手机版

百科生活 投稿

海伦公式,海伦公式大全图解

百科 2026-02-07 07:07:22 投稿 阅读:3048次

关于【海伦公式】,海伦公式大全图解,今天涌涌小编给您分享一下,如果对您有所帮助别忘了关注本站哦。

本文为“第三届数学文化征文比赛

海伦公式

作者: 陆前进

作品编号:028

一、你从哪里来

早期的算术和几何在古代人们的生活中起了不小的作用,他们从实际生活中产生了计数以及度量方面的基本运算,在土地测量和简易工程方面获得了一定的几何知识。但他们的成就都是经验知识的结果,那时只要数学方面的知识能应付实际生活中的问题,人们就感到满足了。

对上古时代的人来说,只是由于生活需要的驱使,人们才去追求知识,为了知识本身而去追求知识的观念,一直要等到希腊人来进行。希腊人通过对自然现象的细致考察和理性思考,发展出一种概括、抽象、推理的能力,他们不仅在数学的各个部分作出了显著的、不朽的贡献,而且还为它们以后的发展奠定了永久的基础。

数学的抽象和严谨,是一种独特的看待世界的方式,这种方式来自于希腊古典时期,这个时期指的是大约从公元前600年持续到公元300年的这一段时间,涌现出像泰勒斯(公元前625年—前547年),毕达哥拉斯(公元前572年—前501年),欧几里得(公元前330年—前275年)和阿基米德(公元前287年—212年)等璀璨的名星。希腊人坚持演绎推理作为数学证明中唯一的方法是为数学作出的最重要的贡献,它使得数学从木匠的工具盒和测量学等实际背景中解放出来。从此以后,人们开始靠理性而不是凭感觉去判断什么是正确的,正是依靠这种判断,希腊人创造了我们今天所看到的这门学科,为人类文明、科技进步开辟了道路。

希腊人专注于自己的理念世界,在罗马强大的军事力量面前不堪一击,从公元前212年叙拉古城陷落于罗马的马塞卢斯之手阿基米德被杀害到公元30年,罗马正式成为帝国,对西方世界行使着史无前例的统治。

阿基米德在数学景观上投入了长长的影子,其后的古代数学家虽然都有自己的建树,但却没有人能够比得上叙拉古城这位伟大的数学家。阿基米德之后的数学家有两位值得介绍,其中一位是阿波罗尼奥斯(公元前约262—190年),其代表作《圆锥曲线》被公认为是圆锥曲线问题的权威论述,当近二千年以后的开普勒作出他关于行星以椭圆形轨道围绕太阳运动的独创性理论时,圆锥曲线的重要性得到了证实,椭圆绝不仅是古希腊数学家手中好玩的珍品,它成为地球和地球上我们全体人类运行的轨道。《圆锥曲线》这部巨著与欧几里得的《几何原本》和阿基米德的著作并列成为古希腊数学的里程碑。

另一位就是阿波罗尼奥斯之后亚历山大的海伦(约公元前1世纪—公元1世纪之间)我们对他的生平知之甚少,现代人一般认为其活动时期为公元75年前后。海伦无疑受古希腊理性思想的影响在数学上有很深的造诣。随着希腊数学的衰落,他的兴趣倾向于实践方面。他的很多著作都涉及了实用科学,如机械学、工程学和测量学,在某种意义上也反映了希腊人与罗马人兴趣的截然不同。海伦在其《经纬仪》一书中介绍了挖掘穿山隧道及计算泉水流量的方法,在另一部著作中,他回答了一些日常的生活问题,如“为什么用膝盖在一根木棍的中间用力顶,木棍会容易折断?”或者“为什么人们用钳子而不用手拔牙?”之类的问题。当然,海伦的代表作是《度量》一书,主要讨论了各种几何图形的面积和体积的计算,其中就包括我们重点要介绍的后来以他的名字命名的关于三角形面积的公式,出自《度量》一书中的命题Ⅰ8,海伦对这一命题的证明是古典几何抽象推理的典范。

二、教我如何不想她

三角形面积的标准公式十分简单——,应用广泛,但是,如果用这个公式去求如图1中的三角形面积还要费些周折,因为我们还不知道三角形的高。

海伦公式,海伦公式大全图解

图1

三角形具有稳定性,已知一个三角形的三条边,其面积一定是确定的,这也可以直接从全等三角形“SSS”判定定理推导出来,例如,任何边长等于4、13、15的其他三角形一定与图1中的三角形全等,因此其面积也完全相等。

如何确定这一面积值呢?现代的我们拥有三角学的知识和代数变形能力,可以毫无困难的求出这个值。但是,最简便的方法仍(像两千年前一样)是应用海伦公式,其公式用现代符号表示就是:如果k是边长等于a、b、c的三角形的面积,那么

在应用海伦公式时,我们只要知道三角形的三条边,直接计算就行了,而无须求出三角形的高。

这是一个非常特殊的公式,公式中出现的半周长似乎非常奇怪,而4个数的乘积的平方根也令我们大部分人厌烦,这个代数运算令人头痛,然而,作为一个伟大的定理,引起我们注意的不仅有它的奇特,还有海伦为此所作的证明。

海伦的证明只用了一些简单的平面几何概念,也就是说,我们初中生就能完全弄懂,但是,海伦向我们展示了他精湛的几何技巧,他将一些初等几何的知识组合成一个非常丰富而漂亮的证明,既曲折,又非常巧妙,堪称数学中一个令人叹为观止的结论。

海伦的证明需要用到一些基本命题,这些命题对我们来说都不陌生:

命题1:三角形的角平分线交于一点,这个交点是三角形内切圆的圆心,简称内心。

命题2:从直角三角形的顶点作斜边的垂线,则垂线两边的三角形分别与原直角三角形相似,并互相相似。

命题3:在直角三角形中,斜边的中点与三个角的顶点距离相等。

命题4:已知ABCD是一个四边形,连接对角线AC与BD,如果∠BAC=∠BDC=90°,那么A、B、C、D四点共圆。

命题5:圆内接四边形的对角和等于两个直角。

海伦将这些命题作为“元素”,连同他那娴熟的几何技巧,带给我们一个关于三角形面积的证明。

定理:已知一个三角形,其边分别为a、b、c,记面积为k,那么,其中,是三角形的半周长。

设任意三角形,为了使海伦的论证清晰易懂,我们将证明分成三大部分。

第一部分:把面积k表示出来

海伦的第一步就出人意料,因为他首先作了一个三角形的内切圆,用三角形的内心作为确定其面积的关键因素,而圆的性质与三角形这种直线形的面积没有直观的联系。

如图2,作的内切圆,我们显然有面积

海伦公式,海伦公式大全图解

图2

海伦在三角形的面积k与其半周长s之间建立了联系,这说明方向走对了,当然,后面还有许多事情要做。

第二部分:把公式表达式中的线段表示出来

海伦公式,海伦公式大全图解

图3

如图3,延长BA至G,使AG=CE则有

因此 s-c=AG

s-b=BG-AC

=(BD AD AG)—(AF CF)=BD

同理 s-a=AD

这样,半周长s与s-a,s-b和 s-c三个量都等于图中的线段。这是富有启发性的结论,因为这些量都是我们所求证公式的组成部分,剩下的工作就是要把这些“零件”组合成一个完整的证明。

第三部分:证明的核心:找出有关量的关系

海伦公式,海伦公式大全图解

如图4,作交AB于K,然后作

所以,

因故

所以

因而

结合(1)得

我们把这个等式两边 1

可得

通分合并简化为

注意到在中,且OD=r根据射影定理,因此,把这个结果代入(2)可得交叉相乘,我们有,两边同时乘以BG,即

最后,海伦将大量“零件”组合,迅速而巧妙地达成他所求证的结论,只需注意到(3)式的组成部分恰恰是第二步分所推导出的线段,将第二部分的结果代入,便得到

因而,由第一步,k代表三角形的面积,最后代入上列等式,就得到海伦公式

这可以说是初等几何中最巧妙的一个证明。在证明过程中,海伦看似随意地漫游,实际上始终朝着预定目标前进,这无疑是我们所见到的最曲折的证明。很难想象,脑力的回旋竟然引导海伦得出了这样一个荡气回肠、令人惊叹的证明。

三、你真美啊,请停留一下

发现一个问题是一回事,而证明是另外一回事。海伦是如何得到这一公式的?或者说这个美妙的公式到底是不是海伦发明的?这些都已无法考究,但无论如何,我们亲眼目睹了海伦对这一公式的美妙的证明,也算三生有幸了。

随着三角学的兴起和代数学的发展,现代的我们可以用多种方法来证明海伦公式,但海伦为我们提供的证明无疑是我们所见到过的最美妙的数学内容。下面我们用另一种方式来再现海伦公式的证明,但这里重要的不是我们重新求得这个公式或证明这个公式,而是在这个过程中充分体验数学的美学意境。

数学是一门具有其特殊完美性的艺术,像画家和诗人的模式一样,数学家的思想也必须鹭港一致,丑陋的数学在世上永无存在之地。一个完全合格的数学证明,必须要经得起两种完全不同类型的评判:作为理性的论证,它必须合乎逻辑、令人信服;同时还要优美,富于启发性,能够给人以情感上的满足。也就是说你的证明既要符合逻辑,也要漂亮,两者缺一不可。

这会使我们形成一个经验:改进你的论证。对某一数学问题,也许我们已经给出了答案,但这并不意味着它就是最佳的铨释,我们要力图减少其中不必要的混乱或复杂之处,而找到一种完全不同但却能让我们更加深入地理解问题的方法。

让我们重新来看海伦公式。

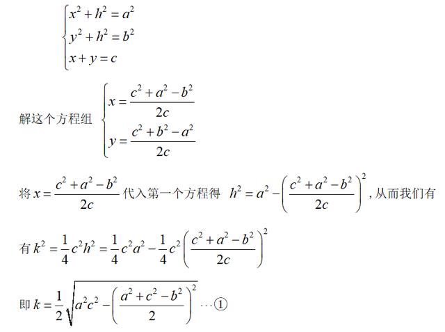
如图5,设三角形三边分别为a、b、c,首先,我们从三角形一边上的顶点向底边作一条垂线,于是三角形的面积k就可以表示为k=ch,这样一来,问题就变成了怎样用边来表示高.

海伦公式,海伦公式大全图解

高将底边分成两部分,设为x和y,这样原始的三角形就被分成了两个直角三角形,运用勾股定理,我们有

海伦公式,海伦公式大全图解

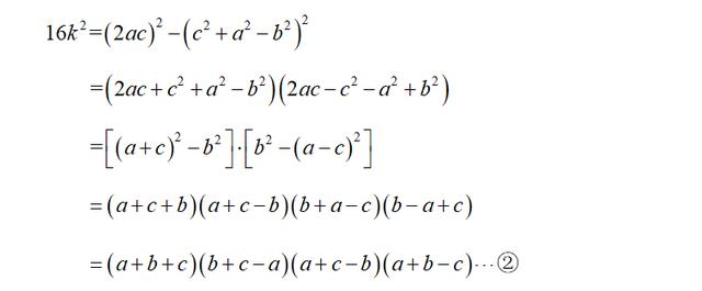
这正是我国古代秦九韶《九章算术》中的“三斜求积公式”。

到这一步,我们成功地用a,b,c表达出了三角形的面积。

但注意,这样的代数表达式在美感上是令人无法接受的。

回到最初出发的地方,我们的问题是,在已知三条边的情况下求出一个三角形的面积。在平等地对待三条边的意义上,这个问题可以说是完全对称的。三条边中,并没有哪一条边更“特殊”,特别是,这个问题本身并没有涉及底边(我们在求解的过程中,把作为了底边),这意味着,在代数上,无论最终的面积表达式是怎样的,符号a、b、c的地位应该是平等的,它们在面积表达式中必然是对称的,也就是说,如果我们交换其中所有的a或b或c,那么表达式应该会保持不变。

因此,对三斜求积公式,我们有必要进一步化简:

海伦公式,海伦公式大全图解

好了,现在看起来更像是结果了,因为我们终于看到了对称,等式也变得相当漂亮。

千万不要忽视了对称性,在很多情况下,它都是我们所拥有的最强有力的数学工具,可惜我们的“三斜求积公式”没有到达这一步。

当然,①式和②式在数学内容上,其实并没有真正改变任何东西,对于面积怎样取决于边长,这两个等式所表达的含义完全相同——面积和边长之间的实质关系,并没有因为我们做了一些灵活的代数恒等式变形而改变,但我们应该树立这样的理念,数学关乎的并不仅仅是真理,而且是完美的真理,只是得出三角形的面积公式并不足够,我们还需要面积公式很漂亮,现在,我们终于如愿以偿:

这个式子看起来还是有些复杂,我们通过引入一个适当的中间量,可以使公式变得更加漂亮。这个中间量就是海伦公式中的,s代表三角形周长的一半(半周长),这样,三角形的面积就可以简单地表示为

沿着海伦所指引的方向,运用代数变形能力,我们终于到达一个美妙的境界,这个漂亮的公式最初出现在海伦的著作里,正是由于这个原因,这个公式被称为海伦公式,特别值得注意的是,在海伦生活的时代,用不到这么多的代数,海伦肯定不是以我们的代数变形这种方式推出这个公式的,而海伦公式“超越”三斜求积公式,正是古希腊数学家理性思想(美学思想)的威力所在。

英国数理逻辑学家、哲学家伯特兰∙罗素在自传中回忆了他青年时遇到的危机:

“有一条小路,穿过田野,通向新南盖特,我经常独自一个到那里去观看落日,并想到自杀。

然而,我终于不曾自杀,因为我想更多地了解数学。”

罗素认识到数学中的美,他也恰如其分地描绘出了这种美:

“正确地说,数学不仅拥有真理,而且还拥有极度的美——一种冷静和朴素的美,犹如雕塑那样,虽然没有任何诱惑我们脆弱本性的内容,没有绘画或音乐那样华丽的外衣,但是,却显示了极端的纯粹和只有在最伟大的艺术中才能表现出来的严格的完美。”

相关链接>>

相聚于网络,相知因数学,相交为征文——第三届数学文化征文活动通知

第三届数学文化征文比赛评委简介

第二届数学文化征文比赛通知

第一届数学文化征文活动文章集锦

已发文章>>

001 莱布尼茨、二进制和伏羲卦图

002 美学视角下的数学教学 —— 读《数学的美与理》有感

003 数学基础与黎曼猜想 ——《数学简史:确定性的消失》读后思考

004 数学与文化并重 知识与兴趣同行 ——“算筹记数”教学思考

005 数学是多维度的艺术——读《数学家的眼光》有感

006 从掷骰子到阿尔法狗:趣谈概率

007 中学数学中分类思想的教学与拓展

008 守门的秘密

009 探数学文化,启数学之美——以高中数学《割圆术》为例

010 基于数学史视角的高中数学教学思考

011 我是怎样读《几何原本》的

012 相映成趣的两座数学桥

013 HPM视角下的数学概念教学——“平面直角坐标系”教学设计

014 极限定义新讲:动态定义与静态定义

015 把握思想方法,自主提升数学素养 ——读《让知识自然生长》有感

016 读北大张顺燕教授《数学的源与流》的几点收获

017 中国古代数学对“一带一路”沿线国家的影响

018 数学阅读锦上添花,实践成果领航数坛新征程

019 提高概率教学质量的几点思考

020 温故建构新知 论证生成巧思 ——三角形的中位线定理的探究

021 读《学好数学并不难》有感

022 体验经典证法 渗透数学文化 ——以“勾股定理(第一课时)”教学为例

023 数学文化 文化数学 ——融合数学文化的中考试题的品析与启示

024 善用数学文化 灵动数学课堂 优化育人途径

025 基于数学文化的高中数学教学的实践与研究

026 数学中的美—— 读《数学文化中的美育渗透》有感

027 利用“去分母”解一元一次方程教学设计

本文关键词:海伦公式百度百科,海伦公式的作用,海伦公式经典例题,海伦公式的原理,海伦公式实用吗。这就是关于《海伦公式,海伦公式大全图解》的所有内容,希望对您能有所帮助!

本文链接:https://bk.89qw.com/a-810467

最近发表
网站分类