手机版

百科生活 投稿

Stokes公式,stolz定理怎么理解

百科 2026-02-05 08:22:17 投稿 阅读:1117次

关于【Stokes公式】,stolz定理怎么理解,今天小编给您分享一下,如果对您有所帮助别忘了关注本站哦。

之前所讲的格林公式(第二类线积分与格林公式),它给出了平面上沿着封闭曲线(C)的第二型线积分与(C)所围成的平面区域上的二重积分之间的关系。现在我们把它推广到空间,也就是研究空间封闭曲线(C)和(C)上围成的曲面的第二型面积分之间的关系。

首先我们给出Stokes公式:

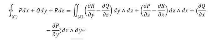
设区域

Stokes公式,stolz定理怎么理解

,(C)为(G)内一条分段光滑的有向简单闭曲线,(S)是以(C)为边界且完全位于(G)内的任一分片光滑的有向曲面,(C)的方向与(S)的法向量符合右手螺旋法则,则

Stokes公式,stolz定理怎么理解

对于Stokes公式,我们知道它是对于格林公式在三维上的一个拓展,理解了格林公式,理解起来Stokes公式困难就不大了,这里不再进行赘述。但是对于Stokes公式中,我们仍然有一个问题值得研究。

定义中的:“(S)是以(C)为边界且完全位于(G)内的任一分片光滑的有向曲面”中的任一是什么意思。再翻译翻译也就是:为什么Stokes公式与曲线(C)上所张定向曲面无关?

下面是我的一些理解,我们已经得知了格林公式到底表示的是什么。但是,对于封闭的曲线,我们谁都没有规定它必须是在一个平面之内,我们可以把这个封闭曲线任意摆放。拓展到三维空间,把这个封闭曲线想像成我们捞小鱼时渔网上的那个铁丝圈,我们在这个铁丝圈上蒙上的渔网就相当于曲面。和之前类似,对于这个线圈,力在封闭曲线上做的功就等于把鱼网上的一个一个小孔上的功加起来。显然相加的这个过程与二维形式相加没什么区别,中间公共的线上,力做的功都抵消了,只剩下围绕线圈所做的功。唯一不同的就是我们把原本一个窗户上的纱窗变成了一个渔网。

Stokes公式,stolz定理怎么理解

有了这个过程,我们就可以大概理解了为什么Stokes公式与曲线(C)上所张定向曲面无关。(这只是我个人的理解,具体细节请阅读高数课本)

下集预告:梯度,散度,旋度。

本文关键词:stolz定理可以直接用吗,stolz定理三大推论,stolz定理中文叫什么,stolz 定理,stolz定理怎么用。这就是关于《Stokes公式,stolz定理怎么理解》的所有内容,希望对您能有所帮助!

本文链接:https://bk.89qw.com/a-820256

最近发表
网站分类