手机版

百科生活 投稿

向量的运算的所有公式,向量的运算的所有公式有哪些(向量的基础知识)

百科 2026-02-10 08:32:51 投稿 阅读:7197次

关于【向量的运算的所有公式】,向量的运算的所有公式有哪些,今天小编给您分享一下,如果对您有所帮助别忘了关注本站哦。

  • 内容导航:
  • 1、向量的基础知识
  • 2、向量的运算的所有公式有哪些

1、向量的基础知识

向量的知识

向量定义: 向量是一条有方向的线段(有长度和确定方向的线段)。 图形化的向量,表示成一定长度的有向线段。

向量的运算的所有公式,向量的运算的所有公式有哪些(向量的基础知识)

具有起始点A和结束点B的向量,记为AB。向量也可以用一个小写字母,例如a表示。

向量的长度: 有向线段的长度决定了向量的数值,称为向量AB的长度。

向量AB的长度记为:|AB|。

共线向量: 平行于一条直线或落在一条直线上的向量称为共线向量

向量的运算的所有公式,向量的运算的所有公式有哪些(向量的基础知识)

共面向量:平行于同一平面的向量,或位于同一平面上的向量称为共面向量。

向量的运算的所有公式,向量的运算的所有公式有哪些(向量的基础知识)

向量相等: 向量a和b是相等的如果它们在同一条或平行线上,它们的方向相同长度相等。

向量的运算的所有公式,向量的运算的所有公式有哪些(向量的基础知识)

单位向量: 单位向量或向量角是长度等于1的向量。

平面问题的向量坐标公式

在平面问题中,向量AB由点A(Ax; Ay) 和B(Bx; By) 可以用下面的公式确定:

AB = {Bx - Ax ; By - Ay}

空间问题的向量坐标公式

在空间问题中,向量AB由点A(Ax; Ay; Az)和B(Bx; By; Bz)可以用下列公式确定:

AB = {Bx - Ax ; By - Ay ; Bz - Az}

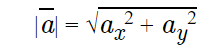
二维向量的向量长度公式

在平面问题中,向量a的长度= {ax; ay}可以用下面的公式计算:

向量的运算的所有公式,向量的运算的所有公式有哪些(向量的基础知识)

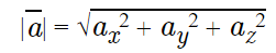
三维向量的向量长度公式

在空间问题中,向量a的长度= {ax; ay; az}可用以下公式计算:

向量的运算的所有公式,向量的运算的所有公式有哪些(向量的基础知识)

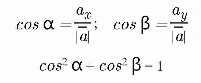
二维矢量的方向余弦公式

在平面问题中,向量a的方向余弦= {ax; ay}可以用下面的公式确定:

向量的运算的所有公式,向量的运算的所有公式有哪些(向量的基础知识)

向量的运算的所有公式,向量的运算的所有公式有哪些(向量的基础知识)

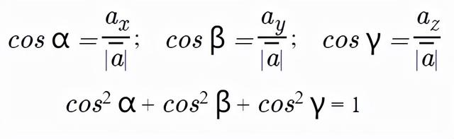
在空间问题中,向量a的方向余弦={ax ; ay ; az}可以用下面的公式确定:

向量的运算的所有公式,向量的运算的所有公式有哪些(向量的基础知识)

向量的运算的所有公式,向量的运算的所有公式有哪些(向量的基础知识)

平面问题的向量加减公式

在平面问题中,向量a = {ax; ay}和b = {bx; by}的和或差可 通过下面的公式确定:

在空间问题中,向量a ={ax ; ay ; az}和b = {bx ; by ; bz}的和或差可通过下面的公式确定:

a + b = {ax + bx; ay + by; az + bz}

a - b = {ax - bx; ay - by; az - bz}

向量的运算的所有公式,向量的运算的所有公式有哪些(向量的基础知识)

向量a和b的点积几何解释: 两个向量a和b的点积是一个标量,等于向量的大小之积乘以向量夹角的余弦值。

向量的运算的所有公式,向量的运算的所有公式有哪些(向量的基础知识)

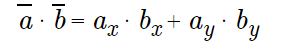
平面问题的点积公式

在平面问题中向量a = {ax; ay }和b = {bx; by}通过下面的公式确定:

向量的运算的所有公式,向量的运算的所有公式有哪些(向量的基础知识)

空间问题的点积公式

在空间问题中向量a = {ax ; ay ; az}和b ={bx ; by ; bz}通过下面的公式确定:

向量的运算的所有公式,向量的运算的所有公式有哪些(向量的基础知识)

此外向量还有一个叉积的运算,请参见向量叉积的定义和应用。

2、向量的运算的所有公式有哪些

向量的加法满足平行四边形法则和三角形法则, 向量加法的运算律:交换律:a+b=b+a;结合律:(a+b)+c=a+(b+c)。如果a、b是互为相反的向量,那么a=-b,b=-a,a+b=0,0的反向量为0,OA-OB=BA.即“共同起点,指向被减”a=(x1,y1),b=(x2,y2) ,则a-b=(x1-x2,y1-y2)。

在数学中,向量(也称为欧几里得向量、几何向量、矢量),指具有大小(magnitude)和方向的量。它可以形象化地表示为带箭头的线段。箭头所指:代表向量的方向;线段长度:代表向量的大小。向量的加法满足平行四边形法则和三角形法则,向量加法的运算律:交换律:a+b=b+a;结合律:(a+b)+c=a+(b+c)。如果a、b是互为相反的向量,那么a=-b,b=-a,a+b=0,0的反向量为0,OA-OB=BA.即“共同起点,指向被减”a=(x1,y1),b=(x2,y2) ,则a-b=(x1-x2,y1-y2)。

数与向量的乘法满足下面的运算律

结合律:(λa)·b=λ(a·b)=(a·λb)。

向量对于数的分配律(第一分配律):(λ+μ)a=λa+μa.

数对于向量的分配律(第二分配律):λ(a+b)=λa+λb.

数乘向量的消去律:① 如果实数λ≠0且λa=λb,那么a=b。② 如果a≠0且λa=μa,那么λ=μ。

向量的数量积的运算律

a·b=b·a(交换律)

(λa)·b=λ(a·b)(关于数乘法的结合律)

(a+b)·c=a·c+b·c(分配律)

向量的数量积的性质

a·a=|a|的平方。

a⊥b〈=〉a·b=0。

|a·b|≤|a|·|b|。(该公式证明如下:|a·b|=|a|·|b|·|cosα| 因为0≤|cosα|≤1,所以|a·b|≤|a|·|b|)

向量的向量积运算律

a×b=-b×a

(λa)×b=λ(a×b)=a×(λb)

a×(b+c)=a×b+a×c.

(a+b)×c=a×c+b×c.

本文关键词:向量的运算的所有公式有哪些例题,向量的运算的所有公式有哪些数学,向量运算的基本公式,所有关于向量的公式,向量的运算的所有公式有哪些。这就是关于《向量的运算的所有公式,向量的运算的所有公式有哪些(向量的基础知识)》的所有内容,希望对您能有所帮助!

本文链接:https://bk.89qw.com/a-705329

最近发表
网站分类