引力篇的终级篇也就是最后一篇,我们会对双星系统模型进行系统性的剖析并提炼出巧妙的二级结论公式,相信认真看完后你的境界会更上一个层次。双星系统的题目难度一直相对固定且偏低,一些学生可能仅仅在老师讲解时就主观性放弃思考,其实这是不必要的,本篇文章会告诉你双星系统与单星的二级公式结论会极其相似,甚至更简单。

废话不多说,上菜!

【双星系统】

首先同学们不要排斥双星系统相关的题,在银河系中,双星的数量非常多,估计不少于单星。研究双星,不但对于了解恒星形成和演化过程的多样性有重要的意义,而且对于了解银河系的形成和演化,也是一个不可缺少的方面。

合外力怎么求,牛顿第二定律合外力怎么求(物理高手必会二级结论——万有引力篇)

双星系统(物理方面)

双星分析的关键在于两颗天体互相提供引力(相互作用力),也就是说它们所受的力大小相同,只不过方向相反罢了,结合牛顿第二定律(F=ma),便得知它们的向心加速度之比为它们质量的反比。

合外力怎么求,牛顿第二定律合外力怎么求(物理高手必会二级结论——万有引力篇)

双星运动示意图

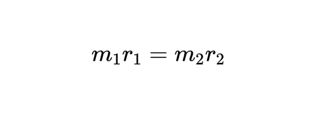
为方便研究,我们先规定:大质量为m1,半径为r1;小质量为m2,半径为r2。它们相距L,也就是说:r1+r2=L。

由图我们可以轻松看出,r1 明显小于 r2 ,貌似天体的质量越大,它就离旋转中心越近!思考一下,你做过的题是不是都是这样?

是这样吗?

的确是的。

这里就要普及高中物理老师都不会讲到的一点:

多星系统(不只是双星哦)运动且在围绕共同一点做匀速圆周运动时,这一公共点便是整个系统的质心!

什么是质心?你可以理解为一个物体的重心(但不等同哦,这是两个概念!)

质量中心简称质心,指物质系统上被认为质量集中于此的一个假想点。

合外力怎么求,牛顿第二定律合外力怎么求(物理高手必会二级结论——万有引力篇)

该模型下质心简洁表达

由此我们就知道为什么m1更靠近两个天体的质心了。

合外力怎么求,牛顿第二定律合外力怎么求(物理高手必会二级结论——万有引力篇)

质心计算公式(不要求掌握)

但又有人要问了,为什么一定要围着质心转呢?

证明非常简单,只不过要用到大学的一些基本定律,在此简单提及,就不过分展开,学有余力的同学可以自己研究研究:

系统牛顿第二定律:

系统所受合外力等于各部分质量与各部分加速度乘积的矢量和。当系统内各物体的加速度相同时。则表达式为:F合=(m1+m2+…mn)a,这种情况往往以整个系统为研究对象,分析系统的合外力,求出共同的加速度。

动量守恒:

一个系统不受外力或所受外力之和为零,这个系统的总动量保持不变,这个结论叫做动量守恒定律。

有了质心这个知识,就可以秒杀一些求旋转中心的题目:如三星系统

合外力怎么求,牛顿第二定律合外力怎么求(物理高手必会二级结论——万有引力篇)

传统解法

传统解法是对每一个天体所受到的引力进行矢量合成,最后三个合力三线交于一点,就是旋转中心;而有了质心的知识,我们就可以直接求出整个系统的旋转中心了。

同时,由于双星受力是反向同线的,所以m1,m2,旋转中心点O永远都是三点共线,运动时可以将它想像成一个铁棍在绕自身某一点自转。

故,我们就可以得知:双星的角速度永远相同,设为 w

所以它们周期也相同,设为 T

以此作为突破口,不难推导:

合外力怎么求,牛顿第二定律合外力怎么求(物理高手必会二级结论——万有引力篇)

我们便得到重要的双星系统的周期二级公式:

合外力怎么求,牛顿第二定律合外力怎么求(物理高手必会二级结论——万有引力篇)

双星系统周期公式

变形一下,我们就得到 已知周期求总质量的质量公式,同样重要:

合外力怎么求,牛顿第二定律合外力怎么求(物理高手必会二级结论——万有引力篇)

双星系统质量公式

看到这两个公式,聪明的学生应该可以联想起我们之前提炼出过的两个二级公式,它们之间神似:

合外力怎么求,牛顿第二定律合外力怎么求(物理高手必会二级结论——万有引力篇)

单体周期公式

合外力怎么求,牛顿第二定律合外力怎么求(物理高手必会二级结论——万有引力篇)

单体质量公式

看过万有引力篇(二)的同学对它俩应该都不陌生,对于这四个神似的公式,我们可以建立一些对应关系,不知是否有眼尖的同学发现: M 对应 m1+m2;r 对应 L,这样的联系更加便于我们理解与记忆。

以上就是双星系统模型的系统性剖析和提炼出的二级结论公式,多多总结,多多积累,物理高分很容易,难的是满分。

本文关键词:合外力和外力之和,合外力等于什么,合外力怎么看,合外力力矩怎么求,合外力计算。这就是关于《合外力怎么求,牛顿第二定律合外力怎么求(物理高手必会二级结论——万有引力篇)》的所有内容,希望对您能有所帮助!

本文链接:https://bk.89qw.com/a-578838

最近发表
网站分类