手机版

百科生活 投稿

十字相乘法过程怎么写,教材中的十字相乘法

百科 2025-10-22 10:59:12 投稿 阅读:5674次

关于【十字相乘法过程怎么写】,今天小编给您分享一下,如果对您有所帮助别忘了关注本站哦。

 十字相乘法过程怎么写,教材中的十字相乘法

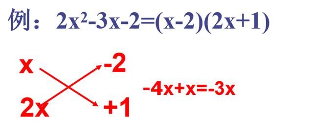
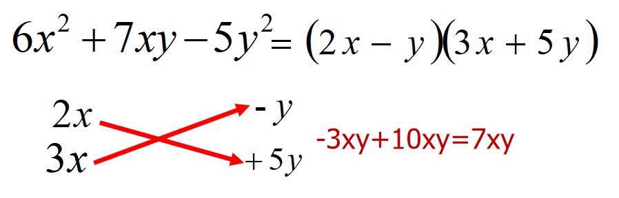
初中数学教材中第一次出现十字相乘是在初二数学中的“整式乘除法及因式分解”这一章节里,但是书上并没有直接称为“十字相乘”的名称,而是用一个公式来说明的。那么就导致很多老师觉得这只是一种规律,并没有引起足够的重视,但是对于经验丰富的老师来说,则会详细讲解这种方法(十字相乘),因为他明白这个方法重要性,毕竟初三以及整个高中阶段很多计算都是采用十字相乘来进行计算更简单。可以说不会十字相乘,那么中高考的数学计算题很可能都会有问题。

我在这里详细给大家介绍一下十字相乘的具体内容,希望对你有所帮助。

利用十字相乘法分解因式,实质上是逆用(ax+b)(cx+d)竖式乘法法则.它的一般规律是:

十字相乘法过程怎么写,教材中的十字相乘法

十字相乘法过程怎么写,教材中的十字相乘法

十字相乘法过程怎么写,教材中的十字相乘法

十字相乘法过程怎么写,教材中的十字相乘法

十字相乘法过程怎么写,教材中的十字相乘法

十字相乘法过程怎么写,教材中的十字相乘法

十字相乘法过程怎么写,教材中的十字相乘法

,

本文关键词:十字相乘法怎么写格式,十字相乘法示例,十字相乘法的算式,十字相乘法怎么写字母表示,十字相乘法怎么写书面过程。这就是关于《十字相乘法过程怎么写,教材中的十字相乘法》的所有内容,希望对您能有所帮助!

本文链接:https://bk.89qw.com/a-811679

最近发表
网站分类