百科生活 投稿
关于【pq公式大全集】,AP统计学公式汇总,今天小编给您分享一下,如果对您有所帮助别忘了关注本站哦。
结合AP统计学考试的形式,小编按照考卷中给出的公式以及必须记住的公式分别为同学们进行总结和归纳,这样同学们在以后复习的过程中有个取舍,从而提升复习的效率。当然,对那些自己要求高的学生,小编建议可以将这些公式全部记住,熟练运用,从而提升做题的速度和正确率。
第一部分:考卷给出的公式(选择和解答都给出)
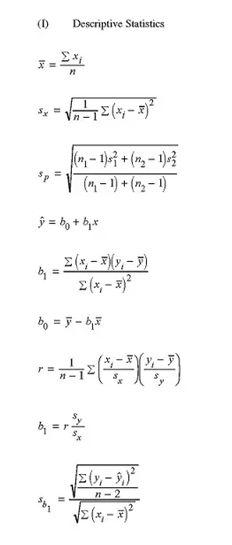
上述的公式主要是第一章的内容,重点是最小二乘回归线部分(有一些概念题),如果需要计算的话,都用计算器直接算出即可。
上述的公式前两个是概率的加法准则和条件概率的公式,乘法准则可以直接用条件概率的转换出来。

三、四是随机变量均值和方差(标准差的平方)的算法,这两个公式是普适的,任意随机变量都可以用。
接下来的五、六、七都是二项式分布随机变量的公式,分别是概率分布的计算,以及均值和标准差。
最后4个是单样本比例和单样本均值的抽样分布的公式。
上述的公式是最重要的了,因为计算器的重中之重就是第四章统计推断部分。最上面的两个是假设检验和置信区间的核心公式,statistic——样本统计 量,parameter——总体参数,critical value——根据置信水平(t分布中还要考虑自由度)算出的临界z score或者t score。
根据题目要求,我们要研究的统计量分为6种情况,其中比例分为单双样本两种,均值分为单双样本&z、t两种分布共四种,对于不同的情况我们就根据中间的公式进行选择。均值的情况,如果不知道总体标准差,就用t分布,此时公式中的σ用样本标准差s来代替。
第二部分:必须自己记住的公式
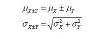
第一个是独立随机变量的组合公式,尤其需要注意的是下面那个标准差的公式必须在x和y独立的条件下才能使用。
第二个是各种自由度的公式
单样本均值 t分布时,df=n-1;
双样本均值差 t分布时,df=min(n1-1,n2-1),就是n1-1和n2-1当中较小的值;
回归线的斜率 t分布时,df=n-2;
拟合度的卡方检验时,df=i-1,i 是分类的总数;
独立性和齐次性的卡方检验时,df
本文关键词:pq型公式法,pqli公式,pq公式视频讲解,pqv公式,pq公式例题及答案。这就是关于《pq公式大全集,AP统计学公式汇总》的所有内容,希望对您能有所帮助!
- 最近发表