手机版

百科生活 投稿

数列求和的基本方法,数列求和的三种方法(高考数列求和的15种考法)

百科 2026-02-19 00:49:53 投稿 阅读:3782次

关于【数列求和的基本方法】,数列求和的三种方法,今天小编给您分享一下,如果对您有所帮助别忘了关注本站哦。

  • 内容导航:
  • 1、数列求和的基本方法
  • 2、高考数列求和的15种考法

1、数列求和的基本方法

数列求和是按照一定规律排列的数进行求和。求Sn实质上是求{Sn}的通项公式,应注意对其含义的理解。以下便是几种数列求和的方法。

操作方法

差比数列求和法。运用此公式从而求出数列。
a:等差数列首项
d:等差数列公差
e:等比数列首项
q:等比数列公比

错位相减法。适用于通项公式为等差的一次函数乘以等比的数列形式(等差等比数列相乘)
{ an }、{ bn }分别是等差数列和等比数列.

等比数列求和公式,等差数列求和公式。运用公式套入题目。从而得到结果。

倒序相加法。这是推导等差数列的前n项和公式时所用的方法,就是将一个数列倒过来排列(反序),再把它与原数列相加,就可以得到n个(a1+an)

特别提示

以上为几种简单的数列求和方法。需加以实际数学题目进行实际运用。

2、高考数列求和的15种考法

【题型一】 求和思维基础:由sn求an的关系

【题型二】 错位相消法三种思维求法

【题型三】 分组求和法

【题型四】 求和难点1:裂项相消基础思维

【题型五】 求和难点2:形如函数型裂项相消

【题型六】 求和难点3:指数型裂项相消

【题型七】 求和难点4:指数等差型裂项相消

【题型八】 求和难点5:奇偶正负型裂项相消

【题型九】 求和难点6:裂项为“和”型以相消

【题型十】 求和难点7:指数型裂项为“和”以相消

【题型十一】求和难点8:无理根式型裂项

【题型十二】 求和难点9:三项积式裂项相消

【题型十三】 求和难点10:先放缩后裂项

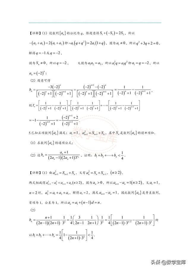
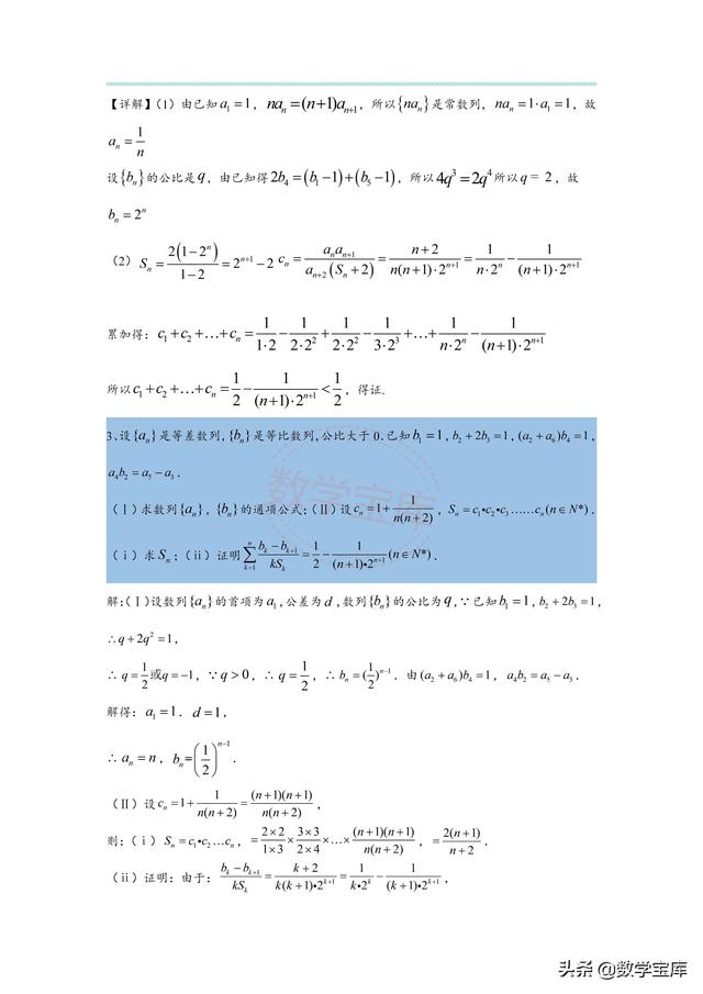
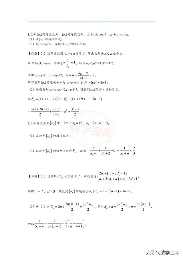
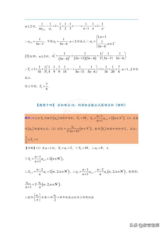
【题型十四】 求和难点11:利用组合数公式裂项求和(理科)

【题型十五】 求和难点12:分段数列求和

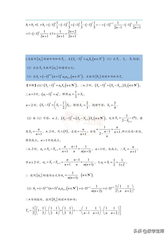
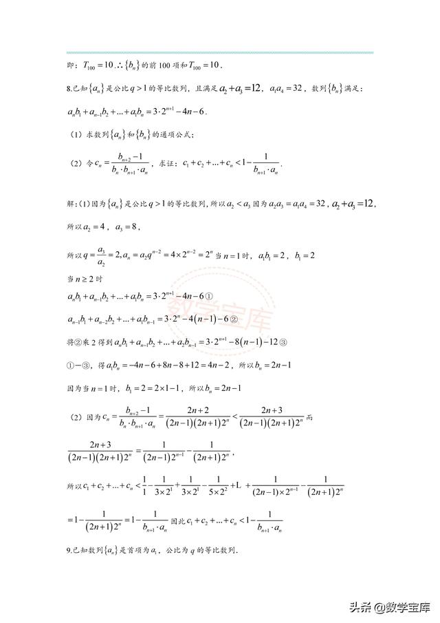
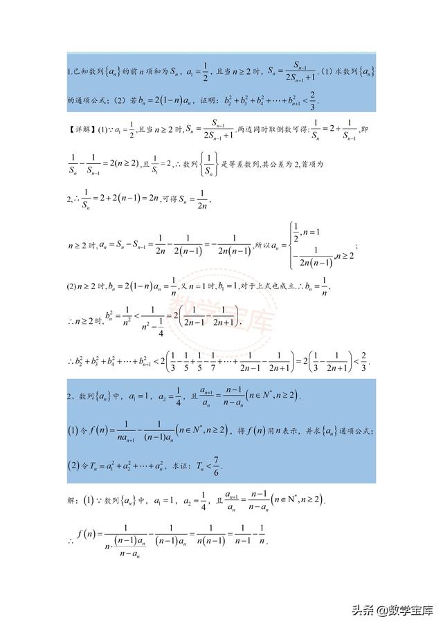
数列求和的基本方法,数列求和的三种方法(高考数列求和的15种考法)

数列求和的基本方法,数列求和的三种方法(高考数列求和的15种考法)

数列求和的基本方法,数列求和的三种方法(高考数列求和的15种考法)

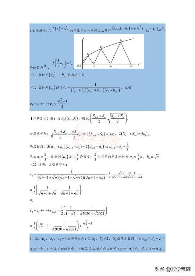
数列求和的基本方法,数列求和的三种方法(高考数列求和的15种考法)

数列求和的基本方法,数列求和的三种方法(高考数列求和的15种考法)

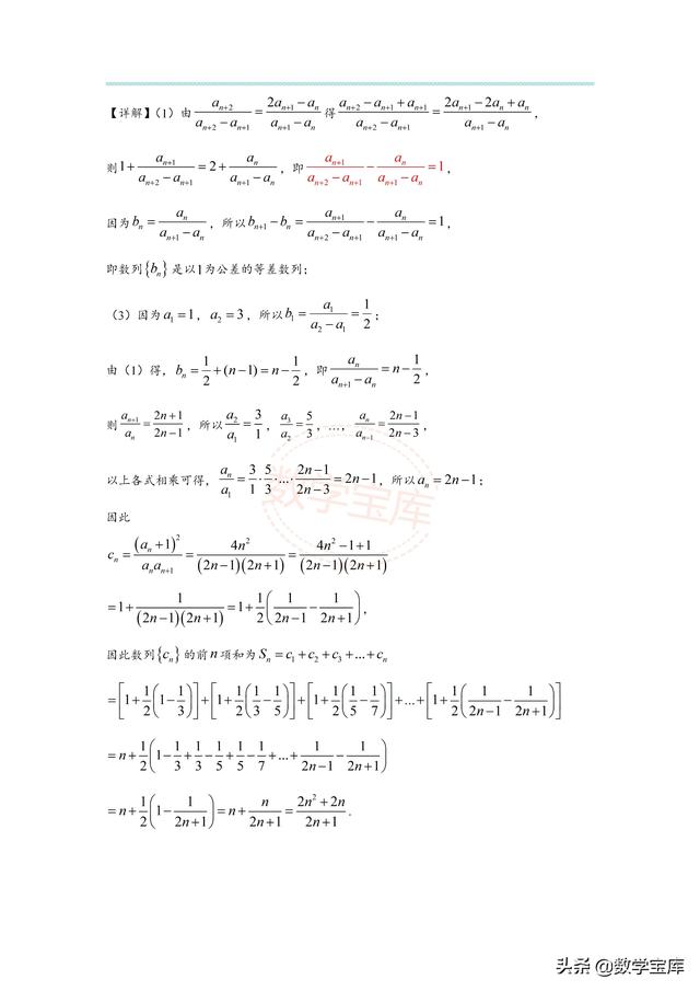
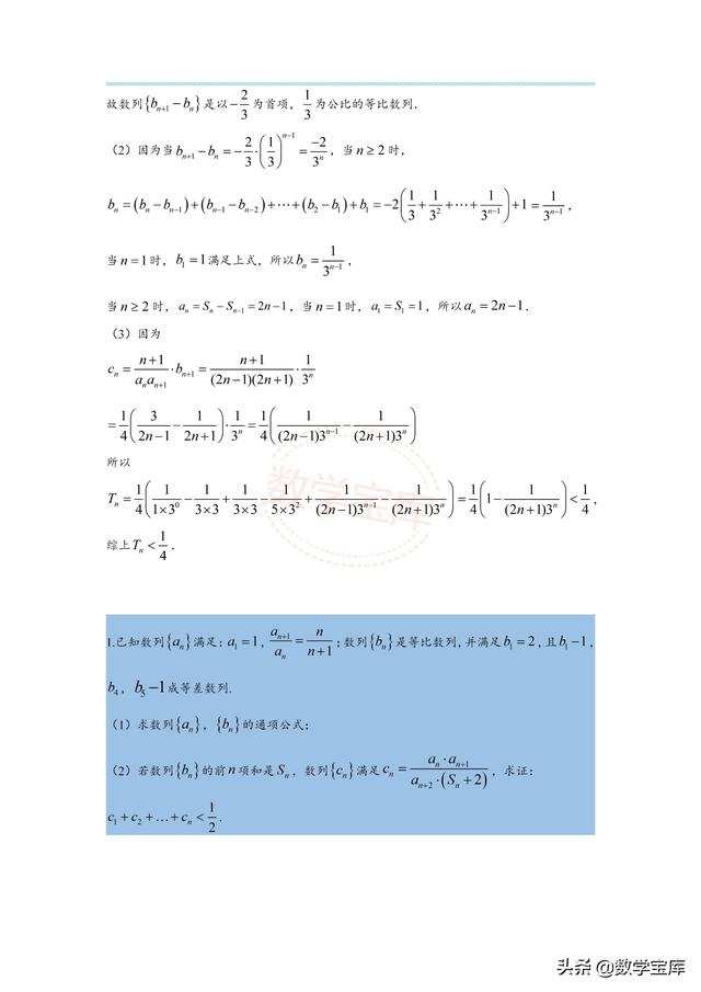
数列求和的基本方法,数列求和的三种方法(高考数列求和的15种考法)

数列求和的基本方法,数列求和的三种方法(高考数列求和的15种考法)

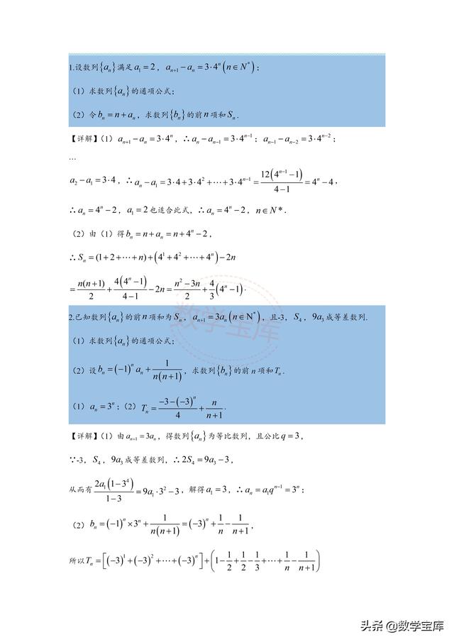
数列求和的基本方法,数列求和的三种方法(高考数列求和的15种考法)

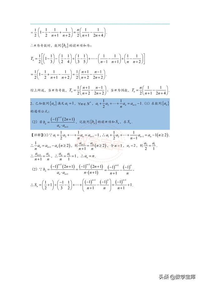
数列求和的基本方法,数列求和的三种方法(高考数列求和的15种考法)

数列求和的基本方法,数列求和的三种方法(高考数列求和的15种考法)

数列求和的基本方法,数列求和的三种方法(高考数列求和的15种考法)

数列求和的基本方法,数列求和的三种方法(高考数列求和的15种考法)

数列求和的基本方法,数列求和的三种方法(高考数列求和的15种考法)

数列求和的基本方法,数列求和的三种方法(高考数列求和的15种考法)

数列求和的基本方法,数列求和的三种方法(高考数列求和的15种考法)

数列求和的基本方法,数列求和的三种方法(高考数列求和的15种考法)

数列求和的基本方法,数列求和的三种方法(高考数列求和的15种考法)

数列求和的基本方法,数列求和的三种方法(高考数列求和的15种考法)

数列求和的基本方法,数列求和的三种方法(高考数列求和的15种考法)

数列求和的基本方法,数列求和的三种方法(高考数列求和的15种考法)

数列求和的基本方法,数列求和的三种方法(高考数列求和的15种考法)

数列求和的基本方法,数列求和的三种方法(高考数列求和的15种考法)

数列求和的基本方法,数列求和的三种方法(高考数列求和的15种考法)

数列求和的基本方法,数列求和的三种方法(高考数列求和的15种考法)

数列求和的基本方法,数列求和的三种方法(高考数列求和的15种考法)

数列求和的基本方法,数列求和的三种方法(高考数列求和的15种考法)

数列求和的基本方法,数列求和的三种方法(高考数列求和的15种考法)

数列求和的基本方法,数列求和的三种方法(高考数列求和的15种考法)

数列求和的基本方法,数列求和的三种方法(高考数列求和的15种考法)

数列求和的基本方法,数列求和的三种方法(高考数列求和的15种考法)

数列求和的基本方法,数列求和的三种方法(高考数列求和的15种考法)

数列求和的基本方法,数列求和的三种方法(高考数列求和的15种考法)

数列求和的基本方法,数列求和的三种方法(高考数列求和的15种考法)

数列求和的基本方法,数列求和的三种方法(高考数列求和的15种考法)

数列求和的基本方法,数列求和的三种方法(高考数列求和的15种考法)

数列求和的基本方法,数列求和的三种方法(高考数列求和的15种考法)

数列求和的基本方法,数列求和的三种方法(高考数列求和的15种考法)

数列求和的基本方法,数列求和的三种方法(高考数列求和的15种考法)

数列求和的基本方法,数列求和的三种方法(高考数列求和的15种考法)

数列求和的基本方法,数列求和的三种方法(高考数列求和的15种考法)

本文关键词:数列求和的基本方法是什么,数列求和的基本方法有哪些,数列求和的三种方法,几种数列求和的常用方法讲解,数列求和的万能公式。这就是关于《数列求和的基本方法,数列求和的三种方法(高考数列求和的15种考法)》的所有内容,希望对您能有所帮助!

本文链接:https://bk.89qw.com/a-698127

最近发表
网站分类