手机版

百科生活 投稿

什么是幂函数,什么是幂函数的底数(幂函数的概念、图象和性质)

百科 2026-02-10 17:21:59 投稿 阅读:9041次

关于【什么是幂函数】,什么是幂函数的底数,今天小编给您分享一下,如果对您有所帮助别忘了关注本站哦。

  • 内容导航:
  • 1、什么是幂函数
  • 2、高中数学:幂函数的概念、图象和性质

1、什么是幂函数

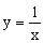
幂函数是基本初等函数之一。一般地,y=xα(α为有理数)的函数,即以底数为自变量,幂为因变量,指数为常数的函数称为幂函数。例如函数y=x0 、y=x1、y=x2、y=x-1(注:y=x-1=1/x、y=x0时x≠0)等都是幂函数。


幂函数的图像范围:

幂函数图像必须出现在第一象限而不是第四象限。它是否出现在第二和第三象限取决于函数的奇偶性。幂函数图像最多只能出现在两个象限中。如果幂函数图像与坐标轴相交,则交点必须是原点。


幂函数的性质:

1、当α>0时,幂函数y=xα有下列性质:图像都经过点(1,1)(0,0);函数的图像在区间[0,+∞)上是增函数;在第一象限内,α>1时,导数值逐渐增大;α=1时,导数为常数;0<α<1时,导数值逐渐减小,趋近于0。

2、当α<0时,幂函数y=xα有下列性质:图像都通过点(1,1);图像在区间(0,+∞)上是减函数;[内容补充:若为X-2,易得到其为偶函数。利用对称性,对称轴是y轴,可得其图像在区间(-∞,0)上单调递增。其余偶函数亦是如此],在第一象限内,有两条渐近线(即坐标轴),自变量趋近0,函数值趋近+∞,自变量趋近+∞,函数值趋近0。

2、高中数学:幂函数的概念、图象和性质

1、幂函数的概念

一般地,函数什么是幂函数,什么是幂函数的底数(幂函数的概念、图象和性质)叫做幂函数,其中是自变量,是常数;其定义域是使什么是幂函数,什么是幂函数的底数(幂函数的概念、图象和性质)有意义的值的集合。

例1、已知幂函数什么是幂函数,什么是幂函数的底数(幂函数的概念、图象和性质),且当什么是幂函数,什么是幂函数的底数(幂函数的概念、图象和性质)什么是幂函数,什么是幂函数的底数(幂函数的概念、图象和性质)为减函数。求幂函数的解析式。

分析:正确理解幂函数的概念、幂函数的图象与性质。求幂函数的解析式,一般用待定系数法,弄明白幂函数的定义是解题的关键。

解答:由于什么是幂函数,什么是幂函数的底数(幂函数的概念、图象和性质)为幂函数,

所以什么是幂函数,什么是幂函数的底数(幂函数的概念、图象和性质),解得什么是幂函数,什么是幂函数的底数(幂函数的概念、图象和性质),或什么是幂函数,什么是幂函数的底数(幂函数的概念、图象和性质)

当时,什么是幂函数,什么是幂函数的底数(幂函数的概念、图象和性质)什么是幂函数,什么是幂函数的底数(幂函数的概念、图象和性质)在上为减函数;

当时,什么是幂函数,什么是幂函数的底数(幂函数的概念、图象和性质)什么是幂函数,什么是幂函数的底数(幂函数的概念、图象和性质)在上为常函数,不合题意,舍去。

故所求幂函数什么是幂函数,什么是幂函数的底数(幂函数的概念、图象和性质)的解析式为什么是幂函数,什么是幂函数的底数(幂函数的概念、图象和性质)

2、幂函数的图象和性质

图象:

什么是幂函数,什么是幂函数的底数(幂函数的概念、图象和性质)

性质:

(1)所有的幂函数在上都有定义,并且图象都过点;

(2)如果什么是幂函数,什么是幂函数的底数(幂函数的概念、图象和性质),则幂函数的图象过点什么是幂函数,什么是幂函数的底数(幂函数的概念、图象和性质)和,并且在区间什么是幂函数,什么是幂函数的底数(幂函数的概念、图象和性质)上是增函数;

(3)如果什么是幂函数,什么是幂函数的底数(幂函数的概念、图象和性质),则幂函数的图象过点,并在区间上是减函数。在第一象限内,当从什么是幂函数,什么是幂函数的底数(幂函数的概念、图象和性质)趋向于原点时,图象在什么是幂函数,什么是幂函数的底数(幂函数的概念、图象和性质)轴右方无限地逼近轴,当趋于时,图象在轴上方无限地逼近轴;

(4)当为奇数时,幂函数为奇函数;当为偶数时,幂函数为偶函数。

例2、比较什么是幂函数,什么是幂函数的底数(幂函数的概念、图象和性质),,什么是幂函数,什么是幂函数的底数(幂函数的概念、图象和性质)的大小。

分析:先利用幂函数什么是幂函数,什么是幂函数的底数(幂函数的概念、图象和性质)的增减性比较与的大小,再根据幂函数的图象比较与的大小。

解答:什么是幂函数,什么是幂函数的底数(幂函数的概念、图象和性质)什么是幂函数,什么是幂函数的底数(幂函数的概念、图象和性质)

而在上单调递增,且

什么是幂函数,什么是幂函数的底数(幂函数的概念、图象和性质)

什么是幂函数,什么是幂函数的底数(幂函数的概念、图象和性质)。故什么是幂函数,什么是幂函数的底数(幂函数的概念、图象和性质)

例3、若函数什么是幂函数,什么是幂函数的底数(幂函数的概念、图象和性质)在区间什么是幂函数,什么是幂函数的底数(幂函数的概念、图象和性质)上是递减函数,求实数m的取值范围。

分析:本题考查简单幂函数的性质以及函数图象的平移问题。

函数什么是幂函数,什么是幂函数的底数(幂函数的概念、图象和性质)是一个比较常用的幂函数,它也叫做反比例函数,其定义域是什么是幂函数,什么是幂函数的底数(幂函数的概念、图象和性质),是一个奇函数,对称中心为(0,0),在什么是幂函数,什么是幂函数的底数(幂函数的概念、图象和性质)和上都是递减函数。一般地,形如什么是幂函数,什么是幂函数的底数(幂函数的概念、图象和性质)的函数都可以通过对什么是幂函数,什么是幂函数的底数(幂函数的概念、图象和性质)的图象进行变换而得到,所以这些函数的性质都可以借助的性质来得到。

解答:由于

什么是幂函数,什么是幂函数的底数(幂函数的概念、图象和性质)

,所以函数的图象是由幂函数

什么是幂函数,什么是幂函数的底数(幂函数的概念、图象和性质)

的图象先向右平移2个单位,再向上平移3个单位得到的,所以其图象如图所示。

什么是幂函数,什么是幂函数的底数(幂函数的概念、图象和性质)

其单调递减区间是什么是幂函数,什么是幂函数的底数(幂函数的概念、图象和性质)什么是幂函数,什么是幂函数的底数(幂函数的概念、图象和性质),而函数在区间什么是幂函数,什么是幂函数的底数(幂函数的概念、图象和性质)上是递减函数,所以应有什么是幂函数,什么是幂函数的底数(幂函数的概念、图象和性质)

例4、若点什么是幂函数,什么是幂函数的底数(幂函数的概念、图象和性质)在幂函数什么是幂函数,什么是幂函数的底数(幂函数的概念、图象和性质)的图象上,点什么是幂函数,什么是幂函数的底数(幂函数的概念、图象和性质)在幂函数什么是幂函数,什么是幂函数的底数(幂函数的概念、图象和性质)的图象上,定义什么是幂函数,什么是幂函数的底数(幂函数的概念、图象和性质),试求函数什么是幂函数,什么是幂函数的底数(幂函数的概念、图象和性质)的最大值及其单调区间。

分析:首先根据幂函数的定义求出什么是幂函数,什么是幂函数的底数(幂函数的概念、图象和性质),然后在同一坐标系下画出函数和的图象,得出什么是幂函数,什么是幂函数的底数(幂函数的概念、图象和性质)的函数图象,最后根据图象求出最大值和单调区间。

解答:设什么是幂函数,什么是幂函数的底数(幂函数的概念、图象和性质),因为点在的图象上,所以什么是幂函数,什么是幂函数的底数(幂函数的概念、图象和性质),所以什么是幂函数,什么是幂函数的底数(幂函数的概念、图象和性质),即;

又设什么是幂函数,什么是幂函数的底数(幂函数的概念、图象和性质),点在的图象上,所以什么是幂函数,什么是幂函数的底数(幂函数的概念、图象和性质),所以什么是幂函数,什么是幂函数的底数(幂函数的概念、图象和性质),即什么是幂函数,什么是幂函数的底数(幂函数的概念、图象和性质)

在同一坐标系下画出函数和的图象,如图所示,则有

什么是幂函数,什么是幂函数的底数(幂函数的概念、图象和性质)

什么是幂函数,什么是幂函数的底数(幂函数的概念、图象和性质)

根据图象可知函数的最大值等于什么是幂函数,什么是幂函数的底数(幂函数的概念、图象和性质),其单调递增区间是(什么是幂函数,什么是幂函数的底数(幂函数的概念、图象和性质),-1)和(0,1);单调递减区间是什么是幂函数,什么是幂函数的底数(幂函数的概念、图象和性质)什么是幂函数,什么是幂函数的底数(幂函数的概念、图象和性质)

例5、已知幂函数什么是幂函数,什么是幂函数的底数(幂函数的概念、图象和性质)什么是幂函数,什么是幂函数的底数(幂函数的概念、图象和性质)是偶函数,且在上是减函数,求函数的解析式,并讨论什么是幂函数,什么是幂函数的底数(幂函数的概念、图象和性质)的奇偶性。

分析:先根据单调性求出m的取值范围,再由奇偶性进一步确定m的取值。讨论什么是幂函数,什么是幂函数的底数(幂函数的概念、图象和性质)的奇偶性时要注意对字母的讨论。

解答:由在上是减函数得什么是幂函数,什么是幂函数的底数(幂函数的概念、图象和性质)什么是幂函数,什么是幂函数的底数(幂函数的概念、图象和性质)。∵什么是幂函数,什么是幂函数的底数(幂函数的概念、图象和性质)什么是幂函数,什么是幂函数的底数(幂函数的概念、图象和性质)0,1。

又因为是偶函数,∴只有当什么是幂函数,什么是幂函数的底数(幂函数的概念、图象和性质)时符合题意,故什么是幂函数,什么是幂函数的底数(幂函数的概念、图象和性质)

于是

什么是幂函数,什么是幂函数的底数(幂函数的概念、图象和性质)

什么是幂函数,什么是幂函数的底数(幂函数的概念、图象和性质)

什么是幂函数,什么是幂函数的底数(幂函数的概念、图象和性质)什么是幂函数,什么是幂函数的底数(幂函数的概念、图象和性质)时,为非奇非偶函数;

什么是幂函数,什么是幂函数的底数(幂函数的概念、图象和性质)且时,为奇函数;

当且什么是幂函数,什么是幂函数的底数(幂函数的概念、图象和性质)时,为偶函数;

当且时,为既奇又偶函数。

例6、已知幂函数什么是幂函数,什么是幂函数的底数(幂函数的概念、图象和性质)什么是幂函数,什么是幂函数的底数(幂函数的概念、图象和性质)上是增函数,且在定义域上是偶函数。

(1)求的值,并写出相应的函数的解析式;

(2)对于(1)中求得的函数,设函数什么是幂函数,什么是幂函数的底数(幂函数的概念、图象和性质)。问是否存在实数什么是幂函数,什么是幂函数的底数(幂函数的概念、图象和性质),使得函数在区间上是减函数,且在区间上是增函数?若存在,请求出什么是幂函数,什么是幂函数的底数(幂函数的概念、图象和性质)的值;若不存在,请说明理由。

分析:第一问先根据单调性求出的取值范围,再由奇偶性进一步确定的取值。第二问可根据复合函数单调性的规律来解。

解答:(1)∵幂函数什么是幂函数,什么是幂函数的底数(幂函数的概念、图象和性质)在上是增函数,∴什么是幂函数,什么是幂函数的底数(幂函数的概念、图象和性质)什么是幂函数,什么是幂函数的底数(幂函数的概念、图象和性质)

什么是幂函数,什么是幂函数的底数(幂函数的概念、图象和性质),∴什么是幂函数,什么是幂函数的底数(幂函数的概念、图象和性质)

∵在定义域上是偶函数,∴只有当什么是幂函数,什么是幂函数的底数(幂函数的概念、图象和性质)时符合题意,故。

(2)由,则什么是幂函数,什么是幂函数的底数(幂函数的概念、图象和性质)

假设存在实数,使得满足题设条件。令什么是幂函数,什么是幂函数的底数(幂函数的概念、图象和性质),则什么是幂函数,什么是幂函数的底数(幂函数的概念、图象和性质)

∵在上是减函数,∴当什么是幂函数,什么是幂函数的底数(幂函数的概念、图象和性质)时,什么是幂函数,什么是幂函数的底数(幂函数的概念、图象和性质);当什么是幂函数,什么是幂函数的底数(幂函数的概念、图象和性质)时,什么是幂函数,什么是幂函数的底数(幂函数的概念、图象和性质)

若在区间上是减函数,且在区间上是增函数,则什么是幂函数,什么是幂函数的底数(幂函数的概念、图象和性质)什么是幂函数,什么是幂函数的底数(幂函数的概念、图象和性质)上是减函数,且在什么是幂函数,什么是幂函数的底数(幂函数的概念、图象和性质)上是增函数,此时二次函数的对称轴方程是什么是幂函数,什么是幂函数的底数(幂函数的概念、图象和性质)什么是幂函数,什么是幂函数的底数(幂函数的概念、图象和性质)

什么是幂函数,什么是幂函数的底数(幂函数的概念、图象和性质)

故存在实数,使得函数在区间上是减函数,且在区间上是增函数。

本文关键词:什么是幂函数的底数,什么是幂函数形式主部,什么是幂函数,什么是幂函数指数函数对数函数,什么是幂函数有哪些特征。这就是关于《什么是幂函数,什么是幂函数的底数(幂函数的概念、图象和性质)》的所有内容,希望对您能有所帮助!

本文链接:https://bk.89qw.com/a-654317

最近发表
网站分类