手机版

百科生活 投稿

word图注怎么添加,word中如何快速添加图注(文档编辑神器之——题注的使用方法)

百科 2026-02-19 02:43:38 投稿 阅读:575次

关于【word图注怎么添加】,word中如何快速添加图注,今天小编给您分享一下,如果对您有所帮助别忘了关注本站哦。

  • 内容导航:
  • 1、word图注怎么添加:word中如何快速添加图注
  • 2、「Word」小技巧07:文档编辑神器之——题注的使用方法

1、word图注怎么添加:word中如何快速添加图注

工具/材料

Word软件

操作方法

首先,请大家打开Word软件,点击页面顶部的“插入”菜单选项,选择“插入-图片”按钮,选择要插入的图片并点击插入到Word文档中。

图片文件插入到Word文件中之后,对图片文件击右键,选择“插入题注”选项。

接下来,在弹出的对话框中,我们点击选择“新建标签”选项。

这里我们输入自己想展示的标签内容,然后点击“确定”按钮。

接下来,如果标签确定之后,软件在插入图片之后将会为我们自动添加编号,我们点击“确定”按钮即可。

最后,我们在刚才插入图片的下方即可看到刚才设置好的图注了。

2、「Word」小技巧07:文档编辑神器之——题注的使用方法

Hello,大家好啊

我是泥萌的小伙伴土豆君(●'◡'●)

在我们制作文档的时候

经常需要给图片加上注释

↓↓↓

word图注怎么添加,word中如何快速添加图注(文档编辑神器之——题注的使用方法)

当你辛辛苦苦排完文档的几十张图片之后

突然发现...

word图注怎么添加,word中如何快速添加图注(文档编辑神器之——题注的使用方法)

中间漏了一张图!!!

word图注怎么添加,word中如何快速添加图注(文档编辑神器之——题注的使用方法)

我每张图片的注释又得改了...

啊啊啊啊啊啊啊啊啊!!

来来来,土豆君告诉你

为图片添加注释并不是简单地在下面输入文字哦~

这就需要用到神器了

word图注怎么添加,word中如何快速添加图注(文档编辑神器之——题注的使用方法)

word图注怎么添加,word中如何快速添加图注(文档编辑神器之——题注的使用方法)

请自动脑补音效_(:з)∠)_

首先,题注是什么?

题注可以为你的图片/表格/公式等等添加注释

题注有什么用?

题注的用处十分广泛

可以使图片进行无重复编号

可以直接生成图表目录

可以使用交叉引用

......

那么,如何添加题注?

题注的插入其实十分简单

对于图片的话,直接【右键】-插入题注】

word图注怎么添加,word中如何快速添加图注(文档编辑神器之——题注的使用方法)

或者点击【引用】选项卡中的【插入题注】也是一样的

word图注怎么添加,word中如何快速添加图注(文档编辑神器之——题注的使用方法)

之后会弹出题注窗口,我们选择标签为【图】

word图注怎么添加,word中如何快速添加图注(文档编辑神器之——题注的使用方法)

如果没有找到【图】的可以点击【新建标签】自定义一个

word图注怎么添加,word中如何快速添加图注(文档编辑神器之——题注的使用方法)

如果你的图片注释需要包含章节标题的(如图1-1)

可以点击【编号】,把【包含章节号】的选项勾上

word图注怎么添加,word中如何快速添加图注(文档编辑神器之——题注的使用方法)

并选择是一级标题还是二级标题

分隔符是”-“还是其他样式,之后点击确定

最后,我们在题注后面可以加上自定义文字

word图注怎么添加,word中如何快速添加图注(文档编辑神器之——题注的使用方法)

点击确定之后,题注就添加完成啦~

word图注怎么添加,word中如何快速添加图注(文档编辑神器之——题注的使用方法)

用同样的方法,把其他大佬的图片题注补上

word图注怎么添加,word中如何快速添加图注(文档编辑神器之——题注的使用方法)

word图注怎么添加,word中如何快速添加图注(文档编辑神器之——题注的使用方法)

除了图片,表格也可以使用同样的方法添加题注

同样是选中整个表格【右键】-【插入题注】

word图注怎么添加,word中如何快速添加图注(文档编辑神器之——题注的使用方法)

将标签改为“表”,再把“章节标题”勾上

word图注怎么添加,word中如何快速添加图注(文档编辑神器之——题注的使用方法)

点击【确定】之后

word图注怎么添加,word中如何快速添加图注(文档编辑神器之——题注的使用方法)

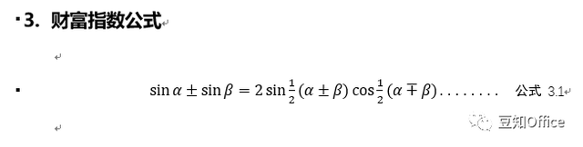
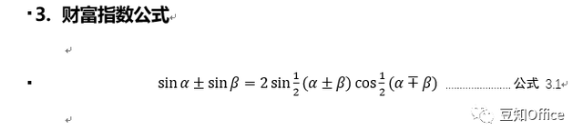
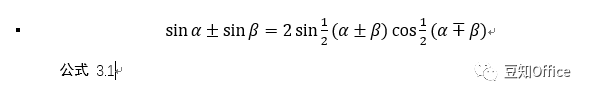
但是公式的话就有点不一样了

因为我们公式的题注和公式本身是在同一行的

word图注怎么添加,word中如何快速添加图注(文档编辑神器之——题注的使用方法)

回想一下我们在讲

原文中此处为链接,暂不支持采集

的时候提到的方法

(点击上方蓝色字详细学习)

我们需要新建一个居中对齐和一个右对齐的制表位

word图注怎么添加,word中如何快速添加图注(文档编辑神器之——题注的使用方法)

在公式前按下【Tab】键使得公式真·居中

然后选中公式,插入题注(只能用引用选项卡下的)

选择【公式】,调整其他参数

word图注怎么添加,word中如何快速添加图注(文档编辑神器之——题注的使用方法)

点击【确定】,在公式的下方就会出现题注

word图注怎么添加,word中如何快速添加图注(文档编辑神器之——题注的使用方法)

这个时候

注意!!

注意!!

我们需要将光标移至公式后方

按下键盘Ctrl+Alt+Enter

插入一个段落合并符号

强行将两行连接在一起

word图注怎么添加,word中如何快速添加图注(文档编辑神器之——题注的使用方法)

如果你显示了编辑标记的话

你会发现中间多了一个方框符号

最后在公式后方(方框前后皆可)

按下【Tab】键使得公式X.x右对齐

word图注怎么添加,word中如何快速添加图注(文档编辑神器之——题注的使用方法)

如果需要加入连接符的话

点击右对齐的制表位

选择第二个前导符

word图注怎么添加,word中如何快速添加图注(文档编辑神器之——题注的使用方法)

word图注怎么添加,word中如何快速添加图注(文档编辑神器之——题注的使用方法)

这样的话,一个公式的题注就算做好啦~

怎么样,这个技能你get到了吗?

-------------------------

word图注怎么添加,word中如何快速添加图注(文档编辑神器之——题注的使用方法)

如果需要在图片下方的段落对图片进行描述

比如”如图1所示“”如表3-1所示“

并且使得该编号和图片的题注链接上

应该怎么操作呢?

答案下回分解(●ˇ∀ˇ●)

------------------------

如果你在使用Word的过程中遇到了什么问题

本文关键词:word怎么添加图注,word图怎么加图注,word中如何快速添加图注和标注,word中怎么加图注,如何在word中添加图注。这就是关于《word图注怎么添加,word中如何快速添加图注(文档编辑神器之——题注的使用方法)》的所有内容,希望对您能有所帮助!

本文链接:https://bk.89qw.com/a-725112

最近发表
网站分类