手机版

百科生活 投稿

复合函数求导公式表图片,复合函数求导公式什么(如何求复合函数的导数)

百科 2026-02-08 13:34:20 投稿 阅读:6021次

关于【复合函数求导公式表图片】,复合函数求导公式什么,今天小编给您分享一下,如果对您有所帮助别忘了关注本站哦。

  • 内容导航:
  • 1、如何求复合函数的导数
  • 2、复合函数求导公式表图片:复合函数求导公式什么?怎么求导

1、如何求复合函数的导数

复合函数的求导法则:

一般地,对于函数y=f(u)和u=g(ⅹ)复合而成的函数y=f(g(ⅹ)),它的导数与函数y=f(u),u=g(x)的导数间的关系为yⅹ'=yu'·uⅹ',即y对x的导数等于y对u的导数与u对x导数的乘积。

复合函数求导的步骤:

1.分层

选择中间变量,写出构成它的内,外层函数。

2.分别求导

分别求各层函数对相应变量的导数。

3.相乘

把上述求导的结果相乘。

4.变量回代

把中间变量回代。

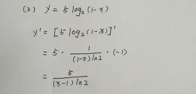
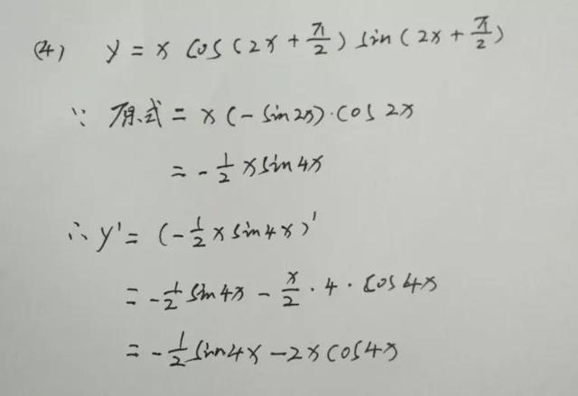
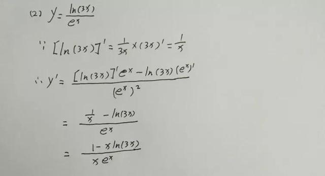
例如,下列复合函数求导。

复合函数求导公式表图片,复合函数求导公式什么(如何求复合函数的导数)

求复合函数的导数注意:

1.分解的函数通常为基本初等函数。

2.求导时分清是对哪个变量求导。

3.计算结果尽量简单。

4.对含有三角函数的函数求导,往往需要利用三角恒等变换公式,对函数式进行化简,使函数的种类减少,次数降低,结构尽量简单,从而便于求导。

复合函数求导公式表图片,复合函数求导公式什么(如何求复合函数的导数)

复合函数求导公式表图片,复合函数求导公式什么(如何求复合函数的导数)

复合函数求导公式表图片,复合函数求导公式什么(如何求复合函数的导数)

5.分析待求导的函数的运算结构,弄清函数是由哪些基本初等函数通过何种运算而构成的,确定所需的求导公式。

2、复合函数求导公式表图片:复合函数求导公式什么?怎么求导

总的公式f'[g(x)]=f'(g)×g'(x)。主要方法:先对该函数进行分解,分解成简单函数,然后对各个简单函数求导,最后将求导后的结果相乘,并将中间变量还原为对应的自变量。

设函数y=f(u)的定义域为Du,值域为Mu,函数u=g(x)的定义域为Dx,值域为Mx,如果Mx∩Du≠Ø,那么对于Mx∩Du内的任意一个x经过u;有唯一确定的y值与之对应,则变量x与y之间通过变量u形成的一种函数关系,这种函数称为复合函数。

复合函数求导公式:①设u=g(x),对f(u)求导得:f'(x)=f'(u)*g'(x);②设u=g(x),a=p(u),对f(a)求导得:f'(x)=f'(a)*p'(u)*g'(x);总的公式f'[g(x)]=f'(g)×g'(x)。先对该函数进行分解,分解成简单函数,然后对各个简单函数求导,最后将求导后的结果相乘,并将中间变量还原为对应的自变量。两个函数商的复合函数可导的前提条件是作分母的函数即g(x)≠0,否则无意义。

复合函数求导,就是找出构成复合函数的子函数,一个复合函数可以拆分成无数种子函数。对于复合函数自身带有幂指对这类较为难求导的函数,一般来说会以它为中心进行化简,即最终子函数能够很容易求出复合函数中的幂指对。将复合函数的本框架作为原函数,化好子函数后,就是求导过程,划出来的函数全部求导,代入即可。

本文关键词:复合函数求导公式除法,复合函数求导公式推导,复合函数求导大全,复合函数求导公式什么时候不能用,复合函数的求导公式大全。这就是关于《复合函数求导公式表图片,复合函数求导公式什么(如何求复合函数的导数)》的所有内容,希望对您能有所帮助!

本文链接:https://bk.89qw.com/a-707739

最近发表
网站分类