手机版

百科生活 投稿

扫描图片怎么转换成pdf,如何将扫描的图片转换成PDF文件(常用数学运算和符号的英文读法)

百科 2026-02-05 00:54:10 投稿 阅读:1301次

关于【扫描图片怎么转换成pdf】,如何将扫描的图片转换成PDF文件,今天小编给您分享一下,如果对您有所帮助别忘了关注本站哦。

  • 内容导航:
  • 1、扫描图片怎么转换成pdf:如何将扫描的图片转换成PDF文件
  • 2、常用数学运算和符号的英文读法

1、扫描图片怎么转换成pdf:如何将扫描的图片转换成PDF文件

工具/材料

Word软件

操作方法

首先,请大家在电脑桌面上击右键,选择“新建-Microsoft Word”文件。

接下来,点击页面上方的开始菜单项目“插入-图片”选项。

接下来,选择扫描之后的图片文件插入到Word文档中。

接下来,点击软件主页面中的“开始-另存为”选项,并选择文件存储位置。

接下来,在文件的下拉菜单中,选择文件存储格式为PDF文件,并点击“确定”按钮保存文件。

等待PDF文件的自动生成,然后在我们选择的文件存储位置可以看到该文件已经生成了,双击打开即可查看。

2、常用数学运算和符号的英文读法

关于常用的数学运算和符号的英文读法,其实很早之前我就想整理一下。不过做这个整理比较花时间,尤其考虑到数学中的标记符号特别多且繁杂,而且数学这么大一门学科包含的内容也很多,从最基本的加减乘除到高等数学中的微积分范围特别大。不过这两天我终于下决心把这一篇想整理的内容梳理了一下,一整理出头绪呢,感觉好了些,没那么吓人。然后我从数学中最基本的加减乘除运算开始,把内容分成了六大部分:(1)基本数学运算(包括加减乘除乘方开方),(2)基本计数方法(整数、小数、分数和科学计数法),(3)基本数学符号,(4)数学符号进阶,(5)常用数学标记和(6)数学运算进阶。基本上是从最简单到复杂。

对于很多直接出国读本科或是研究生的学生来说,由于没有经历过英文环境下的小学和中学教育,可能一开始上数学课或是其它的专业课,很多的数学符号、表达式、公式从教授的嘴里蹦出来都听不懂。虽然拿着专业课本我们能看懂里面的公式、符号,因为毕竟数学也算是一门语言,但是我们却开口讲不出来怎样描述这些数学符号和公式。而且很多的书面上的用词跟老师嘴里讲出来的是不一样的,也就是英语口语中的数学跟书面上的数学语言有很大差别。我整理的这篇内容从最基本的加减乘除表达开始,譬如怎么说1+2=3,一直到高等数学里常见的微积分的表达。

以我自己为例,我第一次做助教的时候,写了一个积分公式想讲给学生,就是要表达位移是速度对时间的积分,但是我只知道写出这个公式,却不知道嘴里该怎么说出来,后来就问了办公室的本地学生,他告诉我这个公式可以说成“the distance is equal to the integral of v d t as t goes from zero to t”。我相信很多的人都跟我一样,看得懂很多数学公式,却没法准确用英语表达出来。经历过在这边上课和多次做助教之后,我对怎样在口语中表达这些数学符号和计算公式也越来越熟练。即便如此,在做这一篇整理时,我也还是很认真地参考了很多英语母语的人的表述方法,为了尽量做到准确,对于一些我不确定的表达,我搜索了一些教授的英文讲课视频,采用了最常用接受度最高的表达方式。

在编辑这一篇文章的内容时,一开始我用的Word文档,但我后面发现好多的数学符号和表达式,我好难在Word里面找到对应的,而且一些公式和符号编辑起来也相当费劲。后面我改用了LaTeX编辑,再加上用公式编辑器写的数学符号和公式可以直接复制进LaTeX里生成相应的编码,所以整体效率一下提高了很多。最后写完的LaTeX生成了11页的PDF内容,我尽量将格式编辑得好看了些,所以看PDF效果会好很多。如果你需要我编辑的PDF文档,可以在文章后面留言,留下你的邮箱,或者把你的邮箱发公众号消息给我。

我知道数学的范围这么大,我是没法将所有的数学符号和标记法都归纳完全的,而且不同的专业到后面对数学的使用也有不同的偏重,所以我就不做标题党,把标题写成“最全面最权威”,因为全不全面只能是个相对的说法。但是我尽量保证将最基础最常见的数学表达收录进来。不管你的具体专业是什么,我相信只要你掌握了这些最基础的内容并运用熟练,那些专业上更深更复杂的数学表达你也一定能做到随意结合,随心所欲。

扫描图片怎么转换成pdf,如何将扫描的图片转换成PDF文件(常用数学运算和符号的英文读法)

(i 8 sum pi)

如果你发现我整理的内容有不对的地方,请留言或发邮件告诉我chengming.luo@foxmail.com,或者你希望增加有关数学的哪方面的内容,也可以邮件联系我。我以后会不定期将这个PDF文档更新。

我希望这篇内容对于那些刚刚开始用英语学习课程的学生有帮助,也能对那些需要使用英语进行教学的老师有帮助,或者对那些需要用英语进行学业或学术交流的人有帮助。我相信数学这门“口语”只要入了门,后面的路会一路顺畅的。

在PDF文档里我增加了(七)基础代数词汇和(八)基础几何词汇,这些词汇都是数学里最常使用的词,有一些我也是在整理的过程中才了解到的,对我来说也是生词,不过这也算是我整理过程中的一点收获。

最后希望我整理的这篇内容对你有用,也欢迎你转发或分享给其他有需要的人!

(一) 基本运算(加减乘除、乘方、开方)

中文名称:加法

相关符号: +

举例: 1 + 2 = 3 augend + addend = sum

相关词汇:addition 加法、plus sign 加号、plus symbol 加号、augend 被加数、addend 加数、sum 和

口语表达: alt="扫描图片怎么转换成pdf,如何将扫描的图片转换成PDF文件(常用数学运算和符号的英文读法)" src="https://p3.toutiaoimg.com/pgc-image/e817cc8640f6465c8ae809465b9774fe~tplv-tt-large.image" />

扫描图片怎么转换成pdf,如何将扫描的图片转换成PDF文件(常用数学运算和符号的英文读法)

相关词汇: root 根、degree 次、radicand 被开方数、square root 平方根、cube root 立方根

口语表达:

扫描图片怎么转换成pdf,如何将扫描的图片转换成PDF文件(常用数学运算和符号的英文读法)

Thesquared root of 9 is 3.

扫描图片怎么转换成pdf,如何将扫描的图片转换成PDF文件(常用数学运算和符号的英文读法)

Thecube root of 8 is 2.

扫描图片怎么转换成pdf,如何将扫描的图片转换成PDF文件(常用数学运算和符号的英文读法)

读作 the n-th root of x x 的 n 次方根

(二) 基本计数方法(整数、小数、分数、科学计数法)

中文名称:整数

举例: 123; 1234; 12345678

相关词汇:integer 整数、hundred 百、thousand 千、million 百万、billion 十亿、trillion 万亿

口语表达:123 读作 alt="扫描图片怎么转换成pdf,如何将扫描的图片转换成PDF文件(常用数学运算和符号的英文读法)" src="https://p3.toutiaoimg.com/pgc-image/8b64518e5943485985d9aeafe5c07d9e~tplv-tt-large.image" />

相关词汇: fraction或fraction number 分数、numerator 分子、denominator 分母

口语表达:

扫描图片怎么转换成pdf,如何将扫描的图片转换成PDF文件(常用数学运算和符号的英文读法)

在口语里通常读作 a over b,要比读作 a divided by b简略

½,one over two,一般说成one half,同样1/3一般说成one third,1/4 一般说成one quarter或one forth

2/3, two over three, 一般说成two thirds(注意third后面加s变复数),类似地,5/12可以说成five twelfths

1/100 一般说成one hundredth,其它以此类推

中文名称:科学计数法

举例: 1.23×103 或 1.23E3; 7.21×10-22或7.21E-22

相关词汇: scientific notation 科学计数法

口语表达:参见幂运算和指数运算的读法,1.23×103 可读做 one point two three times/multiplied by ten to the power of three,one point two threetimesten to the third

1.23E3 可读作 one point two threetimesE to the power of three/E to the third

7.21×10-22 可读作 seven point two alt="扫描图片怎么转换成pdf,如何将扫描的图片转换成PDF文件(常用数学运算和符号的英文读法)" src="https://p3.toutiaoimg.com/pgc-image/bc5edb35b9c24f6694eb83c904227546~tplv-tt-large.image" />

扫描图片怎么转换成pdf,如何将扫描的图片转换成PDF文件(常用数学运算和符号的英文读法)

扫描图片怎么转换成pdf,如何将扫描的图片转换成PDF文件(常用数学运算和符号的英文读法)

扫描图片怎么转换成pdf,如何将扫描的图片转换成PDF文件(常用数学运算和符号的英文读法)

扫描图片怎么转换成pdf,如何将扫描的图片转换成PDF文件(常用数学运算和符号的英文读法)

以上(一)至(三)的内容属于比较基础的数学运算和符号,接下来进阶到比较复杂的数学符号和运算,一些内容应该是高中或大学阶段才会接触到的,希望对你有帮助

扫描图片怎么转换成pdf,如何将扫描的图片转换成PDF文件(常用数学运算和符号的英文读法)

(四) 数学符号进阶

扫描图片怎么转换成pdf,如何将扫描的图片转换成PDF文件(常用数学运算和符号的英文读法)

扫描图片怎么转换成pdf,如何将扫描的图片转换成PDF文件(常用数学运算和符号的英文读法)

扫描图片怎么转换成pdf,如何将扫描的图片转换成PDF文件(常用数学运算和符号的英文读法)

(五) 常用数学标记

扫描图片怎么转换成pdf,如何将扫描的图片转换成PDF文件(常用数学运算和符号的英文读法)

扫描图片怎么转换成pdf,如何将扫描的图片转换成PDF文件(常用数学运算和符号的英文读法)

扫描图片怎么转换成pdf,如何将扫描的图片转换成PDF文件(常用数学运算和符号的英文读法)

(六) 数学运算进阶

中文名称:求阶乘

相关符号: !

相关词汇: factorial 阶乘

口语表达: 5! 读作five factorial5的阶乘

5! = 120 The value of five factorial is 120.

中文名称:求和

相关符号:∑

相关词汇: summation 和、capital sigma notation 大写西格玛标记法

口语表达:

扫描图片怎么转换成pdf,如何将扫描的图片转换成PDF文件(常用数学运算和符号的英文读法)

读作 the summationover k from1to5 of k squared 或 the sumof k squared as k goes from 1to5,通常把summation省读为sum

中文名称:求积

相关符号:

扫描图片怎么转换成pdf,如何将扫描的图片转换成PDF文件(常用数学运算和符号的英文读法)

相关词汇:the product of a sequence 序列的积、capital pi notation 大写π标记法

口语表达:

扫描图片怎么转换成pdf,如何将扫描的图片转换成PDF文件(常用数学运算和符号的英文读法)

读作 the productof i overifrom1to4 或者 the productof i asigoes from 1to4

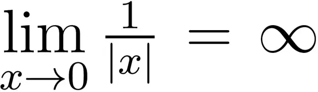
中文名称:求极限

相关符号: lim

相关词汇: limit 极限

口语表达:

扫描图片怎么转换成pdf,如何将扫描的图片转换成PDF文件(常用数学运算和符号的英文读法)

读作 the limitasxapproacheszero of f of x

扫描图片怎么转换成pdf,如何将扫描的图片转换成PDF文件(常用数学运算和符号的英文读法)

The limit of 1 over the absolute value of x as x approaches zero is infinity.

中文名称:对数运算

相关符号:log, ln

相关词汇:logarithm operation 对数运算、base 底、common logarithm 常用对数(以10为底)、natural logarithm 自然对数(以自然数e=2.71818...为底)

口语表达:

扫描图片怎么转换成pdf,如何将扫描的图片转换成PDF文件(常用数学运算和符号的英文读法)

读作 the logarithm of xto base b,通常口语里把logarithm简称log

lnx 读作 the natural log of x

中文名称:求倒数

相关词汇: reciprocal 倒数

口语表达: the reciprocal of 5 is alt="扫描图片怎么转换成pdf,如何将扫描的图片转换成PDF文件(常用数学运算和符号的英文读法)" src="https://p3.toutiaoimg.com/pgc-image/364ce4fee9da4d7bbfb5dee5c34f1513~tplv-tt-large.image" />

读作 the dot product of vectors u and v

中文名称:向量叉乘

相关符号: ×

相关词汇: cros product 叉积、vector product 矢量积,向量积

口语表达:

扫描图片怎么转换成pdf,如何将扫描的图片转换成PDF文件(常用数学运算和符号的英文读法)

读作 the cross product of vectors u and v

中文名称:求积分

相关符号:

扫描图片怎么转换成pdf,如何将扫描的图片转换成PDF文件(常用数学运算和符号的英文读法)

相关词汇: integration 积分运算、integral 积分、definite integral 定积分、

indefinite integral 不定积分、double integral 双重积分

口语表达:

扫描图片怎么转换成pdf,如何将扫描的图片转换成PDF文件(常用数学运算和符号的英文读法)

读作theintegralof f of x d x

扫描图片怎么转换成pdf,如何将扫描的图片转换成PDF文件(常用数学运算和符号的英文读法)

读作 the integral from t equals 0 tot equals infinity off of t d t 或者 the integral of f of t d t astgoesfrom0toinfinity

中文名称:求导数,求微分

相关符号:

扫描图片怎么转换成pdf,如何将扫描的图片转换成PDF文件(常用数学运算和符号的英文读法)

相关词汇: derivative 导数、first derivative 一阶导数、differential 微分

口语表达: dy/dx 全称为 the derivative with respect to xofy 或者 the derivative of ywith respect to x,简读为d y over d x

扫描图片怎么转换成pdf,如何将扫描的图片转换成PDF文件(常用数学运算和符号的英文读法)

读作 the n-th derivative with respect to xofy

中文名称:求偏导数,求偏微分

相关符号:

扫描图片怎么转换成pdf,如何将扫描的图片转换成PDF文件(常用数学运算和符号的英文读法)

相关词汇: partial derivative 偏导数、partial differential 偏微分

口语表达:对于多元函数f(x, y…),关于x 的偏导数

扫描图片怎么转换成pdf,如何将扫描的图片转换成PDF文件(常用数学运算和符号的英文读法)

读作 the partial derivative of fwith respect to x

中文名称:求卷积

相关符号: *

相关词汇: convolution 卷积

口语表达: f(t)*g(t) 读作 the convolution of functions f of t and g of t

终于到最后了,如果你认真从头看到尾了,那么很感谢你的耐心

扫描图片怎么转换成pdf,如何将扫描的图片转换成PDF文件(常用数学运算和符号的英文读法)

,希望你能学到些有用的东西。不过呢,一下子都掌握可能需要花些时间,而且很多表达都是要在使用中慢慢熟练的,如果有时间你可以在网上看一些有关数学的公开课。如果是大学阶段的话,可以看MIT的数学基础课,我只看过Arthur Mattuck教授的微分方程和Gilbert Strand教授的线性代数,两位爷爷级的教授讲的课非常好。相信只要你坚持学完其中一门,有关数学的英语表达都将不是问题!

本文关键词:怎么把图片扫描转换成pdf格式,怎么把扫描的图片转换成pdf,如何把扫描图片转换成pdf格式,如何将扫描件转换成pdf文件格式,如何将扫描的图片转换成pdf文件的形式。这就是关于《扫描图片怎么转换成pdf,如何将扫描的图片转换成PDF文件(常用数学运算和符号的英文读法)》的所有内容,希望对您能有所帮助!

本文链接:https://bk.89qw.com/a-704879

最近发表
网站分类