手机版

百科生活 投稿

什么是风阀执行器,风阀执行器安装位置(阀门执行器及其应用)

百科 2026-04-07 20:29:34 投稿 阅读:2991次

关于【什么是风阀执行器】,风阀执行器安装位置,今天小编给您分享一下,如果对您有所帮助别忘了关注本站哦。

  • 内容导航:
  • 1、阀门执行器及其应用
  • 2、什么是风阀执行器

1、阀门执行器及其应用

执行器的分类:

什么是风阀执行器,风阀执行器安装位置(阀门执行器及其应用)

三种执行器的特点比较:

什么是风阀执行器,风阀执行器安装位置(阀门执行器及其应用)

什么是风阀执行器,风阀执行器安装位置(阀门执行器及其应用)

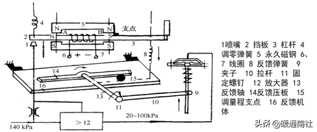
气动执行器:

它是以140kP的压缩空气为能源,以20 ~ 100kP气压信号为输入控制信号;具有结构简单、动作可靠、性能稳定、输出推力大、维修方便、本质安全防暴和价格低廉等特点。

什么是风阀执行器,风阀执行器安装位置(阀门执行器及其应用)

什么是风阀执行器,风阀执行器安装位置(阀门执行器及其应用)

阀芯的正装与反装形成气开、气关:

什么是风阀执行器,风阀执行器安装位置(阀门执行器及其应用)

反作用式气动薄膜控制阀:

什么是风阀执行器,风阀执行器安装位置(阀门执行器及其应用)

四种组合:

什么是风阀执行器,风阀执行器安装位置(阀门执行器及其应用)

电动执行器:

电动执行机构由伺服放大器和执行机构两部分组成。执行机构又包括两相伺服电动机、减速器和位置发送器。

什么是风阀执行器,风阀执行器安装位置(阀门执行器及其应用)

伺服放大器:前置磁放大器、触发器,可控硅主回路及电源等部分。

作用:综合输入信号和反馈信号,并将该结果信号加以放大,使之有足够大的功率来控制伺服电动机的转动。

根据综合后结果信号的极性,放大器应输出相应极性的信号,以控制电动机的正、反运转。

什么是风阀执行器,风阀执行器安装位置(阀门执行器及其应用)

伺服电机:是执行机构的动力部分。

减速器:将高转速、低转矩变成低转速、高转矩。

位置发送器:根据差动变压器的工作原理,利用输出轴的位移来改变铁芯在差动线圈中的位置,以产生反馈信号和位置信号。

操作器:是用来完成手动自动之间的切换、远方操作和自动跟踪无扰动切换等任务。

控制阀的结构特点:

什么是风阀执行器,风阀执行器安装位置(阀门执行器及其应用)

三通控制阀:合流,分流。

什么是风阀执行器,风阀执行器安装位置(阀门执行器及其应用)

角行程式阀芯:

什么是风阀执行器,风阀执行器安装位置(阀门执行器及其应用)

阀门执行器选型:

什么是风阀执行器,风阀执行器安装位置(阀门执行器及其应用)

开-关控制阀门执行器选型需要知道:

对于开-关控制,基于阀权度的选型是没有意义的。

设计流量V100下水泵扬程;

连接阀门水管管径;

阀体所需承担静压等级 PN;

两通还是三通阀;介质温度;

螺纹连接(内螺纹/外螺纹)还是法兰连接;

工作电压AC 230V 还是 AC 24V;

是否需要弹簧复位。

蝶阀选型需要知道的:

用于锅炉或者制冷机的切断阀要求阀门全开时阀门压力损失最小;

设计流量V100 下水泵扬程;

连接阀门水管管径;

阀体所需承担静压等级 PN;介质温度;

工作电压AC 230 V 还是 AC 24 V;

0…10 V模拟量调节还是3位浮点控制。

模拟量控制阀门执行器选型概念:

模拟量控制阀门执行器选型需要基于实际应用情况;

每一个阀门+执行器组合的选型都需要尽量实现与其所控制的换热盘管最匹配;

阀门选型时需要考虑阀权度;

dpmax或者dpS(关闭)>设计工况下水泵扬程 V100。

选型所需的资料:(侧重暖通空调)

阀门标称压力 PN;

动态阀门参数 ∆pvmax [kPa];

阀门线性或等百分比特性;二通或三通阀;

螺纹 (G/I) 或法兰(F)连接;

介质及介质温度℃;

控制信号开关,3点或模拟量(DC 0-10V);

工作电压 AC 230 V 或 AC 24 V;

断电复位或断电持位;流量系数 kvs[m3/h]。

1.阀体公称压力 PN:

控制阀的标称压力应由设计院或工程公司指定。这是因为系统其他部份(如水管,换热机盘管等)须要相同的标称压力。

但设计院怎样设定标称压力 PN:

系统的静庒头+膨胀水箱提供的压力+水泵在全速时的扬程。

应该是:所选阀体静压值大须于系统的静庒头(每十米高度静压头增大1bar)+加压膨胀水箱的压力+ 水泵工作点时的扬程(是管路计算的总压降 )

什么是风阀执行器,风阀执行器安装位置(阀门执行器及其应用)

2.动态阀门參数:

Δpv max,Δpmax 和Δps的定义:

Δpv max表示阀己被设定在动态应用时的压差范围。由阀体、阀座、阀芯、阀杆、密封函等为低噪声及长寿命所决定。

使用一个大推力的驱动器并不表示Δpv max值可以增大,只会使关断压力更大。

Δpmax 表示阀配上驱动器动时动态应用时的范围。该范围永不高于指定的阀体本身的Δpv max。

“关闭压差”或Δps 最高可允许的压差,仍能保证阀门实现安全关闭。该值完全是由驱动器所提供的力量所决定的。

3.阀门线性或等百分比特性:

阀与驱动器组合可提供等百份比及/或线性特性。

不同的特性曲线为了配合换热盘管换热特性,实现理想控制特性曲线。

阀门特性存在最小不可调流量,由可调比定义。

4.螺纹(G/I)或法兰(F)阀门:

大部份小阀门(小于 DN50) 使用螺纹连接. 大阀门须要使用法兰连接,DN65及以上阀门不可以使用螺纹连接;

危险介质、高温高压必须使用法兰连接。

5.介质及介质温度℃:

首先需要确定介质类型,例如:冷冻水、冷却水、饱和蒸汽等等;

介质温差及水流量是根据系统设计冷负荷及热负荷计算得到。用户须提供有关资料。

冷冻水系统一般供水温度为 7℃ 回水温度为12℃。

热水系统根据应用情况有所不同,一般根据水管是否冷、热同管决定最高温度。热水系统温差较大。

什么是风阀执行器,风阀执行器安装位置(阀门执行器及其应用)

6.控制信号开关,3位浮点或模拟量:

模拟量控制是一个高端的应用方案,全方位控制空调机组的换热过程。

3位浮点控制,控制精度较低,一般用于小设备。

2-位(开/关)控制是较便宜及常用于控制小型盘管或设备启/停切换。

7.工作电压 AC 230V或 AC 24V:

AC 24V 通常用在空调机组冷/热盘管结合模拟量、2-位或3-位驱动器。

不需变压器便须使用AC 220V。AC 220V通常在使用温控器控制风机盘管结合2-位及3-位驱动器。

8.断电复位或断电持位:

用户会通知是否须要断电复位。一般默认为断电持位。

如须确保阀门在系统停止操作时关掉(打开),建议使用故障复位的阀及驱动器组合。

防止系统停止时不受控制的循环,冷盘管/冷吊顶产生结露现象。

蒸汽等危险介质时,必须使用快速断电复位功能。

为了系统调试过程同时需要手动功能。

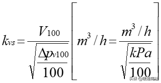
kvs计算:

须获知设计流量V100及阀门全开时压降 Δpv100, 才能计算标称流量kv从而选择最接近流通能力Kvs。

计算可使用选型尺、选型软件或以下方程式:

什么是风阀执行器,风阀执行器安装位置(阀门执行器及其应用)

kvs基本概念(1)-流通能力:

kVS:(m3/h) 指当阀门前后压差为1bar(100kPa)时,阀门处于全开状态(H100),流经阀门的名义水流量 (5...30℃)。

什么是风阀执行器,风阀执行器安装位置(阀门执行器及其应用)

Kvs:可调比的定义SV

什么是风阀执行器,风阀执行器安装位置(阀门执行器及其应用)

Kvs:定义ΔpV100

阀门压力损失ΔpV100的确定被认为是半艺术半经验的过程。

因此很多情况下很难知道ΔpV100。

如果ΔpV100未知,询问调节阀所在回路中变流量部分的压力损失ΔpMV。

在不知道任何参数的情况下,根据最常用水力回路确定ΔpV100。

什么是风阀执行器,风阀执行器安装位置(阀门执行器及其应用)

kvs控制目标:

什么是风阀执行器,风阀执行器安装位置(阀门执行器及其应用)

盘管特性:盘管特性受a 值影响,根据a 值不同,盘管的换热能力随之改变。

阀门特性:当阀权度PV=1时,其特性为理论上的线性或等百分比曲线,而当阀权度小于1,特性曲线也会改变。

在一个闭环控制回路中,最终热量输出近似为控制信号的线性函数。

kvs基本概念(2)—阀权度:

阀门动作过程中,对阀门本身的特性曲线有影响,因为随着阀门的关闭或打开,其两端的压力损失是一起改变的。

阀门全开与全关时两端压力损失之比我们称之为阀权度(或叫做压降比)

在整个支路中,阀门阀权度:PV=△pV100/△pVR

注意:对于三通阀的阀权度:PV=△pV100/(△pV100+△pMV)

什么是风阀执行器,风阀执行器安装位置(阀门执行器及其应用)

kvs基本概念(3)—a 值:

什么是风阀执行器,风阀执行器安装位置(阀门执行器及其应用)

什么是风阀执行器,风阀执行器安装位置(阀门执行器及其应用)

阀权度与换热器特性组合:

什么是风阀执行器,风阀执行器安装位置(阀门执行器及其应用)

kvs选择:

控制阀系列提供不同Kvs值,它是以几何级数增加。

所以己计算的Kvs值很多时并不存在相应同数值的控制阀。

阀门以更小的Kvs数值是可增加可控性但会增加阀门的压力损失。

通常,我们建议使用一个Kvs较接近己计算的值。

所有计算是使用设计流量及在设计流量通过时的压降。

定义阀门kVS值的公式:

什么是风阀执行器,风阀执行器安装位置(阀门执行器及其应用)

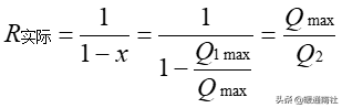
控制阀的可调比:

控制阀的可调比就是控制阀所能控制的最大流量与最小流量之比。可调比也称为可调范围,用R表示。

什么是风阀执行器,风阀执行器安装位置(阀门执行器及其应用)

1.理想可调比:当控制阀上压差一定时,这时的可调比称为理想可调比。

2.实际可调比:控制阀在实际工作时,与管路系统相串联或与旁路阀相并联,此时的可调比就称为实际可调比。

(1)串联管道时的可调比:

什么是风阀执行器,风阀执行器安装位置(阀门执行器及其应用)

ΔPmax为控制阀全关时阀前后的压差(近似等于系统的总压差);

ΔPmin为控制阀全开时阀前后的压差;

S为控制阀全开时阀前后压差与系统总压差之比。

什么是风阀执行器,风阀执行器安装位置(阀门执行器及其应用)

(2)并联管道时的可调比:

什么是风阀执行器,风阀执行器安装位置(阀门执行器及其应用)

什么是风阀执行器,风阀执行器安装位置(阀门执行器及其应用)

什么是风阀执行器,风阀执行器安装位置(阀门执行器及其应用)

控制阀的流量特性:

什么是风阀执行器,风阀执行器安装位置(阀门执行器及其应用)

什么是风阀执行器,风阀执行器安装位置(阀门执行器及其应用)

1.理想流量特性:

什么是风阀执行器,风阀执行器安装位置(阀门执行器及其应用)

2.工作流量特性:

在实际使用时,控制阀安装在管道上,与其它设备串联,或者与旁路管道并联,因而控制阀前后的压差是变化的。此时,控制阀的相对流量与阀芯相对开度之间的关系称为工作流量特性。

串联管道的工作流量特性:

什么是风阀执行器,风阀执行器安装位置(阀门执行器及其应用)

并联管道的工作流量特性:

什么是风阀执行器,风阀执行器安装位置(阀门执行器及其应用)

图中S′为阀全开时的工作流量与总管最大流量之比。

根据实际经验,S′的值不能低于0.8。

阀门定位器:

提高阀杆位置的线性度,克服阀杆的摩擦力,消除被控介质压力变化与高压差对阀位的影响;

增加执行机构的动作速度,改善控制系统的动态特性;

可用20~100kPa的标准信号压力去操作40~200kPa的非标准号压力的气动执行机构;

可实现分程控制,用一台控制仪表去操作两台控制阀;

可实现反作用动作;可修正控制阀的流量特性;

可使活塞执行机构和长行程执行机构的两位式动作变为比例式动作;

采用电/气阀门定位器后,可用4~20mADC电流信号去操作气动执行机构,一台电/气阀门定位器具有电/气转换器和气动阀门定位器的双重作用。

气动阀门定位器:

气动阀门定位器接受由气动控制器或电/气转换器转换的控制器的输出信号,然后产生和控制器输出信号成比例的气压信号,用以控制气动执行器。

什么是风阀执行器,风阀执行器安装位置(阀门执行器及其应用)

电/气阀门定位器实际上是电气转换器和阀门定位器的组合。先看电气转换器的动作原理:

什么是风阀执行器,风阀执行器安装位置(阀门执行器及其应用)

电/气阀门定位器将来自控制器或其它单元的4~20mADC电流信号转换成气压信号去驱动执行机构。同时,从阀杆的位移取得反馈信号,构成具有阀位负反馈的闭环系统,因而不仅改善了执行器的静态特性,使输入电流与阀杆位移之间保持良好的线性关系;而且改善了气动执行器的动态特性,使阀杆的移动速度加快,减少了信号的传递滞后。

什么是风阀执行器,风阀执行器安装位置(阀门执行器及其应用)

气动薄膜控制阀主要性能指标:

什么是风阀执行器,风阀执行器安装位置(阀门执行器及其应用)

执行器的安装与维护

执行器的安装:

执行器应安装在便于调整、检查和拆卸的地方。在保证安全生产的同时也应该考虑节约投资、整齐美观。这里介绍一些安装的原则。

执行器最好是正立垂直安装于水平管道上。

执行器应安装在靠近地面或楼板的地方,在其上、下方应留有足够的间隙。

选择执行器的安装位置时,应采取其前后有不小于10D(D为管道直径)的直管段。

控制阀安装在管道上时,阀体上的箭头方向与管道中流体流动方向应相同。如果控制阀的口径与管道的管径不同时,两者之间应加一个渐缩管来连接。

为防止执行机构的薄膜老化,执行器应尽量安装在远离高温、振动、有毒、及腐蚀严重的场地。

当生产现场有检测仪表时,控制阀应尽量与其靠近,以利于调整。外要注意工艺过程对控制阀位置的要求。

为了安全起见,控制阀应加旁通管路,并装有切断阀及旁路阀。以便在控制阀发生故障或维修时,通过旁路使生产过程继续进行。

旁路组合的形式较多,现举常用的四种方案如图所示。

什么是风阀执行器,风阀执行器安装位置(阀门执行器及其应用)

(a)是过去习惯采用的方案,旁路可以自动放空,但由于两个切断阀与控制阀在一根管线上,难于拆卸、安装,且所占空间大。

(b)这种方案比较好,布置紧凑,占地面积小,便于拆卸。

(c)这种形式也比较好,便于拆卸,但占地面积比(b)大一些。

(d)这种方案只适用于小口径控制阀,否则执行器安装位置高,拆装不便。

执行器的正常工作与维护检修有很大关系。日常维护工作主要是观察阀的工作状态,使填料密封部分保持良好的润滑状态。定期检修能够及时发现问题并更换零件。维护检修时重点检查的部位是:

阀体内壁;阀座;阀芯;膜片和“O”形密封;

密封填料。

电动执行器的维护:

角行程电动执行器按照运动方式分为:角行程、直行程和多转式。

角行程和直行程执行器大部分是在多转式的基础之上改造而来的:

以多转式为基础,配以蜗轮蜗杆二级减速箱组成0~90°角行程电动执行机构;配以丝杆部件组成直行程电动执行机构。

角行程:0~90°角行程,用于控制球阀、旋塞阀、蝶阀和百叶阀之类的角行程阀门;

多回转电动执行器多转式:需要运行超过360°才能实现阀门的启闭,主要用于截止阀、管夹阀和隔膜阀;

直行程:输出的是力,产生的是位移,主要用于闸阀和滑板阀。

常用于配套各种阀门构成电动阀门或者电动调节阀(例如:闸阀、调节阀、单座阀等直线运动的阀门)。

以AC 交流电或DC 直流电为驱动能源;根据动作方式分为两大类(电动开关型和电动调节型)。

优点是能源取用方便,信号传输速度快,传输距离远,便于集中控制,灵敏度和精度较高,与电动调节仪表配合方便,安装接线简单。

缺点是结构复杂,平均故障率高于气动执行机构,适用于防爆要求不高,气源缺乏的场所。

一.指示灯故障

1.故障现象:

给电动执行机通电后发现电源指示灯不亮,伺放板无反馈,给信号不动作。

故障判断和检修过程:

因电源指示灯不亮,首先检查保险管是否开路,经检查保险管完好,综合故障现象,可以推断故障有可能发生在伺放板的电源部分,接着检查电源指示灯,用万用表检测发现指示灯开路,更换指示灯故障排除。

结论:电源指示灯开路会造成整个伺放板不工作。

2.故障现象:

电动执行器的执行机构通电后,给信号开可以,关不动作。

故障判断和检修过程:

先仔细检查反馈线路,确认反馈信号无故障,给开信号时开指示灯亮,说明开正常,给关信号时关指示灯不亮,说明关可控硅部分有问题,首先检查关指示灯,用万用表检测发现关指示灯开路,将其更换后故障排除。

结论:关和开指示灯不亮(开路)时可控硅不动作。

二.电阻电容

1.故障现象:

执行机构通电后,给定一个信号(例75%),执行机构会全开到底,然后回到指定位置

(75%)。

故障判断和检修过程:

根据以上故障现象,首先要判断是伺放板和执行机构那一个有问题。将伺放板从执行机构上拆下,直接将电源线接到X5/1和X5/4端子上,执行机构关方向动作,将电源线接到X5/1和X5/2 端子上,执行机构开方向动作,如果执行机构动作不正常,说明故障在执行器上。

用万用表测电机绕组正常,再测电容两边的电阻发现有一个开路,将其更换后故障排除。

结论:遇到以上故障现象时,首先要判断故障发生在那一个部分上,最后确定根源。

2.故障现象:

执行机构通电后给关信号(4mA)执行机构先全开后再全关。

故障判断和检修过程:

先拆除伺放板,直接给执行机构通电发现仍然存在原故障,检查电阻,电阻阻值正常,说明电阻没问题,检查电机绕组,发现阻值正常,电机没问题。由此故障推断有可能电容坏,重新更换电容,故障排除。

结论:出现该问题时首先怀疑电阻和电容。

三.其它

1、故障现象:

现场只要送AC220V 电源,保护开关立即动作(跳闸)执行机构伺放保险已烧。

故障判断和检修过程:

首先用万用表检测执行机构上的电机绕组,发现电机绕组的电阻趋向于零,说明电机已短路,再检测抱闸两端电阻,电阻趋向于无穷大,说明抱闸已坏,正常应是1.45K左右。最终的处理办法是:更换新的抱闸和电机,把伺放板的保险管装上,重新调试,恢复正常运作。

结论:此情况应是由于抱闸坏了之后把电机抱死而现场没有及时发现,使电机长期处于堵转发热,工作最终使电机相间绝缘破坏所导致的。

2、故障现象:

执行机构的动作方向不受输入信号的控制。

故障判断和检修过程:

先检查两个限流电阻和移相电容均没有异常,用万用表检查电机的绕组阻值,发现电机的电阻值为1.45MΩ(且不时地发生变化),说明电机绕组不对,最终的办法是更换了这台电机。

3、故障现象:

执行机构的动作方向不受伺放板的控制。

故障判断和检修过程:

首先让用户用万用表检测两个限流电阻和移相电容及电机的绕组阻值,发现其中一个限流电阻开路。

影响执行机构转向的三个因素就是①电机本身的绕组;②限流电阻;③移相电容,以后发生这种情况都有要从这三方面考虑。

4 故障现象:无论现场给什么信号电机都不动作。

故障判断和检修过程:

直接在电机绕组间通电,电机也不传,抱闸拆下通电电机还是不转,检测电机绕组阻值均正常,手轮摇执行机构动作正常。检测的结果都正常就是通电时电机不转,此时怀疑电机的转子,把电机拆开,发现转子用手都拧不动,原来转子和电机端盖之间已有一层坚固的灰,把这层灰清除之后,加上一点润滑油,用手就可以拧动了。重新把电机装好并与执行机构配合装上,通电正常,重新调试。

本文来源于互联网,暖通南社整理编辑 。

2、什么是风阀执行器

什么是风阀执行器?

风阀执行器概述:

风阀执行器是用来调节控制风阀,广泛应用于采暖、通风、空调、制冷等楼宇自控系统。

风阀执行器主要用于定风量或变风量(VAV)的风阀控制。电动执行器工作电压AC24V,标称扭矩16Nm,带故障安全位置复位弹簧,调节控制信号DC0~10V,位置反馈指示信号DC0~10V,机械调节范围0…90度,预留0.9米长连接电缆。

型号变化主要在于是否带有用于设置偏置,区间的可调控制信号,以及用于辅助功能的可调辅助开关。

产品特点:

直接安装,不需要联动装置,节省安装时间及费用。

电气过载保护电路具有限流功能,无需限位开关,减少了电机的功率消耗,提高了驱动器的可靠性。

手动开关控制,简化了设备的现场调整,允许紧急状态下的手动定位。

特殊轴环设计,为现场调整轴角提供了简便的方法。

位置指示,挡板压片的位置一目了然。

风阀执行器工作原理

风阀执行器的工作原理:

通过控制电路对风门的开关及动作进行调节。执行器电压有多种选择,扭矩输出根据开关型、三态浮点型和调节性等控制类型的不同而有所差异。 风阀执行器,也称风门执行器;一般风系统控制上使用较为常见。

电动执行器的工作原理:

电动执行机构的工作原理都是利用电机的正反转来实现阀门的开关。

电动执行器的优点:

1、缺少压缩空气作为动力源。在阀门较少的情况下有电动执行器比较划算。

2、对阀门开关时间要求不高。

3、不经常动作的开关阀、调解阀(电动阀对连续工作时间、开关频次都有限制)。

扩展资料:

电动风阀由角形程电子式电动执行器和蝶形阀调节两部分构成,这种机电一体化的设计可以同时实现开度信号位置反馈、位置指示、手动操作等功能,可以说是功能强大、性能可靠、控制精准。

多应用在具有通风和环保工程中的冷风或者热风气体管道中,具体行业为化工、建材、电站、玻璃制品等等。电动风阀的密封圈采用与阀体相同的高强度材料紧密加工而成,有良好的稳定性。还具有结构简单、操作力矩小、重量轻的优点 ,并且启闭相应迅速、动作灵活、操作力矩小、流通能力大、等特点也是用户良好反应的原因之一。能够适用于粉尘、烟气、空气、以及含有悬浮颗粒的流体及浓浊、浆状流体的控制与调节,所以说在工控元件中算是强大实用元件。

风门执行器的工作原理是什么?

1、空调风门执行器是指带动空调不同的风门运行的一种小微电机。

2、手动空调是用过拉丝来带动的,电动或自动空调就是通过这种微电机来带动的。

注:

如果不知道空调风门是什么的话,就不好说了,空调的各种模式,比如吹面吹脚除霜等都是风门在不同位置来调节的,还有温度冷热也是

风门执行器主要是通过微电机驱动齿轮系减速,然后带动输出齿轮旋转,输出一定的转速和扭矩来驱动摇臂。其旋转位置通过装配在输出齿轮上的弹刷来控制,弹刷在电路板上的位置决定去旋转角度,其控制电路一般有3种,一种是靠驱动芯片控制的,如8050P,这种电机主要用在模式风门上;一种是靠反馈电压来确定输出齿轮旋转位置的,这种方式电路板上都带一段碳膜,面板通过弹刷反馈的电压值来控制角度,这种电机一般用在模式或者温度风门上,还有一种是直接通过铜膜与弹刷的通断来控制2个极限点,这样的电机一般用在新回风风门上。

本文关键词:风阀执行器内部结构,什么是风阀执行器管理,什么是风阀执行器的作用,风阀执行器怎么调开关到位,风阀执行器接线图原理。这就是关于《什么是风阀执行器,风阀执行器安装位置(阀门执行器及其应用)》的所有内容,希望对您能有所帮助!

本文链接:https://bk.89qw.com/a-759233

最近发表
网站分类