手机版

百科生活 投稿

名义利率与实际利率的换算公式,名义利率与实际利率的换算公式是什么(工程经济学的公式)

百科 2026-02-10 14:28:14 投稿 阅读:2434次

关于【名义利率与实际利率的换算公式】,名义利率与实际利率的换算公式是什么,今天涌涌小编给您分享一下,如果对您有所帮助别忘了关注本站哦。

  • 内容导航:
  • 1、名义利率与实际利率的换算公式是什么
  • 2、工程经济学的公式

1、名义利率与实际利率的换算公式是什么

名义利率与实际利率的换算过程如下所示:实际利率=(1+名义利率)÷(1+通货膨胀率)-1。

在通货膨胀的情况下,市场的各种利率其实是名义利率。而实际利率一般不可以直接观察到。通常情况下,名义利率大于通货膨胀率,两者之差就是实际利率。

名义利率指的是央行或其它提供资金借贷的机构所公布的未调整通货膨胀因素的利率,也就是利息(报酬)的货币额与本金的货币额的比率。其实就是包括补偿通货膨胀(包括通货紧缩)风险的利率。名义利率虽然是资金提供者或使用者现金收取或支付的利率,但是应该考虑通货膨胀因素。

2、工程经济学的公式

公式第二章 1. 折旧的计算-直接上题 有一机器,原值10000元,残值为0,有效使用年限5年,求年折旧额. a. 直线折旧法

名义利率与实际利率的换算公式,名义利率与实际利率的换算公式是什么(工程经济学的公式)

编辑

添加图片注释,不超过 140 字(可选)

2.总成本TC=TVC(固定成本)+TFC(可变成本) 3. 边际成本曲线MC、平均成本曲线AC、平均变动成本曲线AVC、平均固定成本曲线AFC的形状

名义利率与实际利率的换算公式,名义利率与实际利率的换算公式是什么(工程经济学的公式)

编辑

添加图片注释,不超过 140 字(可选)

※ MC、AC、AVC、AFC关系

名义利率与实际利率的换算公式,名义利率与实际利率的换算公式是什么(工程经济学的公式)

编辑

添加图片注释,不超过 140 字(可选)

注意:边际成本曲线MC穿过平均总成本曲线AC、平均变动成本曲线AVC的最低点

4. 债务税后成本= (利息费用) X ( 1 - 所得税率)

5. NCF(净现金流量)=CI(现金流入量)-CO(现金流出量)

第三讲资金时间价值及等值计算

1. 单利

l In =P · n · i F = P(1+i • n)

式中,I表示利息总额,P表示本金现值,i表示利率,n表示计息期数,F代表本利和的未来值。

复利

lFn=P ·(1+ i)n I = P(1+i)n – P

l 存定期1年期,到期自动转存,就是复利

名义利率与实际利率的换算:换算:实际利率i,名义利率r,每年计息次数为m。

i=(1+r/m)m-1

m=1,名义利率=实际利率,m>1,实际利率>名义利率。

连续计息:设名义利率为r,每年计复利n次,当n →∞时,连续复利一次性支付计算公式为:

名义利率与实际利率的换算公式,名义利率与实际利率的换算公式是什么(工程经济学的公式)

编辑

添加图片注释,不超过 140 字(可选)

名义利率与实际利率的换算公式,名义利率与实际利率的换算公式是什么(工程经济学的公式)

编辑

添加图片注释,不超过 140 字(可选)

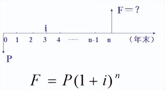
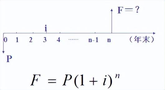
2.已知现值求终值:

是现值P与终值F的等值变换系数,称一次支付复利终值系数,一次支付终值系数,记为(F/P,i,n)

名义利率与实际利率的换算公式,名义利率与实际利率的换算公式是什么(工程经济学的公式)

编辑

添加图片注释,不超过 140 字(可选)

名义利率与实际利率的换算公式,名义利率与实际利率的换算公式是什么(工程经济学的公式)

编辑切换为居中

添加图片注释,不超过 140 字(可选)

名义利率与实际利率的换算公式,名义利率与实际利率的换算公式是什么(工程经济学的公式)

编辑

添加图片注释,不超过 140 字(可选)

名义利率与实际利率的换算公式,名义利率与实际利率的换算公式是什么(工程经济学的公式)

编辑

添加图片注释,不超过 140 字(可选)

名义利率与实际利率的换算公式,名义利率与实际利率的换算公式是什么(工程经济学的公式)

编辑切换为居中

添加图片注释,不超过 140 字(可选)

第四讲项目评价指标与方法

1.评价指标

经济性指标:

多少——累计收益,如NPV (Net Present Value);

多快——投资效率,如IRR (Internal Rate of Return);

风险性:

多久——投资回收期Tp或Tp*(Payback Period)

2.投资回收期

定义:所谓投资回收期是指用投资方案所产生的净现金流量(净收入减去净支出)来回收项目的初始投资所需的年限。

投资回收期的计算开始时间有两种:

一是从出现正现金流量的那年算起 (建设期不计);另一种是从投资开始时(0年)算起。

这里采用后一种计算方法

名义利率与实际利率的换算公式,名义利率与实际利率的换算公式是什么(工程经济学的公式)

编辑切换为居中

添加图片注释,不超过 140 字(可选)

名义利率与实际利率的换算公式,名义利率与实际利率的换算公式是什么(工程经济学的公式)

编辑切换为居中

添加图片注释,不超过 140 字(可选)

7. 年度等值(Annual Equivalent Value)

把项目方案寿命期内的净现金流量,以某个规定的利率i折算成等值的各年年末的等额系列,这个等额的数值称为年度等值。(净年值)

名义利率与实际利率的换算公式,名义利率与实际利率的换算公式是什么(工程经济学的公式)

编辑

添加图片注释,不超过 140 字(可选)

8.净现值的相关指标和等效指标

a.净现值率(NPVR)(同净现值指数NPVI)

考察单位投资的净现值效应式中PVI 是项目投资额的现值公式:

名义利率与实际利率的换算公式,名义利率与实际利率的换算公式是什么(工程经济学的公式)

添加图片注释,不超过 140 字(可选)

b.净年值(NAV):通过资金等值换算将项目净现值分摊在寿命期内

各年的净年值:

名义利率与实际利率的换算公式,名义利率与实际利率的换算公式是什么(工程经济学的公式)

编辑

添加图片注释,不超过 140 字(可选)

c.费用现值(PC):

名义利率与实际利率的换算公式,名义利率与实际利率的换算公式是什么(工程经济学的公式)

添加图片注释,不超过 140 字(可选)

参考方案产出相同,或者诸方案同样满足需要,但无法进行经济计量,可以通过费用现值与费用年值来比较。

d. 费用年值(AC)

名义利率与实际利率的换算公式,名义利率与实际利率的换算公式是什么(工程经济学的公式)

添加图片注释,不超过 140 字(可选)

9.内部收益率

定义:使项目净现值为0时的特殊折现率i*。也即项目现金流入量现值等于现金流出量现值时折现率。

名义利率与实际利率的换算公式,名义利率与实际利率的换算公式是什么(工程经济学的公式)

编辑

添加图片注释,不超过 140 字(可选)

判断准则: IRR≥ i0(资金的机会成本),项目可接受;IRR< i0,项目拒绝,不通过。

10. IRR的求解:计算IRR用试算插值法

名义利率与实际利率的换算公式,名义利率与实际利率的换算公式是什么(工程经济学的公式)

编辑

添加图片注释,不超过 140 字(可选)

NPV1=f(i1)>0 而NPV2=f(i2)<0 ,i2 -i1相差不超过2%~5%,也可用Excel,输入现金流值,直接求出IRR

IRR的经济含义:在项目的整个寿命期内,项目存在的未被回收的投资,始终按折现率i=IRR增值,在项目寿命期结束时,投资恰好完全回收

11.非常规项目内部收益率的检验

检验标准:在项目寿命期内,项目内部始终存在未收回的投资。即:能满足

名义利率与实际利率的换算公式,名义利率与实际利率的换算公式是什么(工程经济学的公式)

编辑

添加图片注释,不超过 140 字(可选)

满足上述两条件的i* 就是项目唯一的IRR,否则就不是项目的IRR,且这个项目也不再有其它具有经济意义的IRR。

12. 外部收益率:

对内部收益率的矫正,仍假定项目寿命期内,净未收回投资会再生钱, 同时假定净收益用于再投资,但收益率等于基准折现率(机会成本)

公式:

名义利率与实际利率的换算公式,名义利率与实际利率的换算公式是什么(工程经济学的公式)

编辑

添加图片注释,不超过 140 字(可选)

NBt为t年净收益(流入),Kt为第t年投资(流出)

解:唯一,易解,判别:ERRi0,接受,ERRi0,拒绝

第五讲项目的不确定性分析

1.盈亏平衡分析

销售收入(TR)、产品价格(P)与产品产量(Q)之间的关系

总成本(C)、固定成本(Cf)、单位产品变动成本(Cv)和产品产量(Q)之间的关系

n收入:P·Q 不确定性较大

n成本:Cf+CvQ

名义利率与实际利率的换算公式,名义利率与实际利率的换算公式是什么(工程经济学的公式)

编辑切换为居中

添加图片注释,不超过 140 字(可选)

名义利率与实际利率的换算公式,名义利率与实际利率的换算公式是什么(工程经济学的公式)

编辑切换为居中

添加图片注释,不超过 140 字(可选)

5. 方差系数

概率分布的标准差期望值比率.

它是相对风险的衡量标准.

CV = s / R

6. 项目净现值的概率描述

假定A、B、C是影响项目现金流的不确定因素,它们分别有lmn种可能出现的状态,且相互独立,则项目现金流有kl×m×n种可能的状态。

根据各种状态所对应的现金流,可计算出相应的净现值。

设在第j种状态下项目的净现值为NPV(j),第j种状态发生的概率为Pj , 则项目净现值的期望值与方差分别为:

名义利率与实际利率的换算公式,名义利率与实际利率的换算公式是什么(工程经济学的公式)

编辑

添加图片注释,不超过 140 字(可选)

第六讲多项目方案的比较与选择

1.净现值率排序法(NPVR)

定义:在计算各方案净现值率(净现值指数)的基础上,将净现值指数大于或等于零的方案按净现值指数大小排序,并依此次序选取项目方案,直至所选取方案的投资总额最大限度地接近或等于投资限额为止

净现值率(NPVR)

名义利率与实际利率的换算公式,名义利率与实际利率的换算公式是什么(工程经济学的公式)

添加图片注释,不超过 140 字(可选)

式中PVI 是项目投资现值(present value of Investment)

2. 增量分析评价指标:

差额投资回收期:又称追加投资回收期,用年成本的节约额逐年回收追加投资所需的年限。

名义利率与实际利率的换算公式,名义利率与实际利率的换算公式是什么(工程经济学的公式)

编辑

添加图片注释,不超过 140 字(可选)

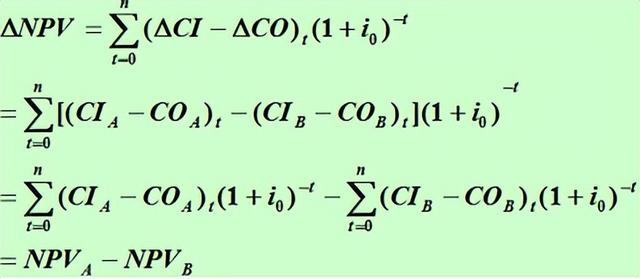
差额净现值(ΔNPV):定义:两方案的差额现金流,以基准收益率折现的净现值。

名义利率与实际利率的换算公式,名义利率与实际利率的换算公式是什么(工程经济学的公式)

编辑

添加图片注释,不超过 140 字(可选)

判断原则

名义利率与实际利率的换算公式,名义利率与实际利率的换算公式是什么(工程经济学的公式)

添加图片注释,不超过 140 字(可选)

即差额净现值判别法等价于净现值最大法

差额内部收益率(ΔIRR):定义:两个方案各年净现金流量差额的现值之和等于零时的折现率。其表达式为:

名义利率与实际利率的换算公式,名义利率与实际利率的换算公式是什么(工程经济学的公式)

编辑

添加图片注释,不超过 140 字(可选)

ΔIRR作为评价指标时的判别准则是:若ΔIRR>i0,投资大的方案为优;若ΔIRR<i0,投资小的方案为优。

3. 收益成本法:

收益成本法是指备选方案的收益与成本之比值,或效益现值总额与其费用现值总额之比,故又称为效益费用法。

计算公式为:

效益费用比=B/C,B——效益现值; C——费用现值;

或:净效益现值(B-C)=效益现值-费用现值

由于收益和成本的界定方法多种多样,故应遵守以下规则,以得到唯一之收益/成本比。(两步规则)

第一步,计算出各年的净现金流,如果大于零则定义为收益,如果小于零则为成本;

第二步,计算收益成本比,如果大于1,则证明备选方案是可行的。

名义利率与实际利率的换算公式,名义利率与实际利率的换算公式是什么(工程经济学的公式)

编辑

添加图片注释,不超过 140 字(可选)

4.互斥方案可比的条件判断

寿命期相等情况下:净现值最大的方案最优或者:内部收益率最大的方案最优

当两者矛盾时,进行增量投资经济性判断:△NPV>0,△IRR>i0

名义利率与实际利率的换算公式,名义利率与实际利率的换算公式是什么(工程经济学的公式)

编辑

添加图片注释,不超过 140 字(可选)

名义利率与实际利率的换算公式,名义利率与实际利率的换算公式是什么(工程经济学的公式)

编辑

添加图片注释,不超过 140 字(可选)

寿命期不等情况下:1、现值法:A、合理的方案续接或残值回收假定,B、最小公倍数法;

2、年值法(寿命期不等的评价)

名义利率与实际利率的换算公式,名义利率与实际利率的换算公式是什么(工程经济学的公式)

编辑

添加图片注释,不超过 140 字(可选)

第七讲设备更新的经济分析

1. 大修的经济界限

其经济性必须符合以下两条件:

(1)R≤P-L (最低经济条件)大修费≤重置价值-残值

(2)另外,若大修后设备效率质量下降,生产成本比同类产品高,因此还应满足下式

Cj(第j次大修后生产成本)≤C0(同功能新产品的生产成本)

2. 何时检修

维修系数为故障停机损失B(包括修理费用和停产损失)与日常检修费用A之比,即

1)等于或大于1.5时,设备需纳入检修计划

2)对小于1.5的设备实行事后维修或减少其维修活动(经验值)

名义利率与实际利率的换算公式,名义利率与实际利率的换算公式是什么(工程经济学的公式)

编辑切换为居中

添加图片注释,不超过 140 字(可选)

年购置成本分摊=(P-L)/ t

将两者加总求和,求导即得最小值

本文关键词:名义利率与实际利率的换算公式是什么,实际利率和名义利率的换算,什么是名义利率什么是实际利率两者如何换算,名义利率与实际利率的换算公式是什么意思,名义利率和实际利率的换算公式。这就是关于《名义利率与实际利率的换算公式,名义利率与实际利率的换算公式是什么(工程经济学的公式)》的所有内容,希望对您能有所帮助!

本文链接:https://bk.89qw.com/a-646417

最近发表
网站分类