手机版

百科生活 投稿

怎么理解tfmm,tfmm是什么意思(常用氧化剂——单过氧邻苯二甲酸)

百科 2025-10-22 15:35:48 投稿 阅读:7143次

关于【怎么理解tfmm】,tfmm是什么意思,今天小编给您分享一下,如果对您有所帮助别忘了关注本站哦。

  • 内容导航:
  • 1、怎么理解tfmm:tfmm是什么意思
  • 2、常用氧化剂——单过氧邻苯二甲酸

1、怎么理解tfmm:tfmm是什么意思

tfmm,意思是:图(t)很好(fine)但下一秒(m)就是我的(mine)了,常出现在评论区,表示对方发的图片很精彩,自己要收藏了。

2、常用氧化剂——单过氧邻苯二甲酸

单过氧邻苯二甲酸

反应机理下载链接:http://chem.kingdraw.cn/Shortlink?id=20220323145205

怎么理解tfmm,tfmm是什么意思(常用氧化剂——单过氧邻苯二甲酸)

【英文名称】 Monoperoxyphthalic Acid
【分子式】 C8H6O5
【分子量】 182.14
【CAS号】 2311-91-3
【缩写和别名】MPP
【物理性质】 mp 110-112 ℃ (分解),溶于醚,单过氧邻苯二甲酸镁盐缩写为MMPP,MMPP白色结晶粉末 (C16H22MgO16,分子量494.69,CAS号为84665-66-7),溶于水或低分子量的醇,在二氯甲烷等有机溶剂中溶剂度很小。
【制备和商品】 国际大型试剂公司有销售。在氢氧化纳或碳酸钠存在下,将邻苯二甲酸酐滴入到30%的过氧化氢生成MPP。将邻苯二甲酸酐和氧化镁加入过氧化氢水溶液则得到MMPP。
【注意事项】MMPP可以在室温下保存,须在通风橱中操作和使用。

该试剂是一种温和的过氧羧酸,能够有效地将双键氧化扩环。它们也广泛地在Baeyer-Villiger反应中使用, 还可以直接对氮、硫和硒等杂原子进行氧化。

在m-CPBA没有被发现之前,最常使用的过氧酸就是单过氧邻苯二甲酸(MPP),尽管MPP的酸性比m-CPBA弱,但是邻苯二甲酸基本上不溶于醚,这是MPP的一个优点。MPP的缺点就是它必须在使用前即时制备,而不同比例的m-CPBA水混合物属于商品试剂。尽管MMP已经不再像以往一样频繁使用,但是最近仍然有一些有用的工作发表。

怎么理解tfmm,tfmm是什么意思(常用氧化剂——单过氧邻苯二甲酸)

MMP也可用来制备S-氧化物, 例如:硫醚类化合物被MPP氧化成亚砜化合物。

怎么理解tfmm,tfmm是什么意思(常用氧化剂——单过氧邻苯二甲酸)

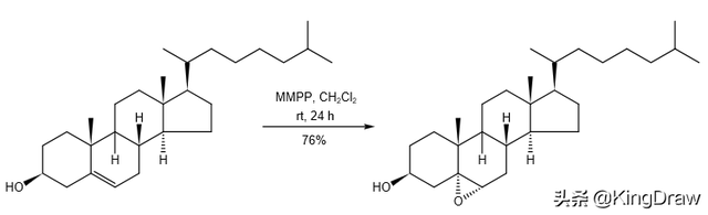
由于MMPP有商品出售,所以广泛用于不同种类的氧化反应,水或者低分子量的醇常用作溶剂。当底物不能溶于此类溶剂时,加入相转移试剂可以将单过氧邻苯二甲酸离子带入有机相。在没有相转移催化剂的情况下,胆固醇在二氯甲烷溶剂中也能有效地发生环氧化反应。

 怎么理解tfmm,tfmm是什么意思(常用氧化剂——单过氧邻苯二甲酸)

怎么理解tfmm,tfmm是什么意思(常用氧化剂——单过氧邻苯二甲酸)

如果有一个相邻的官能团能够影响和控制反应的立体化学过程, 则可以预计反应的非对映异构选择性。

怎么理解tfmm,tfmm是什么意思(常用氧化剂——单过氧邻苯二甲酸)

如下图所示:许多天然存在的3-甲基呋喃衍生物可以通过环氧化-芳构化关键步骤来进行合成,许多在2-位和5-位含有给电子取代基的呋喃衍生物可以与MMPP反应,生成脂肪族的二烯酮。

怎么理解tfmm,tfmm是什么意思(常用氧化剂——单过氧邻苯二甲酸)

酮的Baeyer-Villiger氧化反应发生的难易程度与离去基团共轭酸的强度有关。由于邻苯二甲酸不是很强的酸, 也就不难理解为什么MPP和MMPP不像TFPAA一样经常用于Baeyer-Villiger反应。环酮和MMPP反应, 能够高效地生成已内酯。在合成睾酮抗体的过程中起重要作用。

怎么理解tfmm,tfmm是什么意思(常用氧化剂——单过氧邻苯二甲酸)

MMPP可以把硫化物氧化为砜或者亚砜。在该反应中, 氧化成砜的步骤一般比第一步氧化成亚砜的反应要慢。所以, 控制过酸的量可以达到选择性氧化的目的。

怎么理解tfmm,tfmm是什么意思(常用氧化剂——单过氧邻苯二甲酸)

本文关键词:怎么理解TF M N,怎么理解道生一一生二二生三,怎么理解过去一百年党的伟大成就,怎么理解-(-2),怎么理解绿水青山就是金山银山。这就是关于《怎么理解tfmm,tfmm是什么意思(常用氧化剂——单过氧邻苯二甲酸)》的所有内容,希望对您能有所帮助!

本文链接:https://bk.89qw.com/a-654180/

最近发表
网站分类