百科生活 投稿
关于【0.999999999循环等于1吗】,0.999999999循环等于1吗小学,今天小编给您分享一下,如果对您有所帮助别忘了关注本站哦。
- 内容导航:
- 1、JavaScript 浮点数陷阱0.1+0.2 != 0.3及解法
- 2、0.999999999循环等于1吗
1、JavaScript 浮点数陷阱0.1+0.2 != 0.3及解法
众所周知,JavaScript 浮点数运算时经常遇到会 0.000000001 和 0.999999999 这样奇怪的结果,如 0.1+0.2=0.30000000000000004、1-0.9=0.09999999999999998,很多人知道这是浮点数误差问题,但具体就说不清楚了。本文帮你理清这背后的原理以及解决方案,还会向你解释JS中的大数危机和四则运算中会遇到的坑。
浮点数的存储
首先要搞清楚 JavaScript 如何存储小数。和其它语言如 Java 和 Python 不同,JavaScript 中所有数字包括整数和小数都只有一种类型 — Number。它的实现遵循 IEEE 754 标准,使用 64 位固定长度来表示,也就是标准的 double 双精度浮点数(相关的还有float 32位单精度)。计算机组成原理中有过详细介绍,如果你不记得也没关系。
这样的存储结构优点是可以归一化处理整数和小数,节省存储空间。
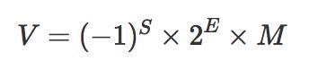
64位比特又可分为三个部分:
- 符号位S:第 1 位是正负数符号位(sign),0代表正数,1代表负数
- 指数位E:中间的 11 位存储指数(exponent),用来表示次方数
- 尾数位M:最后的 52 位是尾数(mantissa),超出的部分自动进一舍零
实际数字就可以用以下公式来计算:

注意以上的公式遵循科学计数法的规范,在十进制是为0 最终的公式变成: 所以 4.5 最终表示为(M=001、E=1025): 下面再以 0.1 例解释浮点误差的原因, 0.1 转成二进制表示为 0.0001100110011001100(1100循环),1.100110011001100x2^-4,所以 E=-4+1023=1019;M 舍去首位的1,得到 100110011...。最终就是: 转化成十进制后为2^(-4)+2^(-7)+2^(-8)+ ... =0.100000000000000005551115123126,因此就出现了浮点误差。 为什么 0.1+0.2=0.30000000000000004? 计算步骤为: // 0.1 和 0.2 都转化成二进制后再进行运算0.00011001100110011001100110011001100110011001100110011010 +0.0011001100110011001100110011001100110011001100110011010 =0.0100110011001100110011001100110011001100110011001100111// 转成十进制正好是 0.30000000000000004 为什么 x=0.1 能得到 0.1? 恭喜你到了看山不是山的境界。因为 mantissa 固定长度是 52 位,再加上省略的一位,最多可以表示的数是 2^53=9007199254740992,对应科学计数尾数是 9.007199254740992,这也是 JS 最多能表示的精度。它的长度是 16,所以可以使用 toPrecision(16) 来做精度运算,超过的精度会自动做凑整处理。于是就有: 0.10000000000000000555.toPrecision(16)// 返回 0.1000000000000000,去掉末尾的零后正好为 0.1// 但你看到的 `0.1` 实际上并不是 `0.1`。不信你可用更高的精度试试:0.1.toPrecision(17) = 0.100000000000000010.1.toPrecision(21) = 0.100000000000000005551 大数危机 可能你已经隐约感觉到了,如果整数大于 9007199254740992 会出现什么情况呢? 由于 E 最大值是 1023,所以最大可以表示的整数是 2^1024 - 1,这就是能表示的最大整数。但你并不能这样计算这个数字,因为从 2^1024 开始就变成了 Infinity > Math.pow(2, 1023)8.98846567431158e+307> Math.pow(2, 1024)Infinity 那么对于 (2^53, 2^63) 之间的数会出现什么情况呢? ... 依次跳过更多2的倍数 下面这张图能很好的表示 JavaScript 中浮点数和实数(Real Number)之间的对应关系。我们常用的 (-2^53, 2^53) 只是最中间非常小的一部分,越往两边越稀疏越不精确。 在淘宝早期的订单系统中把订单号当作数字处理,后来随意订单号暴增,已经超过了 9007199254740992,最终的解法是把订单号改成字符串处理。 要想解决大数的问题你可以引用第三方库 bignumber.js,原理是把所有数字当作字符串,重新实现了计算逻辑,缺点是性能比原生的差很多。所以原生支持大数就很有必要了,现在 TC39 已经有一个 Stage 3 的提案 proposal bigint,大数问题有望彻底解决。在浏览器正式支持前,可以使用 Babel 7.0 来实现,它的内部是自动转换成 big-integer 来计算,要注意的是这样能保持精度但运算效率会降低。 toPrecision vs toFixed 数据处理时,这两个函数很容易混淆。它们的共同点是把数字转成字符串供展示使用。 注意在计算的中间过程不要使用,只用于最终结果。 不同点就需要注意一下: 两者都能对多余数字做凑整处理,也有些人用 toFixed 来做四舍五入,但一定要知道它是有 Bug 的。 如:1.005.toFixed(2) 返回的是 1.00 而不是 1.01。 原因: 1.005 实际对应的数字是 1.00499999999999989,在四舍五入时全部被舍去! 回到最关心的问题:如何解决浮点误差。首先,理论上用有限的空间来存储无限的小数是不可能保证精确的,但我们可以处理一下得到我们期望的结果。 数据展示类 当你拿到 1.4000000000000001 这样的数据要展示时,建议使用 toPrecision 凑整并 parseFloat 转成数字后再显示,如下: parseFloat(1.4000000000000001.toPrecision(12)) === 1.4 // True 封装成方法就是: function strip(num, precision = 12) { return +parseFloat(num.toPrecision(precision));} 为什么选择 12 做为默认精度?这是一个经验的选择,一般选12就能解决掉大部分0001和0009问题,而且大部分情况下也够用了,如果你需要更精确可以调高。 数据运算类 对于运算类操作,如 +-*/,就不能使用 toPrecision 了。正确的做法是把小数转成整数后再运算。以加法为例: function add(num1, num2) { const num1Digits = (num1.toString().split('.')[1] || '').length; const num2Digits = (num2.toString().split('.')[1] || '').length; const baseNum = Math.pow(10, Math.max(num1Digits, num2Digits)); return (num1 * baseNum + num2 * baseNum) / baseNum;} 以上方法能适用于大部分场景。遇到科学计数法如 2.3e+1(当数字精度大于21时,数字会强制转为科学计数法形式显示)时还需要特别处理一下。 number-precision(github 上可以搜索) 完美支持浮点数的加减乘除、四舍五入等运算。非常小只有1K,远小于绝大多数同类库(如Math.js、BigDecimal.js),100%测试全覆盖,代码可读性强,不妨在你的应用里用起来! 等于 在数学的完备实数系中,循环小数0.999…表示一个等於1的实数,即0.999…所表示的数与1相同。目前该等式已经有各式各样的证明式;它们各有不同的严谨性、背景假设,且都蕴含实数的实质条件,即阿基米德公理、历史文脉、以及目标受众。 无限循环小数 0.999... 与 1 严格相等。 很多网友会通过一些初等的方法来理解这个事实,下面举出三种有代表性的初等思路:思路一: 设 a=0.999... 则 10a=9.999... 于是 9a=10a-a=9.999...-0.999...=9, 因此 a=1. 思路二: 由于 1/3=0.333..., 所以 1=(1/3)×3=0.333...×3=0.999... 思路三: 0.999...可以看成首项为 0.9, 公比为 0.1 的等比数列 的所有项之和. 根据等比数列的求和公式, 但是,需要强调的是,以上三种思路可以用来直观理解,但不能把它们当成“1=0.999...”的严格证明。原因是,“0.999...”这样的无限小数的严格表示是超出了初等数学的范围的,不能想当然地对“0.999...”这样的无限小数做普通的加减乘除运算,所以上面三种初等思路只能算“投机取巧”的“初等理解”,而不能叫做“严格证明”。 要给出 1=0.999... 这个事实的严格证明,需要理解从有理数构造实数的办法,这个构造过程将使我们更加深刻地认识无理数,而不是仅仅停留在"无限不循环小数"的直观层面上。 在过去数十年裡,许多数学教育的研究人员研究了大众及学生们对该等式的接受程度,许多学生在学习开始时怀疑或拒绝该等式,而后许多学生被老师、教科书和如下章节的算术推论说服接受两者是相等的,尽管如此,许多人们仍常感到怀疑,而提出进一步的辩解,这经常是由于存在不少对数学实数错误的观念等的背后因素,例如认为每一个实数都有唯一的一个小数展开式,以及认為无限小(无穷小)不等于0,并且将0.999…视为一个不定值,即该值只是一直不断无限的微微扩张变大,因此与1的差永远是无限小而不是零,因此「永远都差一点」。我们可以构造出符合这些直观的数系,但是只能在用於初等数学或多数更高等数学中的标准实数系统之外进行,的确,某些设计含有「恰恰小於1」的数,不过,这些数一般与0.999…无关(因为与之相关的理论上和实践上都皆无实质用途),但在数学分析中引起了相当大的关注。 声明:本篇经验系「www.coozhi.com」原创,转载请注明出处。 本文关键词:0.999999999循环等于1吗知乎,世界上最难的数学题,0.999999999循环等于1吗 百度百科,0.999999999循环等于1吗李永乐,0.999999999循环等于1吗证明。这就是关于《0.999999999循环等于1吗,0.999999999循环等于1吗小学(浮点数陷阱0.1+0.2)》的所有内容,希望对您能有所帮助!



解决方案
2、0.999999999循环等于1吗
- 最近发表