手机版

百科生活 投稿

模糊数学法,模糊数学世界未必非黑即白

百科 2026-02-07 09:25:34 投稿 阅读:1973次

关于【模糊数学法】,今天涌涌小编给您分享一下,如果对您有所帮助别忘了关注本站哦。

俗话说“鱼和熊掌不可兼得”,这句话看似还是蛮有道理的。但是谁能说有了鱼就不可以获得熊掌,有了熊掌就不能有鱼啊?如果我们有一群人,有人买了熊掌,有人买了鱼,然后在聚会中一起享用,这不就鱼和熊掌都得到了吗?只不过就是带来一个问题,你吃的食物中,到底吃了多少鱼,吃了多少熊掌?比如说,30%是吃的熊掌,70%是吃的鱼,不论如何,在这种情况下,鱼和熊掌都能妥妥地兼得了。

其实,我们当下的事情,并不是“非黑即白”,更多的是各种不确定的组合。我可以大胆地说:低数商的才做选择,高数商的两者都要,只是分配比例多少的问题!今天这篇文章,我就给大家科普一门新的数学学科——模糊数学!

模糊数学法,模糊数学世界未必非黑即白

当你听了这个名字,也许就觉得怎么这门学科这么奇怪的?数学不是应该很精确、严谨的吗,为什么还会有模糊的数学呢,这不就是自相矛盾吗?当然,也会有另一种声音,普通的数学研究的是确定性,都已经这么烧脑了,那要研究模糊数学,这么多模糊的东西,那不就更复杂了吗?说到这里,你先不要被“模糊”这个词给唬住。我想要告诉你,其实《模糊数学》真的非常简单,而且非常地实用。

《模糊数学》是当今数学领域最年轻的一门学科,它诞生于1965年,距离现在也仅仅是50多年的历史而已,相对于古老的几何学、还有经典的微积分,还有近代的概率论这些前辈而言,它只能算是“熊孩子”而已。除了在大学研究课题的以外,在社会上研究数学的人,真心不多;再把研究数学领域的人都筛选出来,找出研究模糊数学的,那更加是珍稀动物了。但是,在看本文的你,就认识我这么一个奇葩,我不但研究《模糊数学》,而且一直用《模糊数学》来指导着我的工作与生活。

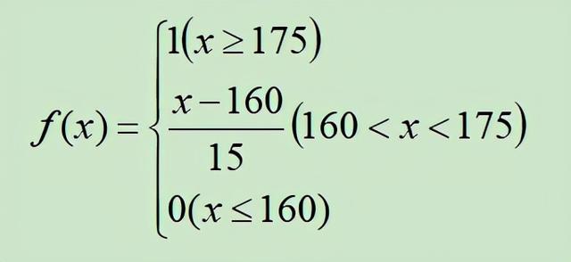
那么,模糊数学到底是怎么的一回事呢?我先举个简单的例子,你认为一个小伙子有多高,就算是高个子呢?假如综合了大家的意见,都认为身高只要超过175,就算是高个子,对吧。那么,要是有人抬杠说,174算不算高个子?OK,要是你同意了,那还有人进一步抬杠,173、172……算不算高个子呢?说实在的,这样抬杠,就真的是没完没了。在概率论里边,有一个“假设检验”,设定一个“真与假”的边界。在什么地方,可以推翻“高个子”的边界呢?我们可以把边界,强制划分在160。也就说,只要身高是160,我们就一票否决,他绝对不是高个子!

模糊数学法,模糊数学世界未必非黑即白

那么问题来了,160.01到174.99这是一个比较尴尬的范围,你可以抬杠说是高个子,但你也可以一票否决说并不高。这个时候,模糊数学就可以解决我们这个问题了。我们建立一个数学模型,用x表示身高,f(x)表示他算不算高个子。那么,身高大于175的时候,f(x)=1;身高小于160的时候,f(x)=0。这个不难理解吧?在这个尴尬的范围内,我们就根据身高,列出一个线性的函数,f(x)=(x-160)/15,根据x的值来求解。如果身高173,f(x)=0.9333;身高170,那么f(x)=0.6667;如果身高是162,f(x)=0.1333!

由此可见,只要离175越近,f(x)越接近于1;离175越远,f(x)越接近于0。这个问题就有解了,到底173算不算高个子?你可以认为算,但不是百分百,属于高个子的程度是0.9333!在模糊数学中,给到它一个名称,就是“隶属度”,也就是说,身高173是高个子的隶属度是0.9333,明白了吗?那么,162算不算高个子?我们也可以认为他算,但隶属度很低,仅有0.1333。本来是一个非黑即白的概念,就这样瞬间量化清楚了。咱们整理出一个公式:

模糊数学法,模糊数学世界未必非黑即白

同样的道理,如果我们要找工作,目标是找一份月薪5000元的工作。当你面试完一家公司后,对方给你抛出橄榄枝,月薪是4800元,你愿意干这份工作吗?或者说,差了200元也有点远了,要是月薪4950元呢?有的人就说“不行,没有5000的工作,我宁可不干”,好吧,这是你的自由。

有时候也未必这么较真,一定要拿这个作为硬性的分界线,其实这个价钱还是可以商量的。但是,4800可以的话,是不是意味着4700、4600都可以呢?那当然不能没完没了,所以也要给自己设置一个隶属函数f(x),只要到了一个底线,比如说4700这样子,就是低于4700就绝对是没商量的。4700到4999这个范围内,还可以商量。具体的数学模型,你可以按照我前面给的公式,照葫芦画瓢。

当然,以上我所介绍的,仅仅是模糊数学中最简单的部分,其实模糊数学的应用范围可广呢!记得当年读大学的时候,《模糊数学》就是我最喜欢的一门课,没有之一!大家知道,它的魅力有多大吗?当下的大数据算法,比如说人脸识别、千人千面等,其底层逻辑就是概率论、统计分析等工具;但是,我相信这些同样可以用模糊数学算法再做一遍

模糊数学可以用在什么方面呢?模糊识别,其实我们自己不知不觉也在用这个算法,比如说看到一个人穿着西装,我们就能估计,他肯定大多数都在唬人的。我更有这个体会,看到那些微信头像,是穿着西装的艺术照,我就识别出,他一定是耍口才圈钱的成功学追随者,而不是真材实料的。

还有就是模糊聚类分析。我们经常听说的一句话“道不同,不相为谋”,与此相反的就是“不是一家人,不进一家门”,这其实指的就是聚类分析。为什么“道不同不相为谋”,说白了并不一定你们完全没有交集,只不过有交集的隶属度比较低,多半是低于0.1这样子,就意味着你跟这个圈子的交集可以忽略了。为什么是“不是一家人,不进一家门”,这说明了你跟这个圈子非常同频,哪怕隶属度不是妥妥的等于1,但至少都非常接近于1,退一步来说,好歹也大于及格线0.6这样子吧。

模糊数学法,模糊数学世界未必非黑即白

我经常用到的,就是模糊综合评判。什么是模糊综合评判呢?你要判断一个人是否靠谱,往往都是很主观地说“靠谱”或者“不靠谱”,这都是很片面的。模糊综合评判这个工具指导着我们,客观地去评判一个人。或者说,别人叫你做一个项目,说稳赚钱的,你做不做呢?当你学会了“模糊综合评判”,那就不是谁说了算,而是由数据说了算。模糊综合评判主要有几个步骤,首先就是确立你要评判的指标,然后就给到每一个人或者物体打分结合你对每个指标的权重,进行一个综合评分。具体怎么去建立数学模型,由于篇幅关系,改天有机会给再给大家分享。

本文关键词:模糊数学法过程包括,模糊数学法首先要确定的三个集合分别是,模糊数学法水质评价,模糊数学法怎么用在定量分析,模糊数学法归一化处理。这就是关于《模糊数学法,模糊数学世界未必非黑即白》的所有内容,希望对您能有所帮助!

本文链接:https://bk.89qw.com/a-805596

最近发表
网站分类