手机版

百科生活 投稿

费马定理到底有多厉害,超越费马猜想的终极难题

百科 2026-02-15 13:45:22 投稿 阅读:6097次

关于【费马定理到底有多厉害】,超越费马猜想的终极难题,今天涌涌小编给您分享一下,如果对您有所帮助别忘了关注本站哦。

蕴含18个积分的

超级运动方程

自从8岁的表妹放了暑假

每天都在问超模君

有没有好书推荐

费马定理到底有多厉害,超越费马猜想的终极难题

考虑到老少咸宜、兼备知识性和趣味性。超模君觉得,《三体》这本书,非常适合天赋异禀的8岁表妹。

说起《三体》,超模君回想到,在这本书的第一部当中,玩家通过模拟游戏,建立各种模型,以解析三体世界里三颗恒星的运行规律,从中遇到了很多宏伟却悲壮的景象。

费马定理到底有多厉害,超越费马猜想的终极难题

(在三体世界,三颗飞星表示三颗恒星都远离行星,会出现大严寒。)

费马定理到底有多厉害,超越费马猜想的终极难题

(在三体世界,三日凌空产生的高温,足以蒸发行星表面的一切。)

当然还有更恐怖的景象,比如:

费马定理到底有多厉害,超越费马猜想的终极难题

(在三体世界,三日连珠指三颗恒星与行星位于同一直线,产生叠加引力。)

费马定理到底有多厉害,超越费马猜想的终极难题

(在三体世界,飞星不动是最大的灾难,意为行星飞向并坠入恒星。)

费马定理到底有多厉害,超越费马猜想的终极难题

(洛希极限:当小天体临近大天体,会被大天体的引力撕裂,洛希极限为两者距离的临界值。)

当游戏进行到第192关后,玩家们发现绞尽脑汁,也无法解答这三颗恒星的运动规律,只好得出了三体问题无解这一结论。

其实不仅仅是科幻小说,在现实中,三体问题经过科学家们几百年前赴后继的摸索,同样是一道无解难题。

有关三体问题,超模君还要从老熟人希尔伯特说起……

费马定理到底有多厉害,超越费马猜想的终极难题

什么是三体问题?

1900年,希尔伯特在他著名的演讲中,提出了23个困难的数学问题,以及两个典型的数学案例:一个是鼎鼎有名的费马猜想,另外一个,恰恰就是N体问题的特例——三体问题。

时过境迁,费马猜想在二十多年前已经被英国数学家怀尔斯证明,而三体问题却成为了数学大厦上,一块挥之不去的乌云。

费马定理到底有多厉害,超越费马猜想的终极难题

三体问题实际上是天体力学中的基本力学模型,探究三个质量、初始位置和初始速度都为任意的可视为质点的天体,在相互之间万有引力的作用下的运动规律。

科学家们经过长期研究得出结论,每一个天体在其他两个天体的万有引力作用下,运动方程都可以表示成3个二阶的常微分方程,或6个一阶的常微分方程。

这就显而易见了,3*3*2=3*6*1=18,至少要有18个积分,才能得到三体问题的完全解。而截至目前,科学家们绞尽脑汁也只能得到16个积分,三体问题仍是未解之谜。

但是,没有什么困难可以让我们的科学家们轻言放弃。

三体问题的数学推断

对于三体问题这一庞然大物,科学家们决定采用微分方程的定性理论,来研究长时间内三体运动的宏观规律和全局性质。

并且尝试代入数值,计算某一天体在某些时刻的具体位置和速度,具体代数式如下:

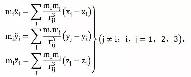
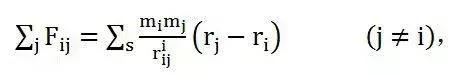
根据万有引力定律和牛顿第二定律,可以得到在三体问题中,作用于其中一个质点Qi的力是:

费马定理到底有多厉害,超越费马猜想的终极难题

设 m 为质点的质量;r 为质点的位置矢量;rij 为两质点间的距离;Fij 为两质点间的作用力。

于是,三体问题中Qi的运动微分方程可以写为:

费马定理到底有多厉害,超越费马猜想的终极难题

上式在直角坐标轴中的投影式为:

费马定理到底有多厉害,超越费马猜想的终极难题

所以,三体问题中的每个天体在数学中都可以被写成3个二阶常微分方程,共6阶,三个天体就是18阶。

因为已知积分不足以解决三体问题,所以科学家们的研究方向,就是如何去简化数学式了。

著名数学家布伦斯和庞加莱曾证明n体问题只有10个运动积分,即3个动量积分,3个关于质心运动的积分,3个动量矩积分和1个能量积分,而且它们都是代数式。

应用这10个积分可将三体问题的18阶方程降低到8阶,再用“消去时间法”降低到7阶,又用“消去节线法”降低到6阶。如为平面三体问题则可降为4阶。

不过,消除了运动积分和时间、结线、维度的三体问题,只能被称为“理想状态”下的三体问题。

费马定理到底有多厉害,超越费马猜想的终极难题

若想要解决完整的三体问题,所有的积分和条件就都需要考虑进来了,“理想状态”下的三体问题,只是给完整的三体问题指了一条明路。

三体问题的研究成果

在三体问题被提出后的两百年间,几乎所有18、19世纪的著名数学家都尝试过去求解,但研究进展微乎其微,直到希尔伯特那次著名的演讲,才终于有了突破。

这次三体问题的突破,主要是发现了三体运动的三种特殊情况,在这三种特殊情况下,三体问题具有特解。

1.拉格朗日-欧拉族:三星成三角形,围绕三角形中心旋转;

费马定理到底有多厉害,超越费马猜想的终极难题

2.布鲁克-赫农族:两颗星围绕第三颗星旋转;

费马定理到底有多厉害,超越费马猜想的终极难题

3. 8字型族:三个等质量的物体在一条8字形轨道上运动。

费马定理到底有多厉害,超越费马猜想的终极难题

但同样,这也属于“理想状态”下三体问题的范畴,为了更直观解决三体问题,后来的科学家们还提出了“限制性三体问题”:

费马定理到底有多厉害,超越费马猜想的终极难题

限制性三体问题的条件下,三体运动已经是对实际物理简化得很厉害了,比如说对质点,球体自转、形状这些因素统统不考虑。

然而无论怎么变化,牛顿、拉格朗日、拉普拉斯、泊松、雅可比、庞加莱等等大师们,为这个问题穷尽精力,也未能将它攻克。

科学发展到现在,三体问题的求解过程真的是一部令人心酸的简化史。

费马定理到底有多厉害,超越费马猜想的终极难题

虽然三体问题没有被最终攻克,但科学家们在研究过程中,取得了非常有用的成果。

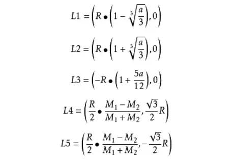
1772年,拉格朗日在“平面限制性三体问题”的条件下找到了五组特解,从而发现了沿用至今的“拉格朗日点”。

费马定理到底有多厉害,超越费马猜想的终极难题

(地月拉格朗日点:L1、L2、L3、L4、L5)

当小天体位于两个大天体的拉格朗日点附近时,小天体可以基本保持静止,按照拉格朗日的推论,每一个双星系统共有五个拉格朗日点,其中只有两个是稳定的。

两个稳定点L4、L5与两个天体所在的点,构成一个等边三角形。五个拉格朗日点的计算公式如下:

费马定理到底有多厉害,超越费马猜想的终极难题

正是因为拉格朗日点具有较好的稳定性,所以它的应用很是广泛,像NASA的月球空间站,就建立在地月的拉格朗日点。

而且,运用拉格朗日点来设计行星间的转移轨道,可以使宇宙探测器、飞船更加安全、平稳的在轨道上运行。

费马定理到底有多厉害,超越费马猜想的终极难题

虽然三体问题仍未被完全解答,但是,科学家们一直保持着前进的脚步。

1993年,塞尔维亚物理学家米洛万·舒瓦科夫和迪米特拉·什诺维奇发现了三体运动方程中新的13组特解。

加上前面所说的3组特解,三体问题特解的族数一下扩充到了16组,这对人们研究太空火箭轨道和双星演化,都有很大的帮助。

费马定理到底有多厉害,超越费马猜想的终极难题

时至今日,科学界对三体问题的研究,以及对其衍生出的应用的发掘,仍步履不停、滚滚向前。

三体问题无解析解

说了这么多,想必大家也已经达成了共识:三体问题真的无解。

三体问题之所以无解,除了前文说到的缺少积分之外,更重要的是:三体系统在空间中的分布可以有无穷多种情况,通常情况下是非周期性的。

冗长的宇宙时间还会通过蝴蝶效应,把初始的微小误差无限放大,产生所谓的“混沌现象”。

费马定理到底有多厉害,超越费马猜想的终极难题

(与双星系统相比,三体系统的复杂程度可见一斑)

混沌现象其实普遍存在于我们的生活当中,比如端流问题、气象或地震预测、洋流跟踪、微观粒子运动、病毒扩散等等……

这类现象不能产生规律性的答案,无法用解析式表达出来,我们常说的“三体问题无解”,准确地来说其实就是无解析解。

最后,借用《三体》小说中数学家魏成的话:三体问题若想真正解决,是建立一种数学模型,使得在已知任何一个时间断面的初始运动矢量,都能够精确预测三体系统以后所有的运动状态。

所以说,想要在不远的未来解决三体问题的话,就要从现在开始,每天跟超模君一起,好好学数学……

本文关键词:费马定理与费马大定理,费马大定理 百度百科,费马定理是哪一年被证明出来的,费马定理简单解释,费马定理是啥。这就是关于《费马定理到底有多厉害,超越费马猜想的终极难题》的所有内容,希望对您能有所帮助!

本文链接:https://bk.89qw.com/a-838332

最近发表
网站分类