手机版

百科生活 投稿

数学数列知识点和公式最全汇总,高职高考数学公式和例题

百科 2026-02-05 13:34:09 投稿 阅读:4555次

关于【数学数列知识点和公式最全汇总】,高职高考数学公式和例题,今天小编给您分享一下,如果对您有所帮助别忘了关注本站哦。

数列作为历年的高考重点考查内容之一,估测试题会出现在数列的知识、函数知识、不等式的知识和解析几何知识等的交汇点处命题,从而使数列试题呈现综合性强、立意新、角度新、难度大的特点。

数学数列知识点和公式最全汇总,高职高考数学公式和例题

等差数列的定义与性质

数学数列知识点和公式最全汇总,高职高考数学公式和例题

数学数列知识点和公式最全汇总,高职高考数学公式和例题

等比数列的定义与性质

数学数列知识点和公式最全汇总,高职高考数学公式和例题

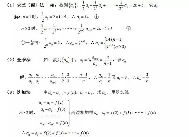
求数列通项公式的常用方法

数学数列知识点和公式最全汇总,高职高考数学公式和例题

数学数列知识点和公式最全汇总,高职高考数学公式和例题

求数列前n项和的常用方法

数学数列知识点和公式最全汇总,高职高考数学公式和例题

本文关键词:高职高考数学常用公式,高职高考所有数学公式,高职高考必考数学题,高职高考数学试题,高职高考数学知识点总结。这就是关于《数学数列知识点和公式最全汇总,高职高考数学公式和例题》的所有内容,希望对您能有所帮助!

本文链接:https://bk.89qw.com/a-840402

最近发表
网站分类