手机版

百科生活 投稿

三角形法则和平行四边形法则,三角形法则和平行四边形法则的熟练运用(高中数学必修4知识点总结)

百科 2025-10-17 10:47:05 投稿 阅读:9431次

关于【三角形法则和平行四边形法则】,三角形法则和平行四边形法则的熟练运用,今天涌涌小编给您分享一下,如果对您有所帮助别忘了关注本站哦。

  • 内容导航:
  • 1、高中数学必修4知识点总结
  • 2、平行四边形法则和三角形法则是一样吗?
  • 3、平行四边形定则和三角形定则
  • 4、平行四边形定则和三角形定则有什么区别。。。

1、高中数学必修4知识点总结

三角形法则和平行四边形法则,三角形法则和平行四边形法则的熟练运用(高中数学必修4知识点总结)

第一章

三角函数

三角形法则和平行四边形法则,三角形法则和平行四边形法则的熟练运用(高中数学必修4知识点总结)三角形法则和平行四边形法则,三角形法则和平行四边形法则的熟练运用(高中数学必修4知识点总结)三角形法则和平行四边形法则,三角形法则和平行四边形法则的熟练运用(高中数学必修4知识点总结)三角形法则和平行四边形法则,三角形法则和平行四边形法则的熟练运用(高中数学必修4知识点总结)三角形法则和平行四边形法则,三角形法则和平行四边形法则的熟练运用(高中数学必修4知识点总结)三角形法则和平行四边形法则,三角形法则和平行四边形法则的熟练运用(高中数学必修4知识点总结)三角形法则和平行四边形法则,三角形法则和平行四边形法则的熟练运用(高中数学必修4知识点总结)三角形法则和平行四边形法则,三角形法则和平行四边形法则的熟练运用(高中数学必修4知识点总结)三角形法则和平行四边形法则,三角形法则和平行四边形法则的熟练运用(高中数学必修4知识点总结)三角形法则和平行四边形法则,三角形法则和平行四边形法则的熟练运用(高中数学必修4知识点总结)

第二章

平面向量

16、向量:既有大小,又有方向的量.

数量:只有大小,没有方向的量.

有向线段的三要素:起点、方向、长度.

零向量:长度为 0的向量.

单位向量:长度等于1个单位的向量.

平行向量(共线向量):方向相同或相反的非零向量.

(零向量与任一向量平行.)

相等向量:长度相等且方向相同的向量.

17、向量加法运算:

(1)三角形法则的特点:首尾相连.

三角形法则和平行四边形法则,三角形法则和平行四边形法则的熟练运用(高中数学必修4知识点总结)

(2)平行四边形法则的特点:共起点.

三角形法则和平行四边形法则,三角形法则和平行四边形法则的熟练运用(高中数学必修4知识点总结)

18、向量减法运算:

(1)三角形法则的特点:共起点,连终点,方向指向被减向量.

三角形法则和平行四边形法则,三角形法则和平行四边形法则的熟练运用(高中数学必修4知识点总结)三角形法则和平行四边形法则,三角形法则和平行四边形法则的熟练运用(高中数学必修4知识点总结)三角形法则和平行四边形法则,三角形法则和平行四边形法则的熟练运用(高中数学必修4知识点总结)三角形法则和平行四边形法则,三角形法则和平行四边形法则的熟练运用(高中数学必修4知识点总结)三角形法则和平行四边形法则,三角形法则和平行四边形法则的熟练运用(高中数学必修4知识点总结)

第三章

 三角形法则和平行四边形法则,三角形法则和平行四边形法则的熟练运用(高中数学必修4知识点总结)

三角恒等变换

三角形法则和平行四边形法则,三角形法则和平行四边形法则的熟练运用(高中数学必修4知识点总结)

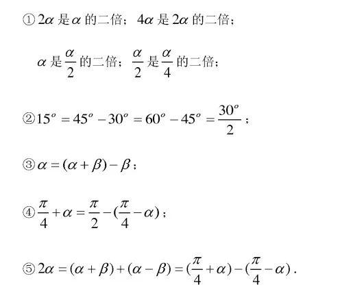
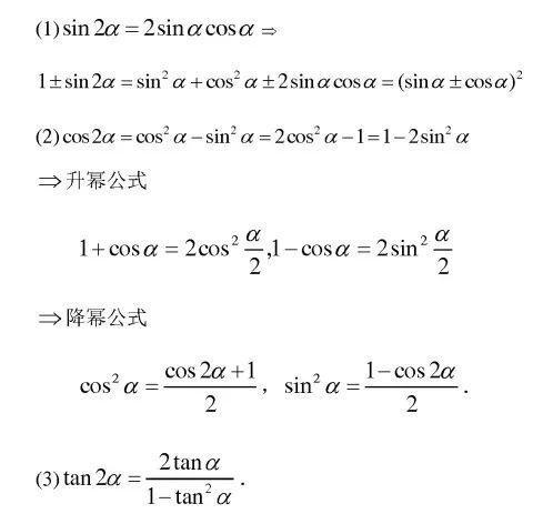
25、二倍角的正弦、余弦和正切公式:

三角形法则和平行四边形法则,三角形法则和平行四边形法则的熟练运用(高中数学必修4知识点总结)三角形法则和平行四边形法则,三角形法则和平行四边形法则的熟练运用(高中数学必修4知识点总结)三角形法则和平行四边形法则,三角形法则和平行四边形法则的熟练运用(高中数学必修4知识点总结)三角形法则和平行四边形法则,三角形法则和平行四边形法则的熟练运用(高中数学必修4知识点总结)

28、三角函数式的化简运算通常从“角、名、形、幂”四方面入手,基本规则是:见切化弦,异角化同角,复角化单角,异名化同名,高次化低次,无理化有理,特殊值与特殊角的三角函数互化.

同学们要学会根据条件,灵活运用三角公式,掌握化简运算的方法和技巧,从而解决问题.常用的变换技巧如下:

(1)角的变换:

在三角化简、求值、证明中,表达式中往往出现较多的相异角,观察条件与结论中角的差异,根据角与角之间的和、差、倍、半、互补、互余等关系对三角函数式进行化简.常见的角的变换有:

三角形法则和平行四边形法则,三角形法则和平行四边形法则的熟练运用(高中数学必修4知识点总结)

(2)函数名称变换:

在三角函数中正余弦是基础,通常可以化切为弦,从而达到化异名函数为同名函数的目的.

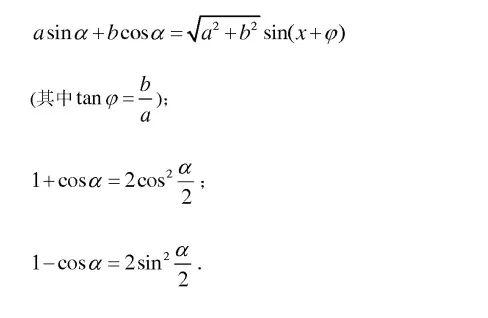
(3)常数代换:

在三角函数运算、求值、证明中,有时需要将常数转化为三角函数值,例如常数“1”的代换变形有:

三角形法则和平行四边形法则,三角形法则和平行四边形法则的熟练运用(高中数学必修4知识点总结)三角形法则和平行四边形法则,三角形法则和平行四边形法则的熟练运用(高中数学必修4知识点总结)三角形法则和平行四边形法则,三角形法则和平行四边形法则的熟练运用(高中数学必修4知识点总结)

--END--

三角形法则和平行四边形法则,三角形法则和平行四边形法则的熟练运用(高中数学必修4知识点总结)三角形法则和平行四边形法则,三角形法则和平行四边形法则的熟练运用(高中数学必修4知识点总结)

2、平行四边形法则和三角形法则是一样吗?

平行四边形法则:

这一法则通常表述为:以表示两个向量的有向线段为邻边作一平行四边形,该两邻边之间的对角线即表示两个向量的和.

三角形法则:

把两个向量中的一个平移,使它们首尾相接,再用一个有向线段与两个向量连接成一个三角形,第三边就是合向量。

三角形定则与平行四边形定则的实质是一样的,都是矢量运算法则的表述方式。

3、平行四边形定则和三角形定则

平行四边形法则

求两个互成角度的共点力的合力,可以用表示这两个力的线段为邻边作平行四边形,这两个邻边之间的对角线就表示合力的大小和方向,这种方法就叫做“力的平行四边形法则”.

我们知道加、减、乘、除的算术运算,是用来计算两个以上的标量的,如质量、面积、时间等.例如,求密度就要用体积去除质量.标量之间的运算不需要特别的手续,只有一个要求,那就是单位要一致.

但是,矢量相加就要用特别的方法,因为被加的量既有一定数值,又有一定的方向,相加时两者要同时考虑.在力学中经常遇到的矢量有位移、力、速度、加速度、动量、冲量、力矩、角速度和角动量等.

矢量的加法有两种:其一即所谓三角形法则;另一方法即平行四边形法则,它们本质是一样的.若用三角形法则求总位移似乎直观些,而用平行四边形法则求力的合成好象更便于理解.

若用3毫米代表1公里.如图1-1所示的那样,以纸面上某点A作为

三个力.在分析物体受力情况时,不能同时考虑合力与分子对物体的作用.例如,当物体沿光滑斜面下滑时,不能说物体除受到重力和斜面的弹力作用外,还受到一个下滑力的作用.因为下滑力是重力沿斜面平行方向的分力,所以,只能说“在光滑斜面上下滑的物体,受到重力和斜面弹力的作用”.有的人认为:“合力总比分力大”.我们可利用求合力的平行四边形法则,通过作图可看到,合力的大小是随两分力夹角而变化的,绝不能说“合力一定要比分力大”.

一个矢量,只要遵守平行四边形法则,可以分解为两个,或无穷个.但是和矢量的合成不同,两个矢量只能合成为一个矢量.

4、平行四边形定则和三角形定则有什么区别。。。

平行四边形法则与三角形法则都是用于向量(物理称矢量)加法的运算法则,

其主要区别是:用平行四边形法则来求和的的两个向量需要把起点重合在一起,然后以它们两个为邻边作平行四边形;而三角形法则,需要把两个向量首尾相接。

本文关键词:什么是三角形法则和平行四边形法则,三角形法则和平行四边形法则的联系,受力分析三角形法则和平行四边形法则,向量三角形法则和平行四边形法则,三角形法则和平行四边形法则公式。这就是关于《三角形法则和平行四边形法则,三角形法则和平行四边形法则的熟练运用(高中数学必修4知识点总结)》的所有内容,希望对您能有所帮助!

本文链接:https://bk.89qw.com/a-774401/

最近发表
网站分类