手机版

百科生活 投稿

高中数学必考重点,高中数学双曲线准线知识点大全

百科 2026-02-06 07:10:48 投稿 阅读:4477次

关于【高中数学必考重点】,高中数学双曲线准线知识点大全,今天小编给您分享一下,如果对您有所帮助别忘了关注本站哦。

高中数学必考重点,高中数学双曲线准线知识点大全

高中数学必考重点,高中数学双曲线准线知识点大全

高中数学必考重点,高中数学双曲线准线知识点大全

高中数学必考重点,高中数学双曲线准线知识点大全

高中数学必考重点,高中数学双曲线准线知识点大全

高中数学必考重点,高中数学双曲线准线知识点大全

高中数学必考重点,高中数学双曲线准线知识点大全

高中数学必考重点,高中数学双曲线准线知识点大全

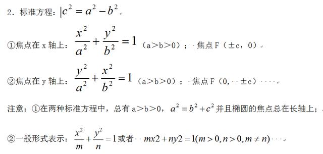
椭圆及其标准方程:

高中数学必考重点,高中数学双曲线准线知识点大全

高中数学必考重点,高中数学双曲线准线知识点大全

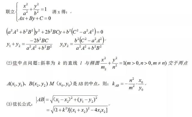
椭圆的简单几何性质:

高中数学必考重点,高中数学双曲线准线知识点大全

高中数学必考重点,高中数学双曲线准线知识点大全

高中数学必考重点,高中数学双曲线准线知识点大全

(3)基本线:对称轴(共两条线)

高中数学必考重点,高中数学双曲线准线知识点大全

高中数学必考重点,高中数学双曲线准线知识点大全

高中数学必考重点,高中数学双曲线准线知识点大全

数学大师

本文关键词:高中数学双曲线知识点归纳,高中双曲线准线是什么,高中双曲线准线方程,双曲线准线定理,双曲线的准线定义及图像。这就是关于《高中数学必考重点,高中数学双曲线准线知识点大全》的所有内容,希望对您能有所帮助!

本文链接:https://bk.89qw.com/a-810582

最近发表
网站分类