手机版

百科生活 投稿

全国43所军校分数线排名,全国43所军校分数线排名四川(2022年各省份军校录取分数出炉)

百科 2026-02-06 11:51:28 投稿 阅读:8314次

关于【全国43所军校分数线排名】,全国43所军校分数线排名四川,今天小编给您分享一下,如果对您有所帮助别忘了关注本站哦。

  • 内容导航:
  • 1、2022年各省份军校录取分数出炉!23考生重点参考
  • 2、全国43所军校分数线排名

1、2022年各省份军校录取分数出炉!23考生重点参考

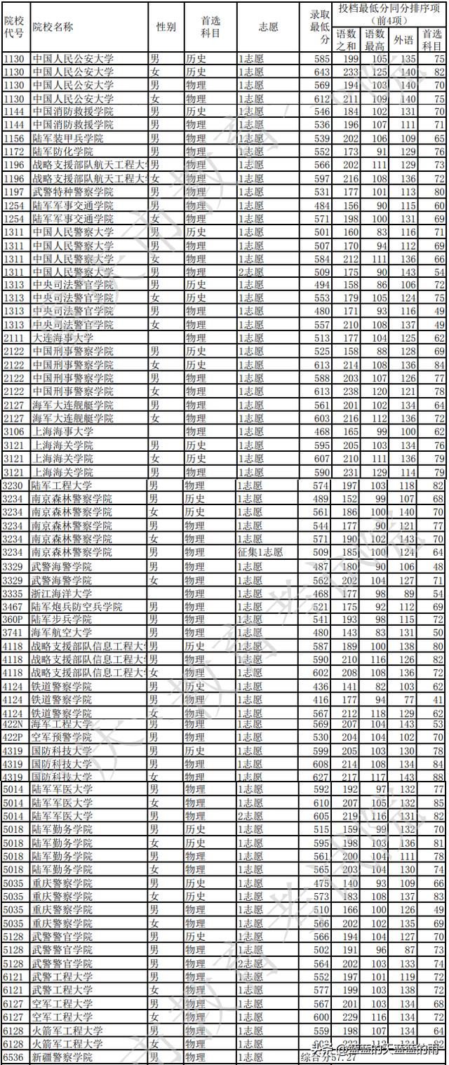
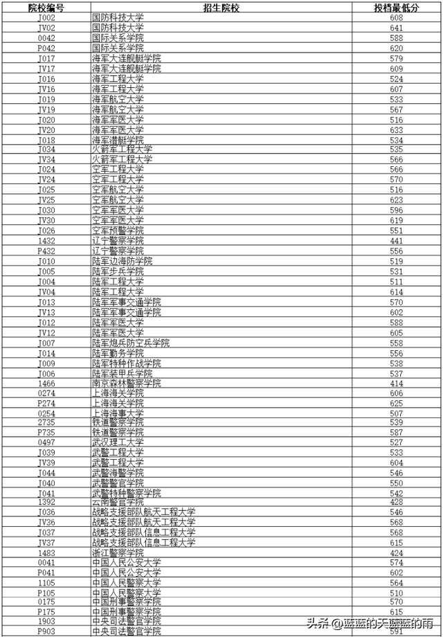
今天为大家整理了全国各省市军校投档分数,想考军校的考生重点参考。一起来看看吧

详情如下:

北 京

全国43所军校分数线排名,全国43所军校分数线排名四川(2022年各省份军校录取分数出炉)

天 津

全国43所军校分数线排名,全国43所军校分数线排名四川(2022年各省份军校录取分数出炉)

重 庆

全国43所军校分数线排名,全国43所军校分数线排名四川(2022年各省份军校录取分数出炉)

湖 北历史组:

全国43所军校分数线排名,全国43所军校分数线排名四川(2022年各省份军校录取分数出炉)

物理组:

全国43所军校分数线排名,全国43所军校分数线排名四川(2022年各省份军校录取分数出炉)

辽 宁

历史组:

全国43所军校分数线排名,全国43所军校分数线排名四川(2022年各省份军校录取分数出炉)

物理组:

全国43所军校分数线排名,全国43所军校分数线排名四川(2022年各省份军校录取分数出炉)

吉林

全国43所军校分数线排名,全国43所军校分数线排名四川(2022年各省份军校录取分数出炉)

江 西

全国43所军校分数线排名,全国43所军校分数线排名四川(2022年各省份军校录取分数出炉)

四 川

文科:

全国43所军校分数线排名,全国43所军校分数线排名四川(2022年各省份军校录取分数出炉)

理科:

全国43所军校分数线排名,全国43所军校分数线排名四川(2022年各省份军校录取分数出炉)

江苏

历史类

全国43所军校分数线排名,全国43所军校分数线排名四川(2022年各省份军校录取分数出炉)

物理类

全国43所军校分数线排名,全国43所军校分数线排名四川(2022年各省份军校录取分数出炉)

广 东

历史:

全国43所军校分数线排名,全国43所军校分数线排名四川(2022年各省份军校录取分数出炉)

物理:

全国43所军校分数线排名,全国43所军校分数线排名四川(2022年各省份军校录取分数出炉)

广西

全国43所军校分数线排名,全国43所军校分数线排名四川(2022年各省份军校录取分数出炉)

湖南

全国43所军校分数线排名,全国43所军校分数线排名四川(2022年各省份军校录取分数出炉)

全国43所军校分数线排名,全国43所军校分数线排名四川(2022年各省份军校录取分数出炉)

安 徽

全国43所军校分数线排名,全国43所军校分数线排名四川(2022年各省份军校录取分数出炉)

山东

全国43所军校分数线排名,全国43所军校分数线排名四川(2022年各省份军校录取分数出炉)

河北

全国43所军校分数线排名,全国43所军校分数线排名四川(2022年各省份军校录取分数出炉)

河南

全国43所军校分数线排名,全国43所军校分数线排名四川(2022年各省份军校录取分数出炉)

陕西

全国43所军校分数线排名,全国43所军校分数线排名四川(2022年各省份军校录取分数出炉)

山西

全国43所军校分数线排名,全国43所军校分数线排名四川(2022年各省份军校录取分数出炉)

黑 龙 江

全国43所军校分数线排名,全国43所军校分数线排名四川(2022年各省份军校录取分数出炉)

贵 州

文科:

全国43所军校分数线排名,全国43所军校分数线排名四川(2022年各省份军校录取分数出炉)

全国43所军校分数线排名,全国43所军校分数线排名四川(2022年各省份军校录取分数出炉)

全国43所军校分数线排名,全国43所军校分数线排名四川(2022年各省份军校录取分数出炉)

理科:

全国43所军校分数线排名,全国43所军校分数线排名四川(2022年各省份军校录取分数出炉)

全国43所军校分数线排名,全国43所军校分数线排名四川(2022年各省份军校录取分数出炉)

全国43所军校分数线排名,全国43所军校分数线排名四川(2022年各省份军校录取分数出炉)

全国43所军校分数线排名,全国43所军校分数线排名四川(2022年各省份军校录取分数出炉)

青 海

全国43所军校分数线排名,全国43所军校分数线排名四川(2022年各省份军校录取分数出炉)

宁 夏

文科:

全国43所军校分数线排名,全国43所军校分数线排名四川(2022年各省份军校录取分数出炉)

理科:

全国43所军校分数线排名,全国43所军校分数线排名四川(2022年各省份军校录取分数出炉)

新疆

全国43所军校分数线排名,全国43所军校分数线排名四川(2022年各省份军校录取分数出炉)

内蒙古

全国43所军校分数线排名,全国43所军校分数线排名四川(2022年各省份军校录取分数出炉)

END

2、全国43所军校分数线排名

全国43所军校分数线排名

全国43所军校分数线排名如下:第一名、解放军国防科技大学31个本科专业、96硕士学科专业、51个博士学科专业、13个博士后流动站、10个国家重点学科、6个部委级重点学科、5个“奖励计划”特聘教授岗位、“211工程、985工程”重点高校。第二名、解放军信息工程大学54个本科专业、17个硕士点、2个博士后流动站、4个重点学科。

第四名、解放军理工大学29个本科专业、26个硕士点、3个博士后流动站、4个军内重点学科。第五名、海军工程大学20个本科专业、18个硕士点、2个博士后流动站。第六名、解放军二炮工程学院13个本科专业、14个硕士点、1个博士后流动站、1个军内重点学科。第七名、海军大连舰艇学院8个本科专业指挥。

第八名、空军雷达学院21个本科专业。第九名、石家庄陆军指挥学院7个专业培养陆军基层指挥军官。第十名、装甲兵工程学院本、专科专业31个,硕士博士点14个。

军事院校排名以及录取分数线20

军事院校排名以及录取分数线2021:
1.中国人民解放军国防科技大学,2021年最低录取分数线为617分。
2.中国人民解放军信息工程大学,2021年最低录取分数线为516分。

军事类院校指军队所属的以培养军事人才为主要任务的学历教育院校和非学历教育院校,包括综合型院校、指挥院校、工程技术院校、军事医学院校、士官学校等,其中指挥院校又分为高级指挥院校、中级指挥院校、初级指挥院校。军事院校是培养军事人才的主要场所。

全国有哪些军校,录取分数是多少?

全国面向地方高考生招生的院校有四十几所,每省都有一个明确的提前录取线,近几年的提前录取线大多以二本线为准,过线后才会按照计划录取数的三倍由高分到低分进行投档。技术类军事院校提档线一般在一本以上,指挥类录取分数稍低,但随着军校热录取分数也在逐年增高,因此,想比较有把握的考取军校,最好能达到一本以上。

本文关键词:全国43所军校分数线排名安徽,全国43所军校分数线排名厦门,全国43所军校分数线排名湖南,全国43所军校排名榜,全国43所军校分数线排名河北。这就是关于《全国43所军校分数线排名,全国43所军校分数线排名四川(2022年各省份军校录取分数出炉)》的所有内容,希望对您能有所帮助!

本文链接:https://bk.89qw.com/a-759483

最近发表
网站分类