手机版

百科生活 投稿

一张图看数学简史,趣谈数学史上的几大奇观

百科 2026-02-11 04:59:47 投稿 阅读:7791次

关于【一张图看数学简史】,今天小编给您分享一下,如果对您有所帮助别忘了关注本站哦。

数学史的发展和其它学科有着许多相同的地方,即存在许多奇异的想法或追求完美的理想,其原因在于或者理论知识发展的局限性,或者社会制度、宗教等的因素。但是这些思想的出现对于推动数学的进步是积极的。

一张图看数学简史,趣谈数学史上的几大奇观

一、尺规作图

在中学我们就知道,几何作图严格局限于圆规和无刻度直尺。这种限制从古希腊一直延续至今。为什么?古希腊认为,所有图形都是由直线和圆弧构成的,圆是最完美的图形。他们确信仅靠圆规和直尺就可以绘出图形来。他们还认为,依据少量假设,通过逻辑把握的东西最可靠。

如求线段AB的中点步骤为:1、以A为圆心,以一适当的长度为半径画弧;2、以B为圆心,以同样长度的半径画弧;3、两弧交于两点,作两点连线,其与AB的交点即为AB的中点。

一张图看数学简史,趣谈数学史上的几大奇观

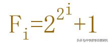
17世纪,法国业余数学家费马提出了猜想:形如

一张图看数学简史,趣谈数学史上的几大奇观

是素数!i=0,1,2,3,4时Fi是的确如此。而i=5时F5 是不是素数, 则在差不多100年后才由伟大的欧拉证明它不是素数!

F5=641×6700417.看来,验证一个大数是否为素数是一个多么困难的事啊!迄今为止,人们只知道F1,F2,F3, F4,是素数。人们又猜想费马素数只有有限个,但仍是一个未解问题。在欧拉之后60年,德国数学家高斯20岁时发现了正多边形的边数是费马素数时是可以用尺规作图的,并且得到一般性结论:正n边形可尺规作图的充分必要条件是:

一张图看数学简史,趣谈数学史上的几大奇观

由此我们知道正7边形是不可以尺规作图的!因为7不是费马素数。而正17边形(属于高斯,80多页),正257边形(200多页)是可以用尺规作图的。高斯的墓碑上刻着一个正17边形。大家可以验证3,5,17,257是否为费马素数。

古希腊流传下来的还有三大几何作图难题:1、化圆为方;2、倍立方问题;3、三等分角问题。

它们的解决实际上都促进了几何与代数,也就是现在的解析几何的产生与发展。上述三个问题都是不可能的!

一张图看数学简史,趣谈数学史上的几大奇观

1、化圆为方,因为π是超越无理数。是不可作几何量。

化圆为方是古希腊尺规作图问题之一,即:求一正方形,其面积等于一给定圆的面积。由π为超越数可知,该问题仅用直尺和圆规是无法完成的。但若放宽限制,这一问题可以通过特殊的曲线来完成。如西皮阿斯的割圆曲线,阿基米德的螺线等。几千年前,数学家们就接近化圆为方来,但是这些早期的长寿都基本于一个假设,那就是π能够表示为两个整数的比值。现在人们不仅知道π是无理数,而且在19世纪的时候就已经证明了它是超越数。几个世纪以前,数学家们已经相互独立的证明了超越数不可能由直尺和圆规构造出来,明确地解决了这个问题。

尺规作图只能进行四则运算和开平方,对作为超越数的 π 无能为力。但这并不能阻挡某些“数学爱好者”的脚步。

达•芬奇的“解法”

有人跳坑,也就肯定有人耍点小聪明绕道而行。达•芬奇这位聪明人就想了一个很简单的办法:假设圆半径为 r,造一个半径为 r 高度为 r/2 的圆柱体,它的侧面面积恰好就是 πr 2 。接下来就好办了,用绳子把圆柱体的“腰围”和“身高”量一下,放到纸上形成一个矩形,然后用直尺圆规来将这个矩形化为正方形就好了。这个方法相当狡猾,用“度量”的方法巧妙避开了“作出 π 的平方根”这个问题。当然,在欧几里德这些希腊人的眼中,这种方法只是取巧,因为一来不精确,二来太犯规,用了直尺圆规以外的工具。即使用直尺和圆规来度量也不行,尺规作图的规定就是,直尺只能拿来画直线,圆规则是画圆,它们不能有“度量”的功能。

2、倍立方问题

因为三次根号2是不可作几何量。在公元前430年,古希腊的小岛 Delos 流行瘟疫(太阳神阿波罗干的),人们向神使求助,得到的解决方案是把阿波罗神殿前的立方体祭坛的体积扩大1倍。如果原立方体的棱长为1,新立方体的棱长就是三次根号2. 麻烦的是怎么准确得到这个长度,因为太阳神是不能糊弄的。他不一定懂数学,但是他应该有神力判断祭坛的体积是不是严格合乎要求。不能近似,当然建筑过程中的误差忽略,心诚则灵嘛。也许唯一的办法是在纸上用直尺和圆规把这个长度准确地确定出来。这个问题被称为Delian 问题(Delian即Delos人),也叫“倍立方”问题.

3、三等分角问题。以60度角为例,可得到代数方程

一张图看数学简史,趣谈数学史上的几大奇观

该问题的完整叙述为:在只用圆规及一把没有刻度的直尺将一个给定角三等分。在尺规作图(尺规作图是指用没有刻度的直尺和圆规作图)的前提下,此题无解。若将条件放宽,例如允许使用有刻度的直尺,或者可以配合其他曲线使用,可以将一给定角分为三等分。到目前为止,我们已经推出了两期有关三等分角问题的曲线解法。借助有力工具是阿基米德螺线,帕斯卡蜗线(蚶线)。

一张图看数学简史,趣谈数学史上的几大奇观

二、解析几何与微积分

解析几何包括平面解析几何和立体解析几何两部分。平面解析几何通过平面直角坐标系,建立点与实数对之间的一一对应关系,以及曲线与方程之间的一一对应关系,运用代数方法研究几何问题,或用几何方法研究代数问题。17世纪以来,由于航海、天文、力学、经济、军事、生产的发展,以及初等几何和初等代数的迅速发展,促进了解析几何的建立,并被广泛应用于数学的各个分支。在解析几何创立以前,几何与代数是彼此独立的两个分支。解析几何的建立第一次真正实现了几何方法与代数方法的结合,使形与数统一起来,这是数学发展史上的一次重大突破。

前面已经提到,古希腊的几大几何难题都是借助于代数方法得到解决的。实际上,从公元前到公元16世纪,几何与代数各自并行发展着。表面上看,几何似乎是关于形的科学而与数无关,代数似乎是关于数的科学而与形无关。

代数与几何难以联系的原因是:人们心目中的数是相互孤立的,难以从数想到由无穷多个点构成的线等图形。而对于形来说,例如线段或封闭图形,它们与数的联系也只限于长度与面积,难以从图形想到数的能力。

人们从“运动”的角度来联系数与形的:决定性的工具是建立了坐标系,点→ 数。点的运动形成了线,线的运动形成了体......。数与形的充分结合才产生了解析几何。解析几何的主要创始人是笛卡儿!在笛卡儿之前,就已经出现了代数与几何的结合,即解析几何的萌芽.我们来看一个例子。求比例中项问题。求给定长度AB与AC的比例中项。若AB=AC,那么他们本身就是比例中项,否则,可设AB

一张图看数学简史,趣谈数学史上的几大奇观

一张图看数学简史,趣谈数学史上的几大奇观

一张图看数学简史,趣谈数学史上的几大奇观

因为AD=x时,AF=x^3,AF=AD DF,故当DF=a时,我们得到X^3=x a. 结论:从几何得到了一个代数方程.另一方面,若a是已知数,那么AD=x作为方程的根可以在几何上表示出来(尺规作图). 反过来,笛卡儿对几何问题应用了代数方法:研究几何轨迹问题. 解析几何的精华在于把几何曲线用代数方程来表示,同时又用代数的研究方法来研究几何.这种方法显示了其强大的生命力:代数是纯演算的和.推理的,它只需要逻辑的和技巧的,而不需要面对千变万化的几何曲线的表面现象得到其本质性的东西.即几何曲线(曲面)的分类.

一张图看数学简史,趣谈数学史上的几大奇观

通过代数方法(平移和旋转)我们可以把一般方程化为标准方程.而且还有三个不变量.它们是二次曲线的本质—三类:椭圆、双曲线和抛物线。难以想象,没有代数的参与,在众多曲线中我们能看到这些本质性的东西.

解析几何出现后不久,微积分也被发现了。可以说,微积分不仅是数学的伟大发现,也为近代科学开辟了光明的道路;微积分不仅是17世纪的伟大发现,而且是世界人类文明史上最为光辉灿烂的发现。

一张图看数学简史,趣谈数学史上的几大奇观

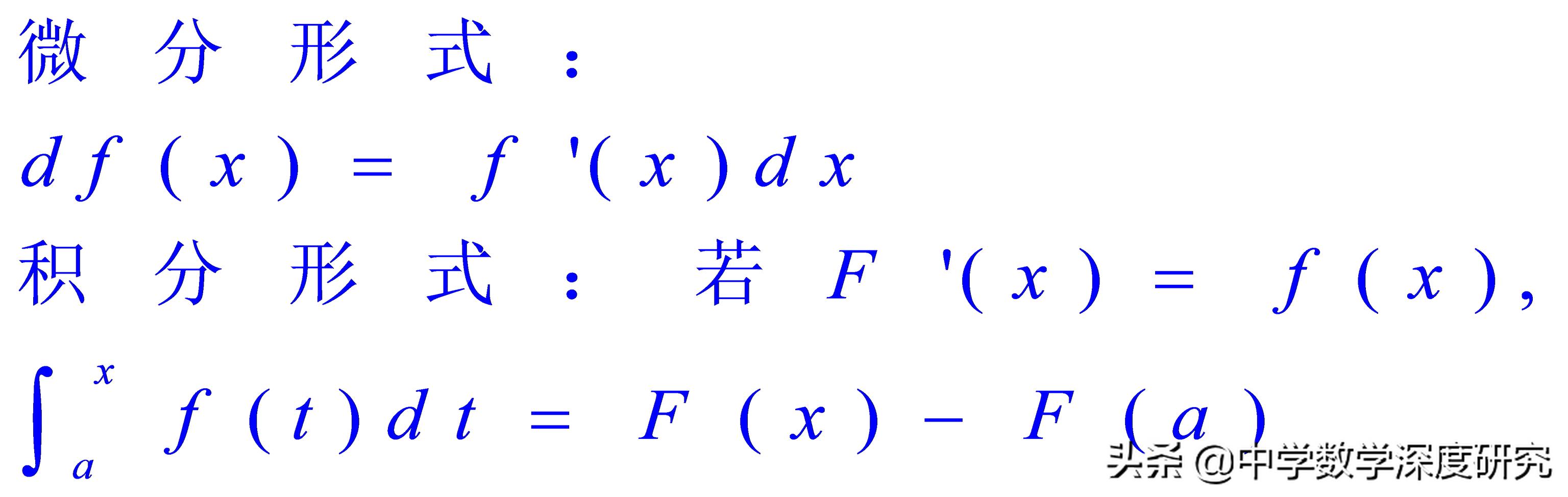
微积分的来源是科学发展对数学要求的必然:速度、距离、重心;切线、长度、面积、体积;极值问题等等。微积分的创立是以发现微分与积分互为逆运算为标志的,即我们所说的微积分学基本定理:

一张图看数学简史,趣谈数学史上的几大奇观

一张图看数学简史,趣谈数学史上的几大奇观

黎曼和(Riemann sum)约等于其曲线下的面积

微积分的伟大意义在于:

1、微积分改变了数学的研究对象、方式和方法,带来了数学空前和持久的繁荣昌盛!显示了数学内部的辨证统一的深刻哲理。

2、推动了自然科学、工程技术、社会科学的发展。有了微积分,它就成为了物理学的基本语言。其他如力学、天文学、化学等学科都得到了无限的推动力。近代的生物学、地理学、经济学、社会科学等都离不开数学。

3、对人类物质文明作出了巨大贡献。数学方法的应用和更新,通过其他学科对人类的进步产生了前所未有的作用:工业革命、人造卫星、新星的发现、经济规律、金融运作等等。

4、对人类文化产生了革命性的影响。只要研究变化规律就要用到微积分,在人文、社会科学领域也是如此。哲学(马克思、恩格斯)、经济学、考古学、社会学、心理学、语言学、法学......它们直接影响着人们的世界观和文化结构。

一张图看数学简史,趣谈数学史上的几大奇观

将人生划分成无限小的时间片段,每一段所做之事,每一口呼吸,每一次拥抱,每一刹温暖和感动都会为人生面积加以注解。曲线f(t)来表达人生,合适不过,根据时间变换,充满未知,崎岖不平。

我们既是人生的承担者,也是创造者。作为父母乃至家族的承担者,背负了太多,有时甚至忽略了自己的存在,在命运的轮回里苦苦挣扎;但时间t也赋予了我们创造和改变的可能,每一个时刻d(t)都是神给予的礼物,通过在每一个时刻面对命运时的选择,创造自己的人生。或许我们每个人都曾试想过人生的其他可能,如果没有念现在的大学,如果选择其他的专业,如果从事另外的行业,如果没有认识某人……或许过去的时刻已经过去,将来还未到来,只有现在,负责的选择每一个时刻。

一张图看数学简史,趣谈数学史上的几大奇观

微积分和人生

一张图看数学简史,趣谈数学史上的几大奇观

三、非欧几何

一个遗憾的事:几乎所有的大学生不知道非欧几何,甚至数学类专业的本科生也是如此。今天我们试图来弥补这个遗憾,来了解影响和改变世界的非欧几何。

欧氏几何在公元前300年就已产生,起始特征是建立了公理化方法:即从几个概念和几个命题,演绎出本学科其它所有概念和命题,从而构成这一学科的全貌。运用这种方法的学科被认为是严谨的科学和成熟的科学。欧氏几何的公理体系出现在欧几里德的《集合原本》中,在其之后的2200年后,希尔伯特在《几何基础》上加以完善。其间,许多数学家作了许多公理体系的完备性工作。

然而,令人放心不下的是该公理体系中的第五公理,即平行公理的独立性问题。因为人们发现即使欧几里德本人也尽量避免使用它。所以人们开始从三个方面研究平行公理。1、试图给出新的平行线定义以绕开这个困难;2、试图用比平行公理缺点更少的其他公理取代它;(等价或包含)3、试图用其他公里推出它。

一张图看数学简史,趣谈数学史上的几大奇观

第三个问题得到的最多的研究,但是毫无结果。在用反证法研究第三个问题时,试图推出矛盾,但是没有。实际上,反证法就是假设与第五公理不成立。第五公理是说:

过已知直线外一点,可作一条也只可作一条直线与已知直线平行。19世纪初,俄罗斯人罗巴切夫斯基在否定第五公理的同时,假设其反面之一:“过已知直线外一点,可作多于一条的直线与已知直线平行”,得到了一系列定理,并且认为他得到了一门新的几何学。这是过去2000年以来的重大突破。罗巴切夫斯基1826年2月11日宣布自己建立了新的几何学之后,得到了许多数学大家的嘲笑、讽刺,德国诗人歌德也出来讽刺他。实际上,罗巴切夫斯基的理论得到世界的认可是在他去世几十年后的事了.

在罗氏几何产生后的1854年,德国数学家黎曼把欧氏第五公理改为:“过已知直线外一点,没有与其平行之直线”,得到的一种新的几何学——黎曼几何,为非欧几何的另一翼。

爱因斯坦在创立广义相对论之时,在数学上遇到了极大的困难。广义相对论认为万有引力可以导致有质量的物体周围发生时空扭曲作用,只是人本身的肉眼不能够感知,因此在日常生活测量距离等活动时运用欧氏几何几乎不存在偏差,而当把空间扩展到宇宙层面时,强烈的时空弯曲使得欧氏几何不再使用,因此迫切的需要新的数学理论予以支持。而非欧几何中的黎曼几何适用于研究椭圆面、双曲面、球面等多维曲面,为相对论的创立提供了数学基础,成为了研究相对论的有效工具。与此同时,广义相对论的创立也从反向验证了黎曼几何和非欧几何,对其进行了证明,二者紧密的结合在一起,开创了一个全新的物理学体系,这成为了非欧几何最重要的应用。

从欧氏几何到非欧几何的发展历程体现了几何数学发展完善的历程,非欧几何的发现扩充了几何学的内涵,未解决几何问题提供了更为丰富的研究工具,扩展了空间的概念,对数学、物理学和人类认知的发展都起到了重要的推动作用。

一张图看数学简史,趣谈数学史上的几大奇观

非欧几何的产生具有三个重大意义:

1.解决了平行公理的独立性问题。推动了一般公理体系的独立性、相容性、完备性问题的研究,促进了数学基础这一更为深刻的数学分支的形成与发展。

2、证明了对公理方法本身的研究能推动数学的发展,理性思维和对严谨、逻辑和完美的追求,推动了科学,从而推动了社会的发展和进步。在数学内部,各分支纷纷建立了自己的公理体系,包括被公认为最困难的概率论也在20世纪30年代. 建立自己的公理体系。实际上公理化的研究又孕育了元数学的产生和发展。

3、非欧几何实际上预示了相对论的产生,就象微积分预示了人造卫星一样。非欧几何与相对论的汇合是科学史上划时代的事件。人们都认为是爱因斯坦创立了相对论,但是,也许爱因斯坦更清楚,是他和一批数学家Poincare庞加莱 ,Minkouski闵柯夫斯基 , Hilbert希尔伯特等共同的工作。出现动钟延缓,动尺缩短,时空弯曲等现象。这些都是非欧几何与相对论的科学发现。

非欧几何的模型。复变函数理论。

一张图看数学简史,趣谈数学史上的几大奇观

一张图看数学简史,趣谈数学史上的几大奇观

欧氏几何、罗氏几何、黎曼几何是三种各有区别的几何。这三中几何各自所有的命题都构成了一个严密的公理体系,各公理之间满足鹭港性、完备性和独立性。因此这三种几何都是正确的。在我们这个不大不小、不远不近的空间里,也就是在我们的日常生活中,欧式几何是适用的;在宇宙空间中或原子核世界,罗氏几何更符合客观实际;在地球表面研究航海、航空等实际问题中,黎曼几何更准确一些。

,

本文关键词:一张图看数学简史的图片,数学简史小报,数学史简笔画,数学简史看了有啥用,一张图看数学简史怎么看。这就是关于《一张图看数学简史,趣谈数学史上的几大奇观》的所有内容,希望对您能有所帮助!

本文链接:https://bk.89qw.com/a-807741

最近发表
网站分类