手机版

百科生活 投稿

微分中值定理公式大全,一文讲透高数中的微分中值定理

百科 2026-04-13 13:01:16 投稿 阅读:9037次

关于【微分中值定理公式大全】,今天小编给您分享一下,如果对您有所帮助别忘了关注本站哦。

  • 内容导航:
  • 1、微分中值定理公式大全:一文讲透高数中的微分中值定理
  • 2、微分中值定理公式大全,如何理解三大微分中值定理

1、微分中值定理公式大全:一文讲透高数中的微分中值定理

今天和大家回顾一下高数当中的微分中值定理,据说是很多高数公式的基础。由于本人才疏学浅,所以对于这点没有太深的认识。但是提出中值定理的几个数学家倒是如雷贯耳,前段时间抽空研究了一下,发现很有意思,完全没有想象中那么枯燥。所以今天的文章和大家聊聊这个话题,我会跳过一些无关紧要或者意义不大的证明部分,尽量讲得浅显有趣一些。

费马引理

首先上场的是费马引理,它是我们介绍后面罗尔中值定理的前提。这个费马引理非常简单,不需要太多篇幅。所以在介绍它之前,先来讲讲费马这个人。

费马在数学届大名鼎鼎,他最著名的理论是费马大小定理。定理的内容我不讲了,和这篇文章也没啥关系。但是这背后有一段著名的故事,说是费马在提出费马大定理的时候并没有觉得它有多么出彩,因此没有加以详细的证明。有一天他在翻阅自己笔记本的时候突然灵感迸发想出了一个绝妙的证明方法。但是由于笔记本旁边空白的区域太小,所以费马这人就在书页边写了一句话,他说:

我已发现一种绝妙的证明方法,可惜这里空间太小,写不下。

没想到费马不当回事的定理在日后的数学界非常重要,出人意料的是无数数学家尝试证明费马大定理的正确性,但是都没有成功。虽然这个定理广泛使用,大家也都觉得应该是正确的,但是就是没有人能证明。这一度也称为数学界的顶级难题,一直到1995年,据说也是靠着计算机提供了算力支撑,才终于得以证明。

关于费马在书页边写的绝妙解法,数学界也争论不休。有些人扼腕叹息,觉得是数学界一大损失。还有人觉得这不太靠谱,这可能不是灵感,而是错觉。但无论如何,这也成就了费马,也许他不是史上数学最强的人,但一定是”装逼“最成功的的一个。

我们来看下来自费马的凝视。

微分中值定理公式大全,一文讲透高数中的微分中值定理

言归正传,我们来看下费马引理。费马引理很简单,是说如果在一段曲线当中存在一个点x0,使得在

x0 的邻域内都存在 f(x) <= f(x0)(或 f(x) >= f(x0)),那么就说明f'(x0)=0。

对导数熟悉的同学会发现,这其实就是把话倒着说。导数为0的点是极值点,既然是极值点显然附近的点要么都大于它或者都小于它。我们看下下图就可以想明白。

微分中值定理公式大全,一文讲透高数中的微分中值定理

证明的过程非常简单,我们令Δx→0 ,那么显然

微分中值定理公式大全,一文讲透高数中的微分中值定理

利用极限左右边界相等,我们就可以证明它的正确性。

罗尔中值定理

罗尔中值定理是在费马引理的基础上做了一点引申,我们还是看上图,在上图当中A和B两点的函数值相等。所以罗尔中值定理是,如果某个函数满足:

  1. 在闭区间[a, b]上连续
  2. f(a) = f(b)
  3. 在开区间(a, b)上可导

那么,在区间(a, b)当中必然存在一个点x0,使得f'(x0) = 0。

这个中值定理也很容易想明白,既然函数在两个端点处值相等,那么无论它是先减再增还是先增再减或者是不增不减,那么显然都会存在至少一个极值点,既然存在极值点,那么根据费马引理显然就有导数为0的点。

拉格朗日中值定理

罗尔定理简单易懂,但是有一个小问题就是限制条件太死,函数上不一定能找到两个点相等。针对这个问题,大佬拉格朗日对这个公式进行了拓展。

他说,只要函数 f(x) 满足:

  1. 在闭区间[a, b]连续
  2. 在开区间(a, b)可导

那么就可以找到一个点ξ使得:

微分中值定理公式大全,一文讲透高数中的微分中值定理

这个式子这样看起来非常恐怖,我们做一个变形:

微分中值定理公式大全,一文讲透高数中的微分中值定理

f(b) - f(a) / (b - a) 这个我们都非常熟悉,就是就是a和b两点连线的斜率。而 f'(ξ) 则是函数在 ξ 这点的切线,从几何角度上来看,说明存在一个点的切线和端点连线平行,我们可以对照下图。

微分中值定理公式大全,一文讲透高数中的微分中值定理

从定理上来看,如果a和b点的函数值相等,这个式子和罗尔定理完全一样,也就是说罗尔定理是拉格朗日中值定理的特殊情况。我们在证明罗尔定理的时候用到了费马引理,那么证明拉格朗日中值定理的时候能不能用上罗尔定理呢?

如果能用上当然很好,但是直接用是不行的,我们不能保证函数在a和b两点处值相等。为了解决这个问题,需要引入一个辅助函数,和我们做几何题的时候引入辅助线很像。老实讲这个辅助函数是怎么来的我一无所知,书本上也没有记载。我们能确信的是它管用,它是正确的,但是它是怎么来的,我们不清楚,也许是数学家的灵光一闪或者是天赋吧。

以前在学奥数的时候经常遇到这种情况,一个看起来巨复杂的式子,数学天才稍稍变形或者是引入一个辅助函数或者是定理,三下五除二就解决了。这当中每一步都看得懂,也能理解,但是就是不明白他是怎么想到的,这个辅助函数就很典型。

废话不多说,我们来看这个函数:

微分中值定理公式大全,一文讲透高数中的微分中值定理

这个函数看起来很奇怪,但是它有一个巨牛的性质,就是它在a和b两点的值相等并且等于0,到这里就很简单了,我们对这个巨牛的函数求导:

微分中值定理公式大全,一文讲透高数中的微分中值定理

根据罗尔定理,我们可以找到一个点 ξ ∈ (a, b) 使得:

微分中值定理公式大全,一文讲透高数中的微分中值定理

所以就得证了,花里胡哨,叹为观止。但是到这里还没有结束,还有一个重头戏没有上场。

柯西中值定理

柯西中值定理的图像和拉格朗日的一模一样,但是含义加深了一层。在我们之前的讨论当中,我们画的是y随着x变化的函数曲线。但是有可能X轴本身也是一个函数。也就是说之前我们画的是 y = f(x) 的图像,现在可能变成了 Y=f(x), X=F(x) 的图像,换句话说X轴和Y轴都是x的因变量,这里的小写的x成了一个参数。

微分中值定理公式大全,一文讲透高数中的微分中值定理

在这样的函数当中,某一点的切线的斜率成了:

微分中值定理公式大全,一文讲透高数中的微分中值定理

柯西中值定理正是作用于这样的函数上,如果函数 f, F 满足:

  1. 在闭区间[a, b]上连续
  2. 在开区间(a, b)上可导
  3. 对于任意

那么至少在(a, b)当中存在一点ξ,满足:

微分中值定理公式大全,一文讲透高数中的微分中值定理

虽然这个公式看起来非常虎,但是证明方法和上面大同小异,我们引入一个基本上一样的辅助函数:

微分中值定理公式大全,一文讲透高数中的微分中值定理

证明方法也是一样,可以发现这个辅助函数是满足罗尔定理的,那么我们对它求导,一模一样的方法就可以得到证明。我这里就不证了,意思不大。

如果我们整理一下上面几个中值定理,会发现这是一个俄罗斯套娃,层层嵌套,但是它们研究的都是同样一件事情。这些定理会在以后微积分的章节派上用场,现在让我们先有个印象即可。

2、微分中值定理公式大全,如何理解三大微分中值定理

罗尔定理,太难了?



拉格朗日定理,太难了?



柯西中值定理,太难了?



微分中值定理难吗?

如果你觉得难,那你一定得看看以下文字了,简明扼要,通俗易懂。

前言

微分中值定理是很重要的基础定理,很多定理都是以它为基础进行证明的。

1 罗尔中值定理

1.1 直觉

往返跑:

可以认为他从

微分中值定理公式大全,一文讲透高数中的微分中值定理

点出发,经过一段时间又回到了

微分中值定理公式大全,一文讲透高数中的微分中值定理

点,画成

微分中值定理公式大全,一文讲透高数中的微分中值定理

(位移-时间)图就是:

微分中值定理公式大全,一文讲透高数中的微分中值定理

根据常识,因为要回到起点,中间必定有速度为0的点:

微分中值定理公式大全,一文讲透高数中的微分中值定理

拳击比赛中,步伐复杂:

微分中值定理公式大全,一文讲透高数中的微分中值定理

但不论怎样,只要最后回到起点,中间必定有速度为0的点:

微分中值定理公式大全,一文讲透高数中的微分中值定理

这就是罗尔中值定理。

1.2 罗尔中值定理

设函数满足以下三个条件:

  • 在闭区间 [a,b] 上连续
  • 在开区间 (a,b) 上可导

则存在

微分中值定理公式大全,一文讲透高数中的微分中值定理

,使得

微分中值定理公式大全,一文讲透高数中的微分中值定理

微分中值定理公式大全,一文讲透高数中的微分中值定理

在闭区间 [a,b] 连续是必须的,否则有可能没有

微分中值定理公式大全,一文讲透高数中的微分中值定理

在开区间 (a,b) 可导也是必须的:

微分中值定理公式大全,一文讲透高数中的微分中值定理

1.3 拓展

定理中的条件“

微分中值定理公式大全,一文讲透高数中的微分中值定理

在闭区间 [a,b] 连续、在 开区间(a,b) 可导”是否可以更改为“

微分中值定理公式大全,一文讲透高数中的微分中值定理

在闭区间 [a,b] 连续、在 闭区间[a,b] 可导”?

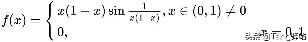
不行,这两者并非同一个条件,举一个反例:

微分中值定理公式大全,一文讲透高数中的微分中值定理

此函数在图像如下:

微分中值定理公式大全,一文讲透高数中的微分中值定理

此函数就是在 [1,0] 连续,(1,0) 可导,在端点 x=0,1 处导数不存在(类似于

微分中值定理公式大全,一文讲透高数中的微分中值定理

在0点处不可导,可自行证明)。

2 拉格朗日中值定理

来看下交通管理中的区间测速:

微分中值定理公式大全,一文讲透高数中的微分中值定理

时间

微分中值定理公式大全,一文讲透高数中的微分中值定理

采集到汽车的位移为

微分中值定理公式大全,一文讲透高数中的微分中值定理

,时间

微分中值定理公式大全,一文讲透高数中的微分中值定理

采集到汽车的位移为

微分中值定理公式大全,一文讲透高数中的微分中值定理

微分中值定理公式大全,一文讲透高数中的微分中值定理

可以据此算出平均速度

比如算出来平均速度为 70km/h ,平均速度是由瞬时速度叠加的结果,那么路程中的瞬时速度可能为:

  • 匀速前进:那么整个路程的瞬时速度必然全为 70km/h
  • 变速前进:整个路程的瞬时速度必然有大于、等于、小于 70km/h 的情况

下面是变速前进的速度变换动画(蓝色为大于,闪烁为平行即等于,绿色为小于):

微分中值定理公式大全,一文讲透高数中的微分中值定理

如果限速 60km/h ,那么根据汽车的平均速度为 70km/h ,就可以判定路程中必然至少有一个点超速。

微分中值定理公式大全,一文讲透高数中的微分中值定理

约瑟夫·拉格朗日伯爵,法国籍意大利裔数学家和天文学家,以他命名的拉格朗日中值定理就可以在数学层面解释刚才的现象。

2.1 拉格朗日中值定理

设函数满足以下两个条件:

  • 在闭区间 [a,b] 上连续
  • 在开区间 (a,b) 上可导

则存在

微分中值定理公式大全,一文讲透高数中的微分中值定理

这个定理的几何意义就是,至少存在一点的切线与端点的连线平行;物理意义是,至少存在一点的速度与平均速度相等:

微分中值定理公式大全,一文讲透高数中的微分中值定理

把它旋转一下,

得到的就是罗尔中值定理,可见罗尔是拉格朗日的特例:


3 柯西中值定理

设函数

满足以下条件:

  • 在闭区间 [a,b] 上连续
  • 在开区间 (a,b) 上可导
  • 有:

则存在

微分中值定理公式大全,一文讲透高数中的微分中值定理

,使等式

微分中值定理公式大全,一文讲透高数中的微分中值定理

成立。

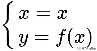
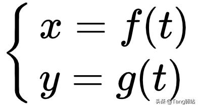
可以把

微分中值定理公式大全,一文讲透高数中的微分中值定理

组合成参数方程:

微分中值定理公式大全,一文讲透高数中的微分中值定理

这样柯西中值定理就有类似于拉格朗日中值定理一样的几何意义:

微分中值定理公式大全,一文讲透高数中的微分中值定理

如果:

微分中值定理公式大全,一文讲透高数中的微分中值定理

那么柯西中值定理就变为了拉格朗日中值定理,所以拉格朗日又是柯西的特例。


4 总结

三大微分中值定理的联系与区别:

微分中值定理公式大全,一文讲透高数中的微分中值定理

微分中值定理是微分学中最重要的基本定理之一,是沟通函数与其导数之间的桥梁,是应用导数的局部性质研究函数在区间上的整体性质的重要工具,也是不等式与等式证明的重要方法。因此,关于微分中值定理的学习与研究具有非常重要的实际应用与理论意义。

这就是关于《微分中值定理公式大全,一文讲透高数中的微分中值定理》的所有内容,希望对您能有所帮助!

本文链接:https://bk.89qw.com/a-833813

最近发表
网站分类