手机版

百科生活 投稿

45%的色域和72%的色域有什么区别,屏幕色域72%NTSC和100%sRGB有什么区别

百科 2026-04-04 03:25:06 投稿 阅读:6219次

关于【45%的色域和72%的色域有什么区别】,今天小编给您分享一下,如果对您有所帮助别忘了关注本站哦。

  • 内容导航:
  • 1、45%的色域和72%的色域有什么区别:屏幕色域72%NTSC和100%sRGB有什么区别?
  • 2、45%的色域和72%的色域有什么区别,常见色域基础知识与色域转换公式

1、45%的色域和72%的色域有什么区别:屏幕色域72%NTSC和100%sRGB有什么区别?

当我们选择显示器或笔记本电脑的屏幕时,某些用户可能会关心色域的值,该值是可以显示的色域范围。但是,共有三种常见的屏幕色域标准:sRGB,NTSC,Adobe RGB,那么72%NTSC或100%sRGB的哪一个更佳呢?有什么不同?

45%的色域和72%的色域有什么区别,屏幕色域72%NTSC和100%sRGB有什么区别

72%NTSC和100%sRGB有什么区别?

从下图可以看出,NTSC颜色空间范围是最宽的,几乎覆盖了sRGB,大约相当于100%sRGB≈72%NTSC(大约相等),但是如果严格的话,无法将sRGB转换为NTSC ,72%NTSC并不完全等于100%sRGB,因为72%NTSC所代表的颜色不一定在sRGB的蓝色框中。

45%的色域和72%的色域有什么区别,屏幕色域72%NTSC和100%sRGB有什么区别

屏幕色域是72%NTSC或100%sRGB哪一个更佳?

72%NTSC和100%sRGB无法直接判断谁具有更好的色彩性能,因为仍然存在屏幕调整问题。如果屏幕调整不好,即使色彩表现丰富,也可能无法显示最佳效果。如果需要做出判断,我个人建议您选择具有100%sRGB色域的屏幕。好啦,本期科普到此结束,如果大家有什么疑问欢迎文章下方交流。

2、45%的色域和72%的色域有什么区别,常见色域基础知识与色域转换公式

所谓色域(Color Space)就是一种颜色的表示方法,针对不同的显示设备不同的系统,往往有不同的表示方法。目前被广泛使用的色域可以被分为三大类:RGB、YIQ/YUV/YCrCb、CMYK。

※RGB应用最广泛,其又被称为Computer RGB;R'G'B'是RGB色域的Gamma矫正版,又被称为Studio RGB;

※YUV,YCrCb和YIQ被广泛应用于电视、视频系统中;

※CMYK则主要被应用于彩色打印系统中。

注:此外,还有CMOS图像传感器中常用的RAW(Bayer)格式,这在我之前的文章中介绍过,这里就不重复了。

然而,上诉任何一种色域都没有办法直接表示色彩色调(intuitive notions of hue)、饱和度(saturation)和亮度(brightness)。关于如何通过RGB色域计算获得这些值,请自行查阅关于HSI/HSV色域的相关内容。

RGB作为最为基本的色域(绝大部分的图像传感器和扫描仪的直接输出都是RGB色域),任何其他的色域都可以通过RGB值经过一系列计算获得。

注:本文在简单介绍各种色域的主要特征和主要应用背景后,将继续介绍各种色域之间的转换原理,并在最后直接提供转换公式,以方便大家使用。

色域基础知识

RGB 色域

顾名思义,RGB色域由红色(Red)、绿色(Green)和蓝色(Blue)的光学三原色组成。任何其他颜色的光线都可以由光学三原色按照特定比列组合而成。由于其易于在显示系统中实现,因此被广泛应用于电子成像系统、计算机图像显示和数字图像处理系统中。然而,将相机输出的RGB图像直接送到显示器上显示,效果却并不能令人满意。在不同厂家/型号的显示器上的显示效果也有着较大的差异,这主要是由于LCD显示器的非线性失真导致的。为了解决这个问题,一种非线性RGB编码(即Gamma矫正)应运而生。经过Gamma矫正之后的色域通常被称为R'G'B'色域或者Studio RGB色域。

RGB色域主要缺点是,它是一种“原始的”,未压缩的色域,相比于YUV色域其所需的数据带宽更高。

YUV/YIQ色域

YUV色域被广泛应用于PAL、NTSC和SECAM电视(视频)系统中。其中,Y表示明亮程度(luma)信息,而U和V则表示色彩浓度信息(chroma)。这样做的直接好处就是,对于黑白电视(视频)系统,只需要传输Y就可以了。

注:Luma和Brightness不是同一个概念。Luma表示色彩的明亮程度,而Brightness表示的光线的明亮程度(通常是背光)。

YIQ是NTSC电视系统所使用的色域,Y还是表示(色彩)明亮程度,I(即In-Phase)表示从橙色到青色的色彩,而Q(即Quadrature-Phase)表示的是从紫色到黄绿色的色彩。

YCrCb(YCbCr)色域

YCbCr是YUV的演进版本(系数有些变化,同时增加了偏置),但是在实际中,往往是把YUV和YCbCr认为是同一种是色域。比如YCbCr444/422/420往往和YUV444/422/420指的是同一种色域。以8bits的数据为例,RGB像素值的表示范围为0~255,而YCbCr/YUV确是限定范围的,Y的范围是15~235,而Cb/Cr(U/V)的范围是16~240(也有的版本是16~235),如下图所示:

45%的色域和72%的色域有什么区别,屏幕色域72%NTSC和100%sRGB有什么区别

YUV444、YUV422和YUV420的采样图示如下:

45%的色域和72%的色域有什么区别,屏幕色域72%NTSC和100%sRGB有什么区别

其中黑色的点为Y的采样点,圆圈为UV的采样点。显然YUV444和RGB的采样点是完全一致的,而YUV422和YUV420相对于RGB是有一定程度的“压缩”的。

CMYK色域

CMYK也称作印刷色彩模式。它和RGB相比最大不同是,RGB模式是发光的色彩模式,你在一间黑暗的房间内仍然可以看见萤幕上的内容。CMYK是一种依靠反光的色彩模式,我们能阅读报纸的内容是为什么呢?是因阳光或灯光照射到报纸上,再把内容反射到我们的眼中。CMYK是需要有外界光源的情况下才可以看到的。所以在黑暗房间内是无法阅读的。只要是在印刷品上看到的图像,就是CMYK模式表现的。比如期刊、杂志、报纸、宣传画册等,都是运用了CMYK模式。

CMY是3种印刷油墨名称的首字母:青色Cyan、品红色Magenta、黄色Yellow。而K取的是black最后一个字母,为了避免与蓝色混淆而用K。从理论上讲,只需要CMY三种油墨就足够,把CMY加在一起就应该得到黑色。但是高纯度的油墨暂时还不能实现,CMY相加的结果是暗红色。因此,为了确保黑色的输出,还需要加入一种专门的黑墨来调和。

色域转换原理

比较有意思的是,YUV(YCbCr)与RGB之间的转换原理并非是通过数学理论推导出来的,而是基于生物仿真学(Biometric)实验结果的:

45%的色域和72%的色域有什么区别,屏幕色域72%NTSC和100%sRGB有什么区别

公式中的CA、CB的值在不同的标准中稍微有一点区别。具体请参考ITU601.SDTV,ITU709.PAL/NTSC。

加上Cb/Cr,写成矩阵的形式:

45%的色域和72%的色域有什么区别,屏幕色域72%NTSC和100%sRGB有什么区别

进一步,可以写为:

45%的色域和72%的色域有什么区别,屏幕色域72%NTSC和100%sRGB有什么区别

其中CC,CD为:

45%的色域和72%的色域有什么区别,屏幕色域72%NTSC和100%sRGB有什么区别

逆向形式为:

45%的色域和72%的色域有什么区别,屏幕色域72%NTSC和100%sRGB有什么区别

色域转换公式

以下所有转YUV/YCbCr的公式输出的结果均为YUV/YCbCr444的格式,如需要转换为YUV422或者YUV420,则需要对UV(CbCr)分量做进一步处理。对于YUV422,可以直接丢弃每行的第二的采样点的UV值;对于YUV420,建议将相邻的四个采样点UV值取平均,以获得新的UV值。

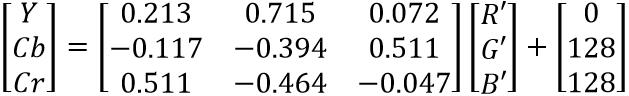
RGB转YCbCr:SDTV(IUT601)公式

45%的色域和72%的色域有什么区别,屏幕色域72%NTSC和100%sRGB有什么区别

RGB转YCbCr:HDTV(IUT709)公式

45%的色域和72%的色域有什么区别,屏幕色域72%NTSC和100%sRGB有什么区别

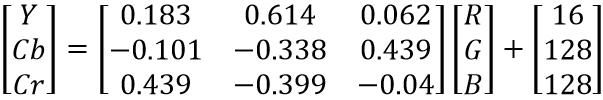
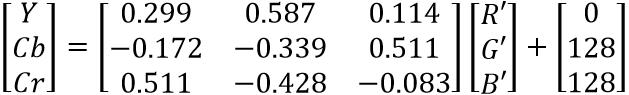
R'G'B'转YCbCr:SDTV(IUT601)公式

45%的色域和72%的色域有什么区别,屏幕色域72%NTSC和100%sRGB有什么区别

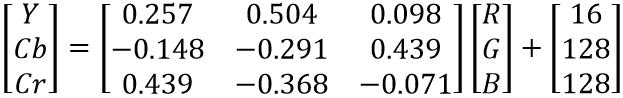
R'G'B'转YCbCr:HDTV(IUT709)公式

45%的色域和72%的色域有什么区别,屏幕色域72%NTSC和100%sRGB有什么区别

RGB转换YUV公式

45%的色域和72%的色域有什么区别,屏幕色域72%NTSC和100%sRGB有什么区别

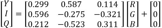
RGB转YIQ公式

45%的色域和72%的色域有什么区别,屏幕色域72%NTSC和100%sRGB有什么区别

YCbCr:SDTV(ITU601)转RGB公式

45%的色域和72%的色域有什么区别,屏幕色域72%NTSC和100%sRGB有什么区别

YCbCr:HDTV(ITU709)转RGB公式

45%的色域和72%的色域有什么区别,屏幕色域72%NTSC和100%sRGB有什么区别

YCbCr:SDTV(ITU601)转R'G'B'公式

45%的色域和72%的色域有什么区别,屏幕色域72%NTSC和100%sRGB有什么区别

YCbCr:HDTV(ITU709)转R'G'B'公式

45%的色域和72%的色域有什么区别,屏幕色域72%NTSC和100%sRGB有什么区别

YUV转RGB公式

45%的色域和72%的色域有什么区别,屏幕色域72%NTSC和100%sRGB有什么区别

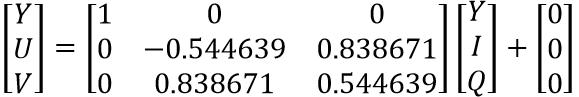
YIQ转RGB公式

45%的色域和72%的色域有什么区别,屏幕色域72%NTSC和100%sRGB有什么区别

YIQ转YUV公式

45%的色域和72%的色域有什么区别,屏幕色域72%NTSC和100%sRGB有什么区别

注:上述各公式中的偏置值均是基于8bits数计算的,如果是10bits或者更高bits,则应按比例增加该偏置值。

CMYK转RGB公式

45%的色域和72%的色域有什么区别,屏幕色域72%NTSC和100%sRGB有什么区别

主要参考资料

1、IUT. BT601

2、IUT.BT709

这就是关于《45%的色域和72%的色域有什么区别,屏幕色域72%NTSC和100%sRGB有什么区别》的所有内容,希望对您能有所帮助!

本文链接:https://bk.89qw.com/a-833945

最近发表
网站分类