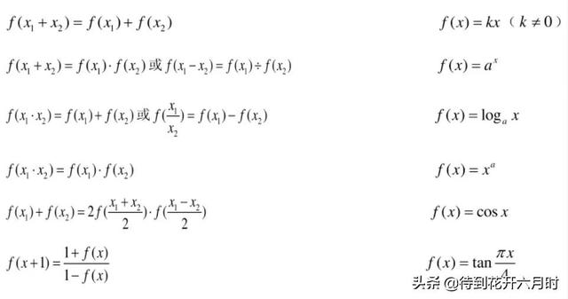
关于【抽象函数的详解】,今天小编给您分享一下,如果对您有所帮助别忘了关注本站哦。



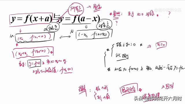
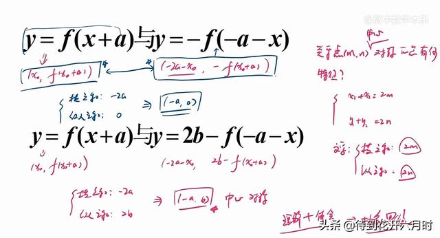
抽象函数对称性与周期性关系:





两函数的自变量是ⅹ。
下面单一函数


单一抽象函数中,(ⅹ)内为自变量,f(X)为y值,从点坐标(x,f(Ⅹ))入手分析抽象函数对称中心,对称轴。


对称中心对称轴,有一心一轴有必有周期性
2022全国乙12


奇偶性 对称性=周期性

内同周期,内反对称








,
本文关键词:抽象函数经典例题解析,抽象函数的详解公式,抽象函数口诀,抽象函数的公式,抽象函数入门。这就是关于《抽象函数的详解,抽象函数原型与性质理解》的所有内容,希望对您能有所帮助!
本文链接:https://bk.89qw.com/a-827096