手机版

百科生活 投稿

分度值指的是什么,估值怎么算出来的(百分表、内径百分表、杠杆百分表都用过吗)

百科 2026-02-05 19:45:41 投稿 阅读:8487次

关于【分度值指的是什么】,估值怎么算出来的,今天小编给您分享一下,如果对您有所帮助别忘了关注本站哦。

  • 内容导航:
  • 1、分度值指的是什么
  • 2、机械式测量方式介绍,百分表、内径百分表、杠杆百分表都用过吗?

1、分度值指的是什么

最小刻度值

分度值即最小刻度值,就是在测量仪器所能读出的最小值,指测量工具上相邻的两个刻度之间的最小格的数值。

分度值就是最小刻度值,比如我们常用的直尺,最小刻度值也就是一毫米,这也就相当于分度值为1毫米,在物理读书中,我们通常要估读到最小刻度值的下一位,拿直尺来打比方,也就是在读数的时候要估读到0.1mm。这时你用直尺量出来的如果是2.5cm,这时5这位是准确的可以在直尺中量出来的,但是物理里面还要求你再估读一位,比如估读到2.56cm,这时候最后一位的6就是估读值,而2.5就是精确值。

在计量器具的刻度标尺上,最小格所代表的被测尺寸的数值叫做分度值,分度值又称刻度值。如:温度计的分度值是指相邻的两条刻线(每一小格)表示的温度值,记录分度值也要有单位。测量工具:如刻度尺的最小间距,所表示的长度;仪表中最小刻度线间所表示的量 一般尺子分度值为0.1cm 分度值 就是单位刻度的意思,也就是最小刻度.尺子的分度值一般都是1mm。零刻线就是尺子上的标度是"0"的那条线,测量物体时要看零刻线是否磨损,可以把1当作零刻线来量取物体 ,毫米尺的分度值是0.1cm,50格的游标卡尺分度值是0.02mm;一般螺旋测微计分度值是0.01mm,体温计的 分度值是0.1摄氏度。

2、机械式测量方式介绍,百分表、内径百分表、杠杆百分表都用过吗?

机械式量仪借助杠杆、齿轮、齿条或扭簧的传动,将测量杆的微小直线移动,经传动和放大机构转变为表盘上指针的角位移,从而指示相应的数值。

一、百分表

分度值指的是什么,估值怎么算出来的(百分表、内径百分表、杠杆百分表都用过吗)

使用百分表时的注意事项:

(1)测量前应检查表盘玻璃是否破裂或脱落,测量头、测量杆、套筒等是否有碰伤或锈蚀,指松动现象,指针的转动是否平稳等。

(2)测量时应使测量杆垂直零件被测表面。测量圆柱面的直径时,测量杆的中心线要通过被测圆柱面的轴线。

(3)测量头开始与被测表面接触时,测量杆就应压缩0.3~1mm,以保持一定的初始测量力。

(4)测量时应轻提测量杆,移动工件至测量头下面(或将测量头移 至工件上),再缓慢放下与被测表面接触。不能急骤放下测量 杆,否则易造成测量误差。不准将工件强行推入至测量头下,以免损坏量仪。

分度值指的是什么,估值怎么算出来的(百分表、内径百分表、杠杆百分表都用过吗)

二、内径百分表

分度值指的是什么,估值怎么算出来的(百分表、内径百分表、杠杆百分表都用过吗)

内径百分表由百分表和专用表架组成,用于测量孔的直径和孔的形状误差,特别适宜于深孔的测量。

用内径百分表测量孔径属于相对测量法,测量前应根据被测孔径的大小,用千分尺或其它量具将其调整对零才能使用。测量时将表杆在测量头的轴线所在平面内轻微摆动,在摆动过程中读取最小读数,即为孔径的实际偏差 。

三、杠杆百分表

分度值指的是什么,估值怎么算出来的(百分表、内径百分表、杠杆百分表都用过吗)

杠杆百分表是把杠杆测头的位移(杠杆的摆动),通过机械传动系统转变为指针在表盘上的偏转。杠杆百分表表盘圆周上有均匀的刻度,分度值为0.01mm,示值范围一般为±0.4mm。

使用杠杆表时的注意事项:

(1)夹持杠杆表的表架应牢固可靠,且要有足够的刚度,悬臂长度应尽量短。表装夹好后如需调整位置,应先松开紧固螺钉,再转动轴套,不能直接转动表体。

(2)测量时应使杠杆表的测量头轴线与测量线尽量垂直。

分度值指的是什么,估值怎么算出来的(百分表、内径百分表、杠杆百分表都用过吗)

四、杠杆千分尺

分度值指的是什么,估值怎么算出来的(百分表、内径百分表、杠杆百分表都用过吗)

杠杆千分尺是测量外尺寸的一种精密量具,它的外形与外径千分尺相似。

它由螺旋测微部分和杠杆齿轮机构部分组成,螺旋测微部分的分度值为0.01mm,杠杆齿轮机构部分的分度值有0.001mm和0.002mm两种,指示表的标尺示值范围仅为±0.02mm。

分度值为0.001mm杠杆千分尺可用于测量IT6级的尺寸,分度值为0.002mm杠杆千分尺可用于测量IT7级的尺寸。

杠杆千分尺的测量范围为0~25mm,25~50mm,50~75mm,75~100mm四种。

五、精密量仪

(一)杠杆齿轮比较仪

分度值指的是什么,估值怎么算出来的(百分表、内径百分表、杠杆百分表都用过吗)

(二)扭簧比较仪

分度值指的是什么,估值怎么算出来的(百分表、内径百分表、杠杆百分表都用过吗)

六、水平仪

水平仪——用来测量被测平面相对水平面的微小角度的计量器具。

水准式水平仪:条式、框式和合像水平仪

分度值指的是什么,估值怎么算出来的(百分表、内径百分表、杠杆百分表都用过吗)

水平仪原理 :

分度值指的是什么,估值怎么算出来的(百分表、内径百分表、杠杆百分表都用过吗)

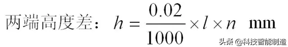
相对倾角:α=4″×n

分度值指的是什么,估值怎么算出来的(百分表、内径百分表、杠杆百分表都用过吗)

七、检验平板

一般用铸铁或花岗岩制成,有非常精确的工作平面,其平面度误差极小,在检验平板上,利用指示表和方箱、V形架等辅助工具,可以进行多种检测。

分度值指的是什么,估值怎么算出来的(百分表、内径百分表、杠杆百分表都用过吗)

八、偏摆仪

一般用铸铁制成,带有可调整的前后顶尖座和高精度的纵向、横向导轨,并配有专用表架。利用百分表、千分表可对回转体零件进行各种跳动量的检测。

本文关键词:停表的读数方法,读数是什么意思,估值是什么意思,秒表的读数方法图解,量程是什么意思。这就是关于《分度值指的是什么,估值怎么算出来的(百分表、内径百分表、杠杆百分表都用过吗)》的所有内容,希望对您能有所帮助!

本文链接:https://bk.89qw.com/a-721193

最近发表
网站分类