手机版

百科生活 投稿

四川师范大学公费师范生录取线2021,四川川师大学校2021年录取分数线(2021四川师范大学录取分数)

百科 2026-02-07 22:23:56 投稿 阅读:5913次

关于【四川师范大学公费师范生录取线2021】,四川川师大学校2021年录取分数线,今天小编给您分享一下,如果对您有所帮助别忘了关注本站哦。

  • 内容导航:
  • 1、四川川师大学校2021年录取分数线
  • 2、四川师范大学体育生录取分数线20
  • 3、四川师范大学历年体育录取分数线
  • 4、2021四川师范大学录取分数

1、四川川师大学校2021年录取分数线

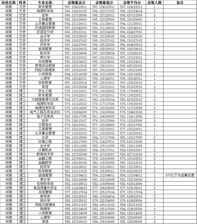
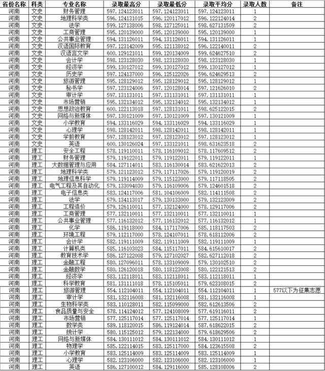
2021年四川师范大学在海南综合的最低录取分数线为663分四川师范大学,简称“川师大”,位于四川省会成都市,国家首批“中西部高校基础能力建设工程”重点建设高校,是四川省举办本科师范教育最早、师范类院校中办学历史最为悠久的省属重点大学,四川省“双一流”建设计划高校,入选国家卓越教师培养计划、卓越工程师教育培养计划、国家级新工科研究与实践项目、国创计划、四川2011计划,是师范生公费教育政策实施院校、全国深化创新创业教育改革示范高校、教育部人文社会科学重点研究基地、国家级一流本科专业建设点、中俄“长江—伏尔加河”高校联盟、成渝地区双城经济圈高校联盟成员,拥有推荐免试研究生资格。

2、四川师范大学体育生录取分数线20

四川师范大学体育生录取分数线2021是415分。四川师范大学(Sichuan Normal University)简称"川师大"(SICNU),位于四川省会成都市,是国家“中西部高校基础能力建设工程”重点建设高校,入选“四川省“双一流”建设计划”、教育部“卓越教师培养计划 ”、四川省”2011计划、卓越工程师教育培养计划”、国家级“新工科研究与实践项目”,为国家公费师范生培养院校、全国深化创新创业教育改革示范高校、国家大学生文化素质教育基地、是四川省举办本科师范教育最早、师范类院校中办学历史最为悠久的省属重点大学,教育部人文社会科学重点研究基地,拥有研究生院和推荐免试研究生资格。

3、四川师范大学历年体育录取分数线

4、2021四川师范大学录取分数

四川师范大学公费师范生录取线2021,四川川师大学校2021年录取分数线(2021四川师范大学录取分数)

四川师范大学公费师范生录取线2021,四川川师大学校2021年录取分数线(2021四川师范大学录取分数)

四川师范大学公费师范生录取线2021,四川川师大学校2021年录取分数线(2021四川师范大学录取分数)

四川师范大学公费师范生录取线2021,四川川师大学校2021年录取分数线(2021四川师范大学录取分数)

四川师范大学公费师范生录取线2021,四川川师大学校2021年录取分数线(2021四川师范大学录取分数)

四川师范大学公费师范生录取线2021,四川川师大学校2021年录取分数线(2021四川师范大学录取分数)

四川师范大学公费师范生录取线2021,四川川师大学校2021年录取分数线(2021四川师范大学录取分数)

四川师范大学公费师范生录取线2021,四川川师大学校2021年录取分数线(2021四川师范大学录取分数)

四川师范大学公费师范生录取线2021,四川川师大学校2021年录取分数线(2021四川师范大学录取分数)

四川师范大学公费师范生录取线2021,四川川师大学校2021年录取分数线(2021四川师范大学录取分数)

四川师范大学公费师范生录取线2021,四川川师大学校2021年录取分数线(2021四川师范大学录取分数)

四川师范大学公费师范生录取线2021,四川川师大学校2021年录取分数线(2021四川师范大学录取分数)

四川师范大学公费师范生录取线2021,四川川师大学校2021年录取分数线(2021四川师范大学录取分数)

四川师范大学公费师范生录取线2021,四川川师大学校2021年录取分数线(2021四川师范大学录取分数)

四川师范大学公费师范生录取线2021,四川川师大学校2021年录取分数线(2021四川师范大学录取分数)

四川师范大学公费师范生录取线2021,四川川师大学校2021年录取分数线(2021四川师范大学录取分数)

四川师范大学公费师范生录取线2021,四川川师大学校2021年录取分数线(2021四川师范大学录取分数)

四川师范大学公费师范生录取线2021,四川川师大学校2021年录取分数线(2021四川师范大学录取分数)

四川师范大学公费师范生录取线2021,四川川师大学校2021年录取分数线(2021四川师范大学录取分数)

四川师范大学公费师范生录取线2021,四川川师大学校2021年录取分数线(2021四川师范大学录取分数)

四川师范大学公费师范生录取线2021,四川川师大学校2021年录取分数线(2021四川师范大学录取分数)

四川师范大学公费师范生录取线2021,四川川师大学校2021年录取分数线(2021四川师范大学录取分数)

四川师范大学公费师范生录取线2021,四川川师大学校2021年录取分数线(2021四川师范大学录取分数)

四川师范大学公费师范生录取线2021,四川川师大学校2021年录取分数线(2021四川师范大学录取分数)

四川师范大学公费师范生录取线2021,四川川师大学校2021年录取分数线(2021四川师范大学录取分数)

四川师范大学公费师范生录取线2021,四川川师大学校2021年录取分数线(2021四川师范大学录取分数)

四川师范大学公费师范生录取线2021,四川川师大学校2021年录取分数线(2021四川师范大学录取分数)

四川师范大学公费师范生录取线2021,四川川师大学校2021年录取分数线(2021四川师范大学录取分数)

四川师范大学公费师范生录取线2021,四川川师大学校2021年录取分数线(2021四川师范大学录取分数)

四川师范大学公费师范生录取线2021,四川川师大学校2021年录取分数线(2021四川师范大学录取分数)

四川师范大学公费师范生录取线2021,四川川师大学校2021年录取分数线(2021四川师范大学录取分数)

四川师范大学公费师范生录取线2021,四川川师大学校2021年录取分数线(2021四川师范大学录取分数)

四川师范大学公费师范生录取线2021,四川川师大学校2021年录取分数线(2021四川师范大学录取分数)

四川师范大学公费师范生录取线2021,四川川师大学校2021年录取分数线(2021四川师范大学录取分数)

四川师范大学公费师范生录取线2021,四川川师大学校2021年录取分数线(2021四川师范大学录取分数)

四川师范大学公费师范生录取线2021,四川川师大学校2021年录取分数线(2021四川师范大学录取分数)

四川师范大学公费师范生录取线2021,四川川师大学校2021年录取分数线(2021四川师范大学录取分数)

四川师范大学公费师范生录取线2021,四川川师大学校2021年录取分数线(2021四川师范大学录取分数)

四川师范大学公费师范生录取线2021,四川川师大学校2021年录取分数线(2021四川师范大学录取分数)

四川师范大学公费师范生录取线2021,四川川师大学校2021年录取分数线(2021四川师范大学录取分数)

四川师范大学公费师范生录取线2021,四川川师大学校2021年录取分数线(2021四川师范大学录取分数)

四川师范大学公费师范生录取线2021,四川川师大学校2021年录取分数线(2021四川师范大学录取分数)

四川师范大学公费师范生录取线2021,四川川师大学校2021年录取分数线(2021四川师范大学录取分数)

四川师范大学公费师范生录取线2021,四川川师大学校2021年录取分数线(2021四川师范大学录取分数)

四川师范大学公费师范生录取线2021,四川川师大学校2021年录取分数线(2021四川师范大学录取分数)

四川师范大学公费师范生录取线2021,四川川师大学校2021年录取分数线(2021四川师范大学录取分数)

四川师范大学公费师范生录取线2021,四川川师大学校2021年录取分数线(2021四川师范大学录取分数)

四川师范大学公费师范生录取线2021,四川川师大学校2021年录取分数线(2021四川师范大学录取分数)

四川师范大学公费师范生录取线2021,四川川师大学校2021年录取分数线(2021四川师范大学录取分数)

四川师范大学公费师范生录取线2021,四川川师大学校2021年录取分数线(2021四川师范大学录取分数)

四川师范大学公费师范生录取线2021,四川川师大学校2021年录取分数线(2021四川师范大学录取分数)

四川师范大学公费师范生录取线2021,四川川师大学校2021年录取分数线(2021四川师范大学录取分数)

四川师范大学公费师范生录取线2021,四川川师大学校2021年录取分数线(2021四川师范大学录取分数)

国家专项

四川师范大学公费师范生录取线2021,四川川师大学校2021年录取分数线(2021四川师范大学录取分数)

地方专项

四川师范大学公费师范生录取线2021,四川川师大学校2021年录取分数线(2021四川师范大学录取分数)

高校帮扶专项

四川师范大学公费师范生录取线2021,四川川师大学校2021年录取分数线(2021四川师范大学录取分数)

普通类本科一批

四川师范大学公费师范生录取线2021,四川川师大学校2021年录取分数线(2021四川师范大学录取分数)

【体育类】

四川师范大学公费师范生录取线2021,四川川师大学校2021年录取分数线(2021四川师范大学录取分数)

【非西藏生源定向西藏就业】

四川师范大学公费师范生录取线2021,四川川师大学校2021年录取分数线(2021四川师范大学录取分数)

【本科层次职业教育人才培养改革试点】

四川师范大学公费师范生录取线2021,四川川师大学校2021年录取分数线(2021四川师范大学录取分数)

【公费师范生艺术类】

四川师范大学公费师范生录取线2021,四川川师大学校2021年录取分数线(2021四川师范大学录取分数)

【公费师范生体育类】

四川师范大学公费师范生录取线2021,四川川师大学校2021年录取分数线(2021四川师范大学录取分数)

【公费师范生普通类】

四川师范大学公费师范生录取线2021,四川川师大学校2021年录取分数线(2021四川师范大学录取分数)

【少数民族预科】

四川师范大学公费师范生录取线2021,四川川师大学校2021年录取分数线(2021四川师范大学录取分数)

【一类模式预科】

四川师范大学公费师范生录取线2021,四川川师大学校2021年录取分数线(2021四川师范大学录取分数)

【一类模式特殊需求预科】

四川师范大学公费师范生录取线2021,四川川师大学校2021年录取分数线(2021四川师范大学录取分数)

【艺术】

四川师范大学公费师范生录取线2021,四川川师大学校2021年录取分数线(2021四川师范大学录取分数)

【艺术--中外合作办学】

本文关键词:川师范学校的分数线2021,四川川师大学校2021年录取分数线是多少,四川川师大学校2021年录取分数线是多少分,2021年川师大高考录取分数线,川师大录取分数线是多少。这就是关于《四川师范大学公费师范生录取线2021,四川川师大学校2021年录取分数线(2021四川师范大学录取分数)》的所有内容,希望对您能有所帮助!

本文链接:https://bk.89qw.com/a-775269

最近发表
网站分类