手机版

百科生活 投稿

lda故障是什么意思,lda故障是什么意思 车上(深入了解LDA以及其在推荐系统上的引用)

百科 2025-12-21 23:46:34 投稿 阅读:5856次

关于【lda故障是什么意思】,lda故障是什么意思 车上,今天小编给您分享一下,如果对您有所帮助别忘了关注本站哦。

  • 内容导航:
  • 1、深入了解LDA以及其在推荐系统上的引用
  • 2、丰田显示lda故障,lda故障是什么意思
  • 3、凌志汽车es300h仪表lda是什么意思?
  • 4、lda是什么意思车上;lda故障是什么意思

1、深入了解LDA以及其在推荐系统上的引用

作者:Kung-Hsiang, Huang

编译:ronghuaiyang

导读

LDA是文档分类上的经典算法,如何应用到推荐系统上,大家可以看看。

lda故障是什么意思,lda故障是什么意思 车上(深入了解LDA以及其在推荐系统上的引用)

Latent Dirichlet Allocation(LDA)是一种无监督发现语料库底层主题的主题建模算法。它已被广泛应用于各种领域,特别是在自然语言处理和推荐系统中。这篇博文将带你从LDA的概况介绍到详细的技术说明,最后我们将讨论LDA在推荐系统上的应用!

概要介绍

LDA是语料库/文档的生成概率模型。它基于“词袋”假设,即词语和文档是可互换的。也就是说,忽略了文档中文字的顺序,或者忽略了文档的顺序。其基本思想是每个文档都是由不同的主题组合而成,而每个主题的是通过单词的分布来描述。

lda故障是什么意思,lda故障是什么意思 车上(深入了解LDA以及其在推荐系统上的引用)

每个文档都由一个主题分布组成

lda故障是什么意思,lda故障是什么意思 车上(深入了解LDA以及其在推荐系统上的引用)

每个主题都用单词的分布来表示

LDA假设单个文档的生成都是通过从每个文档中抽取主题,然后从每个抽取的主题中抽取单词来生成的。为了获得单词和主题的适当分布,我们可以使用Gibbs Sampling、Maximum a Posteriori (MAP)或expect Maximization (EM)来训练LDA。

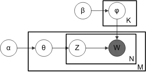
Plate表示法

为了更深入一点,让我们讨论一下LDA的符号表示法。在贝叶斯推理中,Plate表示法是一种图形化的表示随机变量抽样的重复过程的方法。每个plate可以看作是一个“循环”,其中plate右下角的变量表示循环的迭代次数。下面是LDA的Plate表示法。

lda故障是什么意思,lda故障是什么意思 车上(深入了解LDA以及其在推荐系统上的引用)

LDA plate 表示法

在上面的图中有两个组件。上面的plate,有K个主题,这些主题的词的狄利克雷分布由超参数β控制。同样,下面的表格描述了有M个文档,每个文档包含N个单词。灰色的圆圈w是观察到的单词,圆圈代表不同的潜在变量。z指的是与w相关联的主题,θ是文档主题的狄利克雷分布,由另一个超参数⍺控制。

生成过程

现在我们大致了解了如何通过plate表示法来生成文档。让我们用数学来表示它。

  1. 从狄利克雷分布(θ_i ~ Dir(⍺),i从1到M)中采样θ
  2. 从另一个狄利克雷分布(φ_k ~ Dir(β) k从1到K)中采样φ
  3. 从z_ij ~ Multinomial(θ_i) 采样,从w_ij ~ Multinomial(φ_z_ij) 中采样,i从1到M,j从1到N

以《纽约时报》为例。首先,对于每个新闻文章,我们对整个文档的主题分布θ_i_进行采样。对每个主题中词的分布φ_k_进行采样。然后,对于每个文档中的词j,我们从给定的主题分布Multinomial(θ_i)中得到一个主题z_ij,然后从给定的词的分布Multinomial(φ_z_ij)中的到w_ij,并基于w_ij采样得到一个单词。这个过程通过下面的图来表示。

lda故障是什么意思,lda故障是什么意思 车上(深入了解LDA以及其在推荐系统上的引用)

生成过程的可视化

狄利克雷分布

我们一直把狄利克雷作为黑盒子,却没有给出任何解释。让我们简要地讨论一下狄利克雷分布背后的直觉。一个k维狄利克雷分布由一个k维参数向量控制。下面我们展示一个狄利克雷分布的三维例子。基本思想是,alpha值越大,分布被推到中心的概率越大。这种分布使得确定与主题/文档相关联的单词/主题的部分具有很高的灵活性,因为一些主题/文档可能与一组很大的单词/主题相关联,而其他的可能不相关联。

lda故障是什么意思,lda故障是什么意思 车上(深入了解LDA以及其在推荐系统上的引用)

狄利克雷分布

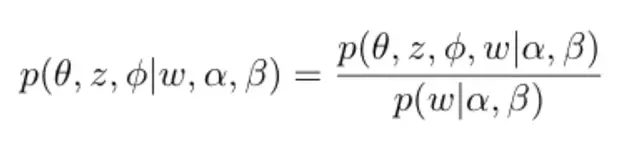
学习

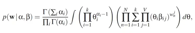
学习LDA模型的问题称为“推理”问题。给定观测变量w,以及超参数⍺和β,我们如何估计潜变量的后验概率。

lda故障是什么意思,lda故障是什么意思 车上(深入了解LDA以及其在推荐系统上的引用)

然而,分母中计算的积分在计算上是很麻烦的。

lda故障是什么意思,lda故障是什么意思 车上(深入了解LDA以及其在推荐系统上的引用)

因此,必须使用近似推理。常用的方法是吉布斯抽样和变分推论。在这篇文章中,我们将重点讨论前者。

吉布斯抽样

利用吉布斯采样,我们可以避免直接计算棘手的积分。基本的想法是,我们想从p (w |⍺,β)中采样来估计这个分布,但我们不能直接这样做。相反,Gibbs抽样允许我们迭代地计算一个潜在变量的后验值,同时固定所有其他变量。通过这种方式,我们可以获得后验分布p(θ, z, φ| w, ⍺, β)。

对于每次迭代,我们交替采样w,⍺,β,并固定所有其他变量。算法如下面的伪代码所示:

For i from 1 to MaxIter:

  1. Sample θ_i} ~p(θz= z_{i-1, φ = φ_{i-1}w, ⍺, β)
  2. Sample z_i} ~p(zθ =θ_{i, φ = φ_{i-1}w, ⍺, β)
  3. Sample φ_i} ~p(φθ = θ_{i, z= z_{i}w, ⍺, β)

由于来自早期迭代的样本不稳定,我们将丢弃样本的第一个B次迭代,称为“老化”。

LDA在推荐系统上的应用

LDA通常用于两种情况下的推荐系统:

  1. 协同过滤(CF)
  2. 基于内容的推荐

协同过滤

当LDA应用于基于物品的CF时,物品和用户类似于我们一直在讨论的文档和单词(基于用户的CF正好相反)。换句话说,每个物品都与用户组(主题)上的分布相关联,每个用户组都是用户的分布。使用LDA,我们可以发现用户和物品之间的隐藏关系。

基于内容的推荐

第二个应用是基于内容的推荐,非常简单。我们不只是利用普通的TF-IDF来提取每个物品的文本数据的特征向量,而且还通过LDA来对这些文本数据的主题进行建模。下面提供了用于训练LDA和推断给定文档主题的示例代码。

from gensim.test.utils import common_textsfrom gensim.corpora.dictionary import Dictionaryfrom gensim.models import LdaModel# Create a corpus from a list of textscommon_dictionary = Dictionary(common_texts)common_corpus = [common_dictionary.doc2bow(text) for text in common_texts]# Train the model on the corpus.lda = LdaModel(common_corpus, num_topics=10)

训练LDA

# infer the topic distribution of the second corpus.lda[common_corpus[1]]'''output[(0, 0.014287902), (1, 0.014287437), (2, 0.014287902), (3, 0.014285716), (4, 0.014285716), (5, 0.014285714), (6, 0.014285716), (7, 0.014285716), (8, 0.014289378), (9, 0.87141883)]'''

推断主题的分布向量

总结

在这篇博文中,我们讨论了LDA从高层到详细的数学解释。另外,我们还讨论了LDA在推荐系统上的应用,并提供了如何使用的示例代码。我希望这篇文章对你有帮助,下次再见:)

2、丰田显示lda故障,lda故障是什么意思

     丰田仪表上显示的LDA是指车道偏离预警系统。当车辆偏离行驶的道路时,汽车就会发生“滴滴”的警示音,并且方向盘会发生小幅度的抖动,从而提醒驾驶员注意安全驾驶。仪表上显示LDA故障是指失去车道偏离预警功能的意思。

      

LDA车道偏离预警系统是什么

      车道偏离预警系统是一种通过自动报警提示的方式,辅助驾驶员减少汽车因车道偏离而发生交通事故的系统。车道偏离预警系统由图像处理芯片、控制器、传感器等组成。

      

如何开启(关闭)车道偏离预警系统

      通常情况下,车道偏离预警系统都是处于开启状态,但也可以手动控制其是否开启。它的开启或者关闭只需要轻触中控台上(一些车型设置在方向盘上)的一个按钮即可。

      

车道偏离预警系统什么情况下会介入

      当车速在60km/h以上,驾驶员因为注意力分散而偏离车道,摄像头监测到车辆偏离车道,就会通过液晶仪表盘和蜂鸣声进行预警,这个功能在生活中很实用,可以避免许多由于车道偏离带来的事故。但如果驾驶员是提前打开转向灯,正常进行变线行驶的,那么车道偏离预警系统就不会做出任何提示。

3、凌志汽车es300h仪表lda是什么意思?

凌志汽车es300h仪表lda是提示驾驶员车辆的电子车身牵引力控制系统被关闭了,这个功能是车辆启动时默认开启的,有一个汽车标志的OFF键进行关闭,这个按键位于车内的操作面板上,使用这个按键的具体操作步骤如下:

1、踩下凌志汽车es300h的刹车踏板。

2、按下凌志汽车es300h的一键启动键。

3、凌志汽车es300h的仪表亮起,全车电源接通。

4、按下凌志汽车es300h的牵引力关闭键。

5、此时的凌志汽车es300h在雨雪路面行驶时可能出现侧滑危险。

4、lda是什么意思车上;lda故障是什么意思

lda是什么意思车上 lda是车道偏离预警系统,当车辆偏离行驶的行道时,汽车就会发生“滴滴”的警示音,并且方向盘会发生小幅度的抖动,从而提醒驾驶员注意安全驾驶。

关于车道偏离预警系统:

车道偏离预警系统是一种通过报警的方式辅助驾驶员减少汽车因车道偏离而发生交通事故的系统。车道偏离预警系统由图像处理芯片、控制器、传感器等组成。

一般来说,车道偏离预警系统都是默认开启的,当车辆偏离行驶的行道时,汽车就会发生“滴滴”的警示音,从而提醒驾驶员注意安全驾驶。

截止到2019年10月,市面上的一些中高档汽车都配备了车道偏离预警系统,从而辅助驾驶员的驾驶,在一定程度上提高了行车的安全性。但是,车道偏离预警系统总归是一种辅助系统,真正决定驾车安全的还是驾驶员本身。

当驾驶员在驾驶汽车的时候,一定要遵守交通规则,不超速驾驶、不随意变道。当然,如果需要跑长途,驾驶员也一定不要疲劳驾驶,每驾驶4个小时左右就必须停车休息一次,防止行车的过程中产生安全隐患。

lda故障是什么意思

这是丰田旗下的车型才有的故障灯,这个故障灯亮起后代表车道偏离预警系统出现了故障。丰田是一个来自日本的汽车制造厂商,丰田旗下有很多车型都已经被国产了。丰田旗下被国产的车型有荣放, 汉兰达 ( 查成交价 | 车型详解 ),亚洲龙,雷凌,卡罗拉等。

汉兰达是一款中型suv,这款车的长宽高分别是4890毫米,1925毫米,1720毫米,轴距为2790毫米。

汉兰达使用了一款2.0升涡轮增压发动机,这款发动机的代号为8AR-FTS,这款发动机的最大功率为162kw,最大扭矩为350牛米,这款发动机的最大功率转速为5200到5600转每分钟,最大扭矩转速为1800到4000转每分钟。这款发动机搭载了vvt-iw技术和混合喷射技术,并且使用了铝合金缸盖缸体。

使用铝合金缸盖缸体可以降低发动机的重量,这样可以提高汽车的操控性和燃油经济性。

与这款发动机匹配的是6at变速箱。

使用6at变速箱可以提高汽车的换挡平顺性和燃油经济性。

并且6at变速箱的可靠性耐用性也是更好的。

汉兰达的前悬架使用了麦弗逊独立悬架,后悬架使用了e型多连杆独立悬架。

多连杆悬架可以提高汽车的操控性和乘坐舒适性。 (图/文/摄: 问答叫兽)

本文关键词:lda故障是什么意思是否能正常行驶,lda 故障,lda灯亮是什么意思,雷克萨斯lda故障是什么意思,lda故障是什么意思 车上。这就是关于《lda故障是什么意思,lda故障是什么意思 车上(深入了解LDA以及其在推荐系统上的引用)》的所有内容,希望对您能有所帮助!

本文链接:https://bk.89qw.com/a-799907

最近发表
网站分类