手机版

百科生活 投稿

一分钟看懂相对论,相对论其实一点就透

百科 2025-10-22 18:18:30 投稿 阅读:1495次

关于【一分钟看懂相对论】,相对论其实一点就透,今天涌涌小编给您分享一下,如果对您有所帮助别忘了关注本站哦。

文/王力德

相对论非常难理解,我们学物理的也很难看懂,更难给别人讲懂。前几天朋友发一篇文章,忽然给我一个启示,一下就开窍了!我才发现,如果从这一点进入,其实相对论很简单,只要中学知识就够了,最多用到勾股定理就能进入。怪不得当年爱因斯坦才十六岁,还是中学生的时候,就萌发了相对论的思想。当然,进去以后还有许多更绕脑子的东西,但起码最关键的这一点我们可以进去了。

一、相对论是从“光速不变”这个事实推出来的

这一点是什么呢?就是“时钟变慢”,也就是说,当我们观察宇宙飞船里的船员时,发现他们那里的时钟比我们的要慢。而后面的种种奇怪的说法,比如什么长度缩短、时空弯曲、闭合宇宙、双生子徉谬,等等,全是从这一点推出来的。懂了“时钟变慢”,就可以说我们已经进入了相对论,其它那些就好懂了。

那么“时钟变慢”又是从哪儿推出来的呢?是从“光速不变”推出来的,这是整个相对论的基石。“光速不变”不是理论,而是实验观测的事实,这事儿很奇怪。

假如我们坐在汽车上往外扔水果,如果往前扔,那么水果的速度就应该加上汽车的速度,飞得更快,弄不好能打死人。如果往后扔,水果的速度就应该减去汽车的速度,飞得更慢,危险性就小一些。这个道理一般人都好理解。这叫做“速度相加原理”。

一分钟看懂相对论,相对论其实一点就透

  我们如果坐在宇宙飞船上往外发光,似乎也应该是这个道理,顺着飞船往前发光,光速应该更快,往后发光,光速应该降低。但通过无数实验,我们不幸地发现,光速并不遵从“速度相加原理”,无论往那边发光,无论光源(比如宇宙飞船)速度有多快,发出去的光速全一样,这就是所谓“光速不变”。

  实验是怎么做的就不要细究了,很繁难。但光速不遵从“速度相加原理”这件事,虽然看起来完全不合常识,但确有实验事实为证。1054超新星爆发,极高温碎片将以接近光速v奔向四面八方,如果光速遵从叠加原理,各碎片发光奔向地球速度将有很大弥散,c v~c-v,不难算出抵达地球将持续数年,与北宋记载“昼可见”凡数日(对应爆发亮度最高阶段)不合。由此可知,在物体运动接近光速时,的确不遵从速度相加原理。

  另外还有一个说法,据说爱因斯坦产生相对论的想法,并不是从大家所熟知的测光速实验(迈克尔孙、莫雷实验)结果出发的,而是从麦克斯韦的光速公式出发:

1

C=————

√ε·μ

其中ε是光所通过的介质(比如玻璃、水、油、石英等)的介电常数, μ是磁导率,它们在同一介质中都是固定常数,从这里也可以很容易的看出,光在同一介质中的速度是不变的常数,它只和介质中介电常数和磁导率有关。

于是爱因斯坦想,以前所学的知识告诉我们,凡是速度都得有个参照系。比如人在火车上走,相对于火车是一个速度,相对于地面又是一个速度。但这个公式中并没有参照系,也就是说,光的速度不参照谁,不相对于谁,只取决于ε·μ,不管在哪个参照系中都是这个速度,这就等于说光速不管在哪儿都不变。

当然,后来的迈克尔孙、莫雷实验也证实了光速不变,这的确是个无法理解,却又存在的事实。

二、从“光速不变”推出“时钟变慢”

  我们既然已确认了光速不变这个事实,在这个基础上就能推出“时钟变慢”,推出相对论,当年爱因斯坦就是从这儿开始推出来的。现在咱们就开始推。

一分钟看懂相对论,相对论其实一点就透

  看这张图,这是一架宇宙飞船在从右往左飞,右边是初始状态,左边是下一个状态。要声明一点,这不是我们现在的飞船,现在的飞船一秒种只不过飞10公里左右,这是设想中的高速飞船,速度能跟光速相提并论,比如每秒钟能飞10万公里,所以这只是个假设,为了好打比方。

  现在飞船里有一束光,从飞船舱顶部往下照射到底部,飞船里的船员看到的光走的路程就是这条红色线条。

而我们站在地面上的人观察就不一样了,因为光在往下飞的过程中,飞船同时在往前飞,等光飞到船底时,飞船已经飞了一截,那个受光点也就移到前面去了,所以我们看到的光飞行的路线是斜的,是那条蓝色线条。

而飞船本身的飞行路线是往前的,即绿色线条,这三条线就构成一个直角三角形。宇航员看到的光是直角边,我们看到的光是斜边,显然,斜边大于直角边,所以我们看到的这条光路比宇航员看到的光路要长。

我们知道:路程=速度X时间。在这里,时间是一样长的,因为这是同一件事,只是由不同的人看到,比如都是一秒钟。而路程却是里面看短,外面看长,此时我们一般就会认为肯定速度不一样,里面看到的光速低,所以走的短,外面看到的光速高,所以走得长。

但我们前面说了,光速不变,在哪儿都一样快,不管里面看,还是外面看,那就没办法了,时间一样长,速度一样快,但路程却不一样长。怎么解决这个矛盾呢?当时有很多科学家都想办法解释这个矛盾,但都遇到困难,怎么都解释不通。

这时爱因斯坦出来了,他想出一种非常古怪的辨解方式,他说,这是因为在飞船外面的我们看来,里面的时钟走得慢。宇航员用慢钟测量,测同样的时间比我们测的要短,所以光走的路程也就短。

一分钟看懂相对论,相对论其实一点就透

这就是所谓“时钟变慢”的由来。也就是说,我们觉得是一秒的事,宇航员觉得还不到一秒。放大来说,我们在地下已经过了一年,但天上的宇航员却觉得还不到一年,比如才过了半年,我们长一岁,他才长半岁,所以就出现了宇航员比我们年轻,或者寿命比我们长的说法。这恰与我们古代所说的“空中方一日,世上已千年”有异曲同工之妙。

一分钟看懂相对论,相对论其实一点就透

  你看,相对论的切入点其实并不难,而从“时钟变慢”就能推出相对论中千奇百怪的说法。如果上面的说法你懂了,就可以说你已经懂一点相对论了。

三、进一步推算出时钟慢了多少

  如果你要想进一步深入,了解飞船里面的时钟具体比我们的时钟慢多少,就要用到勾股定理了,如果你觉得勾股定理太难,见数学公式就头疼,这一节也可以跳过去,不影响你对相对论的理解。

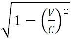
  要使用勾股定理,我们还得看那个三角形。为简单起见,我们把时间定为1秒,那条蓝色的斜线是地下的人用自己的时钟测出来的1秒钟内光线走过的距离,这个距离实际上就成了光速C,而绿色的线则表示1秒种内飞船走过的距离,实际上就是飞船速度V,那么红色的线呢?就是宇航员所看到的光线传播的距离,根据勾股定理,这段距离就等于

一分钟看懂相对论,相对论其实一点就透

这个距离除以光速C,就等于光在这一段距离经过的时间,经过简单的变换,就成了:

一分钟看懂相对论,相对论其实一点就透

  这就是说,光在飞船里面飞行的时间,地下的人测量为1秒,而飞船里面的宇航员测量为

  显然,这个时间永远小于1,即宇航员测得的时间短,所以飞行的距离也短。从这个式子我们就可以算出,飞船里的钟比地面的钟到底慢多少。

  这个公式非常重要,以后我们学到什么在飞船里“长度缩短”,到底缩短了多少,都是这个比例,叫做“长度缩短率”,而推出这个式子只需要用到勾股定理就够了,数学上很简单。

  从这个公式我们也可以知道,为什么在日常生活中,我们感受不到相对论的古怪效应?因为我们日常的运动速度V与光速C相比太慢了,太小了,比如我们飞机的速度如果能接近声速,就非常快了,也不过是1秒钟300米左右,即0.3公里,而光速是每秒30万公里,等于飞机速度的100万倍,如果再来个平方,就是1万亿,而“(V/C)平方”就是1万亿分之一,基本等于0,1减去0还是1,也就是说,这个“缩短率”或“减慢率”几乎就是1,飞机里的钟跟地面上的钟一样快,根本显示不出来相对论效应,只有坐在跟光速差不多快的宇宙飞船里,才能感受到相对论效应。

四、相对论不合常理,却符合实验,它是更高层次的常理

  总之,相对论一开始只不过是爱因斯坦用来解释光速不变的一种古怪的说法罢了,当时爱因斯坦完全凭脑子空想,既不像牛顿力学那样有生活经验可启发,也不像牛顿力学那样能做个小实验来验证,完全靠坐在屋里的乌托邦幻想,竟建构起那么庞大复杂的体系!我们不能不佩服爱因斯坦的天才大脑。

  后来这套离奇的空想发展下去却不得了,原来我们的世界真是像爱因斯坦说的那样的!

  在高能物理实验室中,有许多粒子在不断的产生、蜕变、消失,寿命很短,也许只有几纳秒,但我们观测到,在高速运动中这些粒子的寿命居然变长了,比如原来粒子静止时寿命应该是3纳秒,但在高速运动中也许变成了4纳秒,这就跟高速运动中的宇航员寿命变长一个道理。。也就是说,爱因斯坦的的理论不只是一种说法,而是高速世界中的现实。

  爱因斯坦根据相对论做了好几项天文学预测,最后都被天文观测证实了,所以没办法,对这种古怪的不合常理的说法,我们只好接受。甚至可以说,我们以往所习惯的“常理”其实只是浅层次的道理,而高层次的“常理”我们没听过,也听不懂,还以为是歪理。

  我们平常说“大道理管小道理”,就是这个意思,在浅层次,在小范围看起来很正常的道理,到了高层次,大范围就不对了,有更高的道理,但在我们低层的人看起来,完全不能理解。

  相对论就是高层次的大道理,它能管住低层次的牛顿力学。实际上不管高速低速运动,都适用于相对论。即使坐在飞机上、火车上,从理论上说,也在“时钟变慢”,把上面的相对论公式代进去,一点毛病都没有,只是因为速度太低,“变慢率”小得根本测不出来,你自己代进去一算就知道。所以牛顿力学不过是相对论在低速情况下的一个粗略的特例罢了。

  我们在情感上很难接受什么“时钟变慢”“寿命变长”之类相对论说法,这很正常,爱因斯坦的相对论之所以没有能获得诺贝尔奖,也跟好多物理学家不愿意接受相对论有关(当然,还有政治上的原因)。但现在究竟没有另外一种说法比相对论能更好地解释“光速不变”之类怪事,而且又有那么多实验支持相对论,我们没办法,也只好接受它。

当年,有位“民科”在网上跟我争论这事,硬说时间变慢只是中国人没理解爱因斯坦相对论的一种歪曲,并非爱因斯坦自己的结论。我只好把家里爱因斯坦著作中的那段原文抄录给他,从此这位“民科”消声匿迹,永无踪影。

 一分钟看懂相对论,相对论其实一点就透

2017年3月7日

本文关键词:一分钟看懂相对论的感悟,一分钟看懂相对论电影,七分钟搞懂相对论,相对论是啥?,给我讲一下相对论。这就是关于《一分钟看懂相对论,相对论其实一点就透》的所有内容,希望对您能有所帮助!

本文链接:https://bk.89qw.com/a-830707

最近发表
网站分类