手机版

百科生活 投稿

三角形的面积怎么求,如何计算三角形面积(一次函数之三角形面积)

百科 2026-02-18 09:41:03 投稿 阅读:5586次

关于【三角形的面积怎么求】,如何计算三角形面积,今天小编给您分享一下,如果对您有所帮助别忘了关注本站哦。

  • 内容导航:
  • 1、三角形的面积怎么求:如何计算三角形面积
  • 2、中考数学:一次函数之三角形面积

1、三角形的面积怎么求:如何计算三角形面积

计算三角形面积时,先用尺子测出三角形的底边长和高,然后用面积=底×高÷2的公式来计算三角形面积,下面就说说如何计算三角形的面积。

工具/材料

纸、笔、直尺

操作方法

计算三角形的面积,需要画图来计算,先准备好纸、直尺和笔。

先用直尺和笔在纸上随便画一个三角形,我们来计算这个三角形的面积。

先用直尺测一下三角形底边的长,是3厘米。

用直尺从三角形的顶点到底边做一条垂线,就是三角形的高,用尺子测一下高是1厘米。根据公式面积=底×高÷2,就能得出面积是1.5平方厘米。

如果记不住这个计算公式,我们可以根据长方形的公式来加以记忆,我们用直尺在三角形顶点处做一条和底边平行的线段,长度也是3厘米,从线段的两端向底边的两端做两条垂线,这三行线用虚线表示,三条虚线和底边组成一个长方形。

大家都知道长方形的面积=底×高,这个长方形的面积就是3平方厘米,从图上可以看出来,三角形的高把三角形分成左右两个小的三角形,每个小的三角形正好是左右两个长方形的一半大小,所以,整个三角形的面积就是整个长方形面积的一半,这样,三角形面积=底×高÷2就很容易记住了。

2、中考数学:一次函数之三角形面积

例:已知直线y=-x+6分别交直线y=2x和y=0.5x于点A、B,求△OAB的面积。

三角形的面积怎么求,如何计算三角形面积(一次函数之三角形面积)

解法一:补形法

(1)补成大三角形,用大三角形面积减小三角形面积求解

如上图,易求:A(2,4),B(4,2),C(6,0),D(0,6)

三角形的面积怎么求,如何计算三角形面积(一次函数之三角形面积)

三角形的面积怎么求,如何计算三角形面积(一次函数之三角形面积)

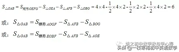
(2)补成矩形,用矩形面积减三个小三角形面积求解

辅助线如上图

三角形的面积怎么求,如何计算三角形面积(一次函数之三角形面积)

解法二:切割法

(1)切成三块三角形(通过两顶点“横平竖直”作辅助线,交点连第三个顶点)

三角形的面积怎么求,如何计算三角形面积(一次函数之三角形面积)

辅助线如上图

三角形的面积怎么求,如何计算三角形面积(一次函数之三角形面积)

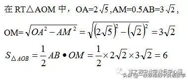
(2)切成两块同底三角形(宽高公式:铅垂高水平宽积的一半)

三角形的面积怎么求,如何计算三角形面积(一次函数之三角形面积)

过A作AE⊥x轴于E,交OB于F,过B作BG⊥AE于G

三角形的面积怎么求,如何计算三角形面积(一次函数之三角形面积)

或:用点O到直线AB的铅垂高OD与A、B 两点的水平宽BG积的一半来求,即:S=0.5×OD×BG=6

或:如下图,同理可得:S=0.5×BE×OH=0.5×3×4=6.

三角形的面积怎么求,如何计算三角形面积(一次函数之三角形面积)

解法三:转移法

根据两三角形同底等高面积相等,如下图:

三角形的面积怎么求,如何计算三角形面积(一次函数之三角形面积)

三角形的面积怎么求,如何计算三角形面积(一次函数之三角形面积)

如下图,同理可得:

三角形的面积怎么求,如何计算三角形面积(一次函数之三角形面积)

解法四:直接法

1、已知三边求面积,套用海伦-秦九韶公式

三角形的面积怎么求,如何计算三角形面积(一次函数之三角形面积)

知识拓展:

三角形的面积怎么求,如何计算三角形面积(一次函数之三角形面积)

三角形的面积怎么求,如何计算三角形面积(一次函数之三角形面积)

2、作高,求出高算面积

三角形的面积怎么求,如何计算三角形面积(一次函数之三角形面积)

三角形的面积怎么求,如何计算三角形面积(一次函数之三角形面积)

注:如果不是等腰三角形,可作高,利用“双勾股”求出高再算面积!如下图:

三角形的面积怎么求,如何计算三角形面积(一次函数之三角形面积)

延伸:若交点不在原点,怎么算面积?

法一、二、四通用

法三,可把其中一点平移至原点,

或把一个点平移到与另一个点在同一横坐标或纵坐标直线上如下图:

本文关键词:如何计算三角形面积?,如何计算三角形面积的教案,如何计算三角形面积平方数,怎么计算圆的面积,多边形面积计算公式。这就是关于《三角形的面积怎么求,如何计算三角形面积(一次函数之三角形面积)》的所有内容,希望对您能有所帮助!

本文链接:https://bk.89qw.com/a-713886

最近发表
网站分类