手机版

百科生活 投稿

mod是什么意思,数学mod是什么意思(仨数公开俩,也能算密码)

百科 2026-02-06 03:57:06 投稿 阅读:5052次

关于【mod是什么意思】,数学mod是什么意思,今天小编给您分享一下,如果对您有所帮助别忘了关注本站哦。

  • 内容导航:
  • 1、mod是什么意思
  • 2、仨数公开俩,也能算密码?

1、mod是什么意思

MOD是英文单词modification(意为修改)的缩写,汉语音译作“模组”,也称游戏模组,它是游戏的一种修改或增强程序,可以将电脑游戏中的道具、武器、角色、敌人、事物、模式、故事情节等作出修改。

MOD是英文单词modification(意为修改)的缩写,汉语音译作“模组”,也称游戏模组,它是游戏的一种修改或增强程序。游戏模组就是将电脑游戏中的道具、武器、角色、敌人、事物、模式、故事情节等作出修改,又或是加入新的道具及事物,多见于侠盗猎车,上古卷轴,Minecraft(我的世界)等沙盒类游戏。一般装了mod配置要求会有所提高。

MOD它是游戏的一种修改或增强程序。有些热爱游戏的程序编写高手,会尝试进行修改游戏中的部分资料设定,像人物的服装、外貌、声音、武器、工具、地图等等,甚至写出新的任务剧情,使修改后的游戏产生大幅的变化,提高了游戏性和耐玩度。

想想看,把游戏中的人物改为自己,声音换成你的口头禅,在你们家的后院里来一场游戏大战,那是一种多么奇特的感觉,现在,这种似乎可望而不可及的情景将通过MOD的强大威力得以实现。

2、仨数公开俩,也能算密码?

正是一批当年看起来很没有用处的纯数学成果,使得我们现在可以在网络上可以安全地从事很多商务活动,大到签署巨额合同文件,小到双十一剁手。

mod是什么意思,数学mod是什么意思(仨数公开俩,也能算密码)

(图源:pixabay.com

撰文 | 吴进远

大家可能听说过摩尔斯电码和后来的一些其他编码方法,不过这些还都不是密码。人们编制代码的目的是为了传递人话,因此,编制代码的规则必须告诉接收方使之可以读明白。但很多时候,我们却不想让无关的人搞明白我们所传递的信息,这时就需要编制密码。

对称密码

密码包括两大类,一类叫做对称性密码,另一类叫非对称性密码。所谓对称性密码,是指不论发送方编码还是接收方解码用的都是同一套密钥。在二十世纪七十年代之前,所有的密码都属于对称性密码。发送方和接收方必须提前通过安全的方式,将密码本递送给对方,才能用密钥给电信通讯的内容加密。在战争时期,递送密码本是一个艰险的工作,《红灯记》中李玉和、李奶奶为了给抗日游击队递送密码本甚至牺牲了生命。

此外,由于加密规则是第三方不知道的,因此人们编制密钥时很可能不会深入考虑被破解的风险,结果使得加密的报文变得可以破解。在战争年代,由于破解敌方电报密码而导致战局变化的事例非常多。

非对称密码

而非对称性密码,加密与解密需要的密钥是不同的。通讯前,接收方把加密用的密钥传递给发送方,这个加密用的密钥不需要保密,因此称为公共密钥。发送方用加密的密钥把信息加密,发送给接收方。

在上述通讯过程中,网络上任何人都可以偷听到加密密钥以及通讯信息,但是加密密钥对于解密通讯内容完全无用。只有接收方,使用自己保管的解密密钥,或私有密钥,才能解密通讯内容。

形象地说,发送信息的人可以把信写好,放到一个保险箱里,用公共密钥锁起来。但这个保险箱却无法用公共密钥打开,必须用另一个私有密钥才能打开。

这样讲也许还有些抽象,我们通过一个实际的例子来进一步说明这种加密方法。

小明想给小莹写一段信息,可是周围灯泡环伺,这可怎么办呢?小莹得知后说好办,然后大大方方地在黑板上写了两串数字。“把信息用这两个数字加密,就无人可以破解,因为我还有一个数字,只有用这个秘密数字才可以解密。”尽管如此,小明还是有些发怵,用两个人人皆知的数字加密信息,可靠吗?

假设小明要发的信息是17281314,小莹写在黑板上的数是7和22,小明误以为编码方法就是把信息与这两个数相乘,那么,小明编出的“加密”信息为:

17281314*7*22 = 2661322356

编出来的这个数确实和原来信息长得很不像,但其他人想破解太容易了,只要把“加密”信息除以黑板上的两个数,就恢复了原始信息:

2661322356/(7*22) = 17281314

你可能觉得小明设想的加密方法太简单了。其实,问题不在于加密运算是不是简单,关键在于加密运算的逆运算是不是太容易。我们平常见到的各种运算大多数都有逆运算:加法对应减法,乘法对应除法,乘方对应开方,指数对应对数,它们互相之间都是逆运算。这些逆运算都太容易了,无法用在加密通讯上。

在实际应用中的一种常用加密方法,即RSA算法,则是一种逆运算极其困难的运算。这种算法的加密与解密方法可以用以下公式写出来:

加密:c = (m^e) mod n

解密:m = (c^d) mod n

mod是什么意思,数学mod是什么意思(仨数公开俩,也能算密码)

在上面公式中,m是原始信息,一串很长的数,e和n是公共密钥,相当于黑板上的两串数字。公式中 mod n 的意思是把前面那个整数除以n,留下除不尽的余数,比如16除以5,余数为1。这样加密之后,得到一串数字c,想破解就不容易了,必须使用另一个整数d,也就是私有密钥才能得到结果。

当n=22,e=7的时候,这个私有密钥d就是3。下表显示了在这个简单的例子中,编码与解码的计算过程。

mod是什么意思,数学mod是什么意思(仨数公开俩,也能算密码)

这样,小明发送的信息就可以利用这个算法来编码:17281314=> 1918020720 (17=>19; 2=>18;8=>02; 13=>07; 14=>20)。经过这样加密的数字其他人就很难破解了,甚至连小明自己也无法破解。只有小莹把私人密钥 d=3 代入解密公式:m = (c^d) mod n,才能恢复原始信息:17281314。

你可能会觉得,小莹的私人密钥 d=3 太容易猜出来了。的确,因为我们在这个简单的例子中用到的这三个数n,e,d都太小了。实际应用中,这三个数都是上千位的巨大数字,这样就很难猜了。

这三个数可以随便挑吗?当然不是。计算机在生成这三个数的时候,首先随机寻找两个千位量级的质数(素数)p,q,然后相乘得到n(即:n=p*q,比如我们前面例子中,22=2*11)。然后利用p和q,找到e和d(前面例子中的7和3)。这一对密钥具有下面的特性:

( ((m^e) mod n)^d) mod n = m

也就是说,任意一个整数m(就是我们发送的信息),经过加密与解密这样一对操作,一定能够恢复。可见,e和d是一对作用互反的数字,不过,仅仅从n和e无法计算出d,必须知道p和q。

mod是什么意思,数学mod是什么意思(仨数公开俩,也能算密码)

聪明如你一定会发现,既然我们已经知道n=p*q,使用强大的超级计算机,应该可以把两个质数p,q分解出来吧?有了p,q,又知道e,不就可以算出d,从而破解密码了吧?

这是个很好的问题,它揭示了RSA密码的关键所在,当我们用两个不太大的质数相乘,从得到的乘积很容易分解出这两个质数乘数。但当这两个质数的非常大的时候,计算的难度急剧增长,远远超过现有超级计算机在合理时间内的计算能力。因此从这个意义上说,这种密码是无法破解的。

除了我们这里介绍的RSA加密算法,现实应用中还有其他算法。它们的原理都是基于一种叫做单向函数的理念。也就是说,一个正向运算很容易,比如两个质数相乘p*q,但它的逆运算,比如把乘积分解,却非常难。

有了这样的单向函数,我们就可以把整套密钥中的三个数大大方方地公开两个,而不用担心通讯信息被人破解。

这么大的数怎么算?

敏锐如你一定会发现,我们在加密和解密的过程中的操作,比如(m^e),是非常高次的乘方。可以想象由此得到的数一定很大,这种操作未免太猛如虎了吧?的确,你在计算器上试算一下98765432^23456789,这个数大约有上亿位,计算器不死算我输。

其实真正计算中并不会出现这么巨大的数,因为我们算的是以n为除数的余数。计算两个数乘积的余数时,我们可以先求出两个数的余数再相乘,这样的乘法就容易计算多了。具体到算一个数m的平方的余数,算法如下图所示:

mod是什么意思,数学mod是什么意思(仨数公开俩,也能算密码)

我们这里把m分解成为K*n,即n的整倍数,以及余数r这样两部分。这样只有r^2这部分,即上面图中涂色的小方块,可能对m的平方的余数有贡献。上面图中所有白色的方块都必然是n的整倍数,对于余数的贡献一定是0,因此我们只需要计算r^2就可以了。当然r^2这个结果本身完全可能大于n,这就要求我们对r^2再做取余数的运算,最终得到 m^2 mod n。

我们现在用个小一点的实际数字来进一步说明一下,比如老师出个题:

98765432^2,这个数的个位是多少?同学们掏出计算器一通按,得到结果:9754610558146624,总共16位数,其个位为4。

mod是什么意思,数学mod是什么意思(仨数公开俩,也能算密码)

您家娃很可能没有掏计算器就举手,二二得四,立刻得到答案:个位数是4。在这个问题中,一个数字的个位数,其实就是它以10为除数的余数。不管多少位数做乘法(包括平方),十位以上的数对于结果的个位数一定没有贡献,我们在每次做乘法之前,先取余数,这样就可以避免用很大的数相乘。

在计算机加密解密操作中,除数n有上千位,但只要计算时及时取余数,算出的结果就会始终保持在千位量级。这个数虽然很大,但比起上亿位来说,还是小得多了。

大家可能还是有些不放心,在 (m^e) 之中,除了m是千位量级的大数,指数e也是个很大的数,我们前面讨论了怎样有效地计算 (m^2) mod n 的问题,可 (m^2) 与 (m^e) 之间还差得很多呀。比如我们找个小一点的实际数字做例子,在计算 (m^23456789) 的时候,难道我们要计算两千多万次乘法吗?

实际上,我们可以找到更好更简单的算法。比如,我们可以把23456789这个数翻译成二进制:

23456789(base10)=1011001011110110000010101 (base 2)

这告诉我们,这个数可以看成是若干个数的和:

23456789 = 2^24 + 2^22 + 2^21 + 2^18 + 2^16 ...

于是,用这样一个大数作为指数时,计算的过程可以看成是一个乘积:

m^23456789 = m^(2^24) * m^(2^22) * m^(2^21) *m^(2^18) * m^(2^16) ...

可是,像 m^(2^24) 这样的数,似乎也很难算呀。其实仔细想想,并没有那么难。我们已经可以计算平方了,把平方出来的结果再平方,就可以得到更高方次的结果。例如:

(m^2)^2 = m^4; (m^4)^2 = m^8; (m^8)^2 = m^16; (m^16)^2 = m^32 ...

因此,只要不停地做平方(即乘法)运算23次,就可以得到 m^(2^24) 这样的数(当然,每次乘法运算之后都要进行取余数,即 mod n 的运算)。而上述这样一个计算过程的中间结果,包含了 m^(2^22),m^(2^21),m^(2^18) 等等。这就使得这样的高方次计算成为可能。

取余数运算的威力

至此,大家可能可以看出一点眉目了,正是算法中使用了取余数(mod n)这样的运算,使得合法通讯双方的计算量大大下降,使得巨大数的巨大方次乘方运算 (m^e) 这种“猛如虎”的操作,可以用250次乘法这种量级的计算量实现。

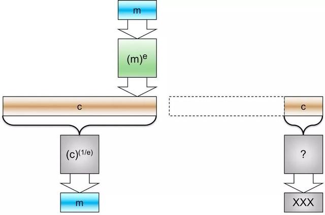
另一方面,如果我们设想加密算法中没有取余数的运算:

加密:c = (m^e)

暂且不论这个数字的巨大,单从加密角度看,也没有达到目的。这个数字包括了高位数上的所有信息,因此其逆运算非常简单。乘方的逆运算就是开方,窃听者很容易就可以用你公布的密钥把信息解密:

解密:m = c^(1/e)

mod是什么意思,数学mod是什么意思(仨数公开俩,也能算密码)

因此,正是算法中使用了取余数(mod n)这样的运算,隐去了高位数携带的信息,使得开方这类简单的逆运算变得不可行。这样一来,窃听者必须进行的逆运算,就需要连超级计算机都无法提供的计算量。

电子签名

在RSA算法中,加密和解密的密钥,也就是e和d这两个数的位置是可以互换的,用公式写出来就是:

( ((m^e) mod n)^d) mod n = ( ((m^d) mod n)^e)mod n = m

这个公式说明了什么呢?这个公式表示,由于我手中持有私钥d,因此我可以用这个私钥把我的名字(加上日期时间以及序列号等信息)s编制出一段密码:

(s^d) mod n = x

任何人都可以利用我以前公布的公钥,即e和n这两个数字,计算出我所编制的信息。

(x^e) mod n = s

这样,就只有我可以编制出这样一个x信息,而这个x密码就成为我的电子签名。这个x密码尽管直接看像鬼画符一样,但大家用e和n这两个数字就可以计算出是有意义的内容。

mod是什么意思,数学mod是什么意思(仨数公开俩,也能算密码)

那么别人能不能假冒我的电子签名呢?当然任何人都可以随意编一个鬼画符一样的信息y,但由于他们手中没有d这个数,因此大家把这个编出的y以及以前公布的e和n代入公式,就会发现得到的结果仍然是鬼画符一般。

当然,网络上的其他人可以截获我以前用过的签名x,不过这个签名中除了我的名字,还有日期时间等信息,是过期作废的。如果有人企图修改这些信息,x里面的数字就会出现伤筋动骨级别的变化,根本无法靠复制粘贴这样的操作来达到鱼目混珠的目的。况且,为了保险起见,任何人都可以要求我编制出他所指定的信息。有趣的是,出题的人并不知道答案是什么,但是看到答案就知道对不对。

如果大家读数学打哈欠了,那么我们换个角度。一千多年前,有人给了我们一套公钥:“苦吟”“炼字”“两句三年得,一吟双泪流”(用“行车太规范,自己两行泪”比较好记)。他用手中的私钥生成一段文字,贴到朋友圈:“松下问童子,言师采药去,只在此山中,云深不知处。”由此,我们可以把这个签名翻译出来:碣石山人贾岛到此一游。

假设不知哪劫哪世,闹市上一人口中念念有词:“十年磨一剑,霜锋未曾试。”您会不会有些疑惑,他是贾岛呢?还是假贾岛呢?

为了做出判定,您可以出题考考他:“到朋友府上去串门,该怎么说?”

您虽然出了题,但您也不知道该写成什么样。但别人写出来,您却可以根据公开的公钥判断回答者是不是贾岛。

如果他不假思索地吟道:“小扣柴扉久不开”,您完全可以膜拜膜拜。这确实是位著名诗人,只不过是宋代的叶绍翁,但不是唐代的贾岛。

如果他迟疑地字斟句酌道:“鸟宿池边树, 僧敲月下门”,那么,恭贺您,贾岛老师本尊穿越过来给您补习功课了!

当然,作诗所用的“私钥”与“公钥”相对而言比较复杂,涉及的模糊因素太多,比较难定义,在这里只是一个比喻。但在数学中,电子签名这一类算法的定义是非常清楚的。其可靠性,是人们多年来数论研究所取得的成果所保障的。

正是这样一批当年看起来很没有用处的纯数学成果,使得我们现在可以在网络上可以安全地从事很多商务活动,大到签署巨额合同文件,小到双十一剁手。

来源:赛先生

编辑:GUOmazing

本文关键词:mob是什么意思,model是什么意思,mode是什么意思,mo是什么意思,数学mod是什么意思。这就是关于《mod是什么意思,数学mod是什么意思(仨数公开俩,也能算密码)》的所有内容,希望对您能有所帮助!

本文链接:https://bk.89qw.com/a-722819

最近发表
网站分类