手机版

百科生活 投稿

回忆那些童年的味道,有哪些计算圆周率的神奇公式

百科 2026-02-08 17:37:11 投稿 阅读:9411次

关于【回忆那些童年的味道】,今天小编给您分享一下,如果对您有所帮助别忘了关注本站哦。

  • 内容导航:
  • 1、回忆那些童年的味道:有哪些计算圆周率的神奇公式?
  • 2、回忆那些童年的味道,让人疯狂想念的童年味道

1、回忆那些童年的味道:有哪些计算圆周率的神奇公式?

一说起圆周率π,很多人就想到祖冲之老爷子的割圆术。

说实话,祖大人也挺无奈的,从我们小学就开始割圆,一直割到大学还在割。

但割圆术只适合手算,如何用电脑算π呢?

"title":"泰勒展开","content"

泰勒展开在科学计算中简直有着匪夷所思的变态威力。

之前我有一篇文章泰勒为何要展开? 泰勒公式有什么神奇作用?介绍了什么是泰勒展开,它可以把复杂函数转换成加减乘除,比如sinx:

回忆那些童年的味道,有哪些计算圆周率的神奇公式

之所以要展开,是因为通用计算机本质上只能计算加减乘除。

"title":"用泰勒展开计算π","content"

首先想到的思路就是,反三角函数,根据定义有:

回忆那些童年的味道,有哪些计算圆周率的神奇公式

那么,接下来的问题就是,

如何计算arctan(1)

有人说,直接调用C语言库函数atan(double,double)不就行了。

确实,这可以完成计算,然而,这是一种令人不齿的开挂行为,就好像我问怎么跑完马拉松,你说你开车一溜烟就跑完了一样。

库函数是别人写好的,我们现在是思索如何实现计算,而不是考虑如何调用。

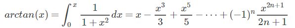
至此,我们只好请出祖传配方,把arctan(x)进行泰勒展开:

回忆那些童年的味道,有哪些计算圆周率的神奇公式

然后,令x = 1,得到:

回忆那些童年的味道,有哪些计算圆周率的神奇公式

格雷戈里-莱布尼茨公式

它被称为莱布尼茨级数,也被称为格雷戈里-莱布尼茨级数,用以纪念莱布尼茨同时代的天文学家兼数学家詹姆斯·格雷戈里。

看起来很吊是不是······

但是啊但是,还不够吊,因为问题还没完:

这个级数收敛极慢。

比如,算到+4/9,也就是前五项,结果仅为3.3396,误差有0.2之多。

它要到算500000项之后,才会精确到小数点后五位:

就算电脑也算得太累了。

何况莱布尼兹(1646年7月1日-1716年11月14日)当年是没有电脑的!

"title":"加快收敛","content"

于是,人们尝试改进,希望能快点计算。

英国数学家梅钦在1706年用上面的级数,发掘了一个可以快速收敛的公式:

回忆那些童年的味道,有哪些计算圆周率的神奇公式

配合上面arctan(x)泰勒展开,梅钦依据此公式(没有电脑),把圆周率计算到小数点后一百多位。

英国数学家威廉·谢克斯花15年的时间以此计算到小数点后707位,不过在第528位时出错,因此后面的都不正确了。

微微杯具就是了。

"title":"神奇公式","content"

现代有了电脑,我们希望更快的收敛速度,因此科学家在寻找新的级数。

历史总是留给吊人的,也总是会生产一些吊人的。

比如:

回忆那些童年的味道,有哪些计算圆周率的神奇公式

拉马努金公式

这玩意被称为拉马努金公式,是印度科学家拉马努金发明的。

第一位用拉马努金公式计算π并取得进展的是比尔·高斯珀,他在1985年计算了小数点后一千七百万位。

收敛再快一点?还有楚德诺夫斯基公式

回忆那些童年的味道,有哪些计算圆周率的神奇公式

楚德诺夫斯基公式

楚德诺夫斯基兄弟于1989年算得π小数点后10亿(10⁹)位,法布里斯·贝拉于2009年算得2.7千亿(2.7×10¹²)位,亚历山大·易和近藤滋在2011年算得一万亿(10¹³)位。

意不意外,惊不惊喜,

无不无聊······


2、回忆那些童年的味道,让人疯狂想念的童年味道

前阵子向大家征集了一波:有什么童年里难忘的食物回忆,已经变成了时代的眼泪?

收到大家上万字的热情来稿,一字字读完,不禁感慨:或许是因为我们这一代人,真的曾经拥有很多,也因此会失去更多。

小时候最爱的冰棍果汁干脆面,或许再无踪影,但感谢互联网,帮我们记住这些时代的眼泪。

接下来,就让我们进入正题:

回忆那些童年的味道,有哪些计算圆周率的神奇公式

1个真理:

每个人心中都有一包最爱的干脆面!

回忆那些童年的味道,有哪些计算圆周率的神奇公式

@777

小浣熊最灵魂的不止是水浒卡啊!还有芝麻肉松包!!没有芝麻肉松包就没有灵魂!!

@辛伯谌

除了小浣熊,当然是能跟它一争天下的康师傅小虎队了!

回忆那些童年的味道,有哪些计算圆周率的神奇公式

@毕达哥斯拉

十多年前上小学的时候吃的不是小浣熊,而是魔法士

回忆那些童年的味道,有哪些计算圆周率的神奇公式

:包装上的刘谦也是时泪了啊

回忆那些童年的味道,有哪些计算圆周率的神奇公式

@今天公司的WiFi怎么也这么烂

只有我的童年是小当家吗?吃小当家的人们在哪里!

回忆那些童年的味道,有哪些计算圆周率的神奇公式

打开冰柜

5块钱以下的冰淇淋越来越少了

回忆那些童年的味道,有哪些计算圆周率的神奇公式

@SUMMER

大小布丁!我永永远远神!还有一个很喜欢的冰棒,叫做小矮人,一包5毛,有好多根五颜六色的冰棒可以分享给大家!

回忆那些童年的味道,有哪些计算圆周率的神奇公式

@満ち暁

啊啊啊!必须是星星雨!再也吃不到的冰淇淋,里面的巧克力脆块夹心真的yyds!!

回忆那些童年的味道,有哪些计算圆周率的神奇公式

:巧乐兹给星星雨跪下!

@乡愁眯道

绿舌头啊!!每次吃完自己也变成绿舌头了!而且感觉可以一次性吃到冰淇淋和果冻好开心喔。

回忆那些童年的味道,有哪些计算圆周率的神奇公式

@靖婧净

@QING-Y

夏天专属的两吃冰糕,外层是橘子味的中空容器,里面是白色冰淇淋——边挖里面的冰淇淋,边啃外层的冰糕,别提多好吃了!!

回忆那些童年的味道,有哪些计算圆周率的神奇公式

@Chelsy

幼儿园时,夏天最盼望的是下午放学,妈妈会给我买一只和路雪的小牛奶,包装上是一只卡通狮子。就是一根细长的圆柱形牛奶雪糕,刚刚好适合小朋友的量。妈妈会等我慢慢吃完,然后一起走回家。可能因为那些记忆,现在很喜欢吃牛奶味道浓的雪糕。

回忆那些童年的味道,有哪些计算圆周率的神奇公式

想开小卖部的最大理由

是可以有吃不完的糖!

回忆那些童年的味道,有哪些计算圆周率的神奇公式

@小老鼠退散

大大泡泡糖!小时候和我哥比谁吹得大,练得腮帮子都酸了还是吹不大,可能这就是天赋吧;)

@暗月

喔喔奶糖,今年居然在理发店前台看到了!小时候住在乡下,村里唯一买零食的地方就是一个老奶奶开的小卖部,每逢过年她都会送我们三姐妹一大包奶糖,是童年甜蜜温暖的回忆。

回忆那些童年的味道,有哪些计算圆周率的神奇公式

@王桢媚

这种小酒瓶形状的酒心巧克力…现在再也找不到当年的味道了……

回忆那些童年的味道,有哪些计算圆周率的神奇公式

@QING-Y

小时候最喜欢吃的泡泡糖是比巴卜的,里面送贴纸,还会送小塑料立牌,是小时候去小卖部的首选零食!还记得大人说:泡泡糖不能咽下去,不然肠子会粘在一起!

回忆那些童年的味道,有哪些计算圆周率的神奇公式

@哲学鬼才

强林奶宝yyds!小时候不知道它叫什么,只知道把包装上的小猴子剪下来,塞进童话书里,暗暗发誓长大了要买光整个世界的强林奶宝!

回忆那些童年的味道,有哪些计算圆周率的神奇公式

@周小蛮

超霸立波柠檬糖!!一看到盒子就条件反射分泌口水

回忆那些童年的味道,有哪些计算圆周率的神奇公式

找了好久,都说停产了......

回忆那些童年的味道,有哪些计算圆周率的神奇公式

@郑焜木 Komi

小时候吃的脊髓灰质炎减毒活疫苗糖丸,从那之后,再也没接触过这个味道了。

@春暖花开

宝塔糖,是小时候最期待吃的药

回忆那些童年的味道,有哪些计算圆周率的神奇公式

回忆那些童年的味道,有哪些计算圆周率的神奇公式

就算一直被念少吃零食多吃饭

还是忍不住伸手......

回忆那些童年的味道,有哪些计算圆周率的神奇公式

@勺

鬼脸嘟嘟

!现在好像已经停产了

回忆那些童年的味道,有哪些计算圆周率的神奇公式

每个饼干的表情都不一样,有种类似盲盒的感觉hhh。怪想念的,想念小时候那种朴实的快乐......

回忆那些童年的味道,有哪些计算圆周率的神奇公式

@-

菜园小饼的爱心!老包装背面会有一包里能吃出几个爱心的幸运值啥的,现在包装换了没有了。

回忆那些童年的味道,有哪些计算圆周率的神奇公式

:第一次看到这么多爱心!太壮观了!!

@芥末加酱油

青食的椰子饼干,山东的小伙伴应该都知道,不对,得是老伙伴们,一种暴露年龄的零食。前几年又出现了,但绝对不是小时候的味道了。

@温颖茜

坐标广东深圳,小学最爱卜卜星,爽爽面,大华牛肉干,最爱喝的是利宾纳兑水和广东人探病必备的葡萄适

回忆那些童年的味道,有哪些计算圆周率的神奇公式

@DonWin

难忘的食物,五羊牌的蛋奶批,超好吃,可惜现在没有了,无比怀念。

@我再也不用真名了

达能甜趣甜心挞!!票圈还发过寻“饼”启事。又穷又馋的小时候,吃饼干都是用门牙磨饼皮,最后一口吞掉馅料。啊,甜心挞!怎么会是你变成卡夫的牺牲品!啊,达能!你怎么连饼干线都保不住!

回忆那些童年的味道,有哪些计算圆周率的神奇公式

回忆那些童年的味道,有哪些计算圆周率的神奇公式

@Wendy

长鼻王!一直以为长鼻王是大家共同的童年回忆,直到发现我的新疆男友都不知道那是啥......后来发现好像只是江浙沪的共同回忆。

回忆那些童年的味道,有哪些计算圆周率的神奇公式

@伍大晨囧 Florence

星球杯啊!一毛钱一个!

回忆那些童年的味道,有哪些计算圆周率的神奇公式

@chan

幼儿园最爱,学前班以后就没有吃了。长大后才发现,浪味仙的英文这么悲哀。

回忆那些童年的味道,有哪些计算圆周率的神奇公式

每包黑暗零食背后

都有一段都市怪谈

回忆那些童年的味道,有哪些计算圆周率的神奇公式

家里的父母长辈,肯定为了不让你吃这些零食,讲过不少黑暗故事,但依旧没能阻止你偷偷摸摸买——塑料做的辣条,老鼠肉做的牛肉干......

他们口中的黑暗零食,都有同样的副作用,会越吃越笨

@小张

沈峰辣条!它真的是我这辈子吃过最好吃的辣条,自从初中开始就再也没吃过了,应该是停产了。但它就像我心中的初恋一样,每当看到和它有一点像的辣条,都想尝尝看。

@黑森林的红叶落了二百次

谁以前没背着家长偷偷去小卖部买过香菇肥牛唐僧肉呢?

回忆那些童年的味道,有哪些计算圆周率的神奇公式

@Vera Sang

小时候吃的无花果丝,一毛钱一袋越南绿豆糕,一毛钱一小盒,一毛钱一个的大刀肉辣条,一毛钱两个的陈皮糖,一毛钱一袋的小石头糖。当时零花钱一星期只有5毛钱,从没吃过2毛钱或5毛钱的零食......

@阿巴阿巴

华华丹=猴王丹=老鼠屎......究竟有多少别名啊!

回忆那些童年的味道,有哪些计算圆周率的神奇公式

@饿饿饭饭钱钱

CC乐!我的小卖部零食启蒙!而且很小,可以偷偷吃不被家长老师发现x

回忆那些童年的味道,有哪些计算圆周率的神奇公式

@咸鱼霉霉

大皮哥小皮哥!5毛一包,牛肉味儿最绝——里面会送钱!基本都是一毛两毛,但我中过一次五毛……这不就基本等于白嫖了?

五颜六色的含糖饮料冷柜

只留在回忆中的夏天

回忆那些童年的味道,有哪些计算圆周率的神奇公式

@lilyM

每座城市都有一款橘子饮料!冰峰、北冰洋、红宝.......我的记忆是健力宝

@

酷儿,全世界最好喝也是最可爱的果汁饮料!瓶盖上的酷儿头还是不一样的!至今收藏着瓶盖没舍得扔。

回忆那些童年的味道,有哪些计算圆周率的神奇公式

@章鱼仔

雀巢冰爽茶!为什么那么好喝还退出了市场,为什么!!!小时候夏日必备啊!!!

回忆那些童年的味道,有哪些计算圆周率的神奇公式

@艾樂樂

小学的暑假在表妹家,午睡后从冷藏室拿出半罐有点跑汽的西瓜味醒目咕噜咕噜喝下去。

回忆那些童年的味道,有哪些计算圆周率的神奇公式

@cccccccccc

童年难忘的食物!高乐高!富家子弟才能拥有,小时候去同学家喝了一次,那味道太香了!!!

回忆那些童年的味道,有哪些计算圆周率的神奇公式

@無名

小时候最开始喝奶茶是这种杯装的!总感觉和现在的味道不同......虽然是更劣质的香精味......但还是蛮想念的叻!

回忆那些童年的味道,有哪些计算圆周率的神奇公式

@moss酱的小号

最早的冲饮回忆就是菊花晶了,甜甜的,带点中草药味!小时候和奶奶相处比较多,奶奶总觉得它是性凉的,去火,比喝饮料好......

回忆那些童年的味道,有哪些计算圆周率的神奇公式

@KevinX

麦乳精、乐口福,当年还因为周立波海派清口回温了一段时间。

@未完待续

国企央企爸妈单位,夏天有打冰汽水,拿开水壶去打的那种,甜甜的橘子味饮料,天天免费。

当年的方便面没那么多小料

但依旧好吃得无可替代

回忆那些童年的味道,有哪些计算圆周率的神奇公式

@周婧

美厨方便面是速食面届yyds!小时候吃美厨,真的不是因为它吃起来方便,而是因为它实在实在太好吃了!

但我妈老说熟泡面吃多了不好,所以我过很久才能吃一次,然而每一次吃美厨,都极有仪式感:看着妈妈拆开外包装,把里面的调料包逐一取出,再来就是监督她把所有的面都下到锅里,连一小小截都不能留,接着,便是坐在桌前等待热腾腾的泡面上桌。

最喜欢黑胡椒味,每一口都像中华小当家画得一样,一群人在我的味觉神经附近敲锣打鼓、翩翩起舞。汤头是重点,每次我都边和自己说着:再喝一口,这真的是最后一口了……最后,把碗里的汤喝得一滴不剩为止。

哇,好想再吃一次黑胡椒味的美厨。

@Evelyn

康师傅花旗参方便面!第一次吃是在小学的时候,在火车上吃桶面,觉得超级好次!长大后发现再也买不到了!!

回忆那些童年的味道,有哪些计算圆周率的神奇公式

:我懂!我的怨念是统一来一桶精炖排骨味TUT,统一下架它绝对是世纪之殇。

@菜菜酱

当然是北京方便面

,永远替代不了的!小时候的梦想就是天天吃顿顿吃

回忆那些童年的味道,有哪些计算圆周率的神奇公式

……不说了,我去吃了

@叉烧蛋卷他娘

鸽牌虾片,当年的年夜饭头道菜,不是上海带来的都不叫正宗。

回忆那些童年的味道,有哪些计算圆周率的神奇公式

现在都无法理解

这么好吃的东西为什么会下架!

回忆那些童年的味道,有哪些计算圆周率的神奇公式

@KUMAburger

麦麦的草莓奶昔

,小时候吃麦麦肯定会喝草莓奶昔,便宜,很温柔的好喝,后来一天想点时,被告知下架了

回忆那些童年的味道,有哪些计算圆周率的神奇公式

@早点睡觉少熬夜

M记的苹果派,曾经还出过一款咸派,还有黑白椰子派,什么时候能复刻啊啊啊啊啊,还不学学隔壁开封菜!

回忆那些童年的味道,有哪些计算圆周率的神奇公式

@BETTERthanfine

什么时候让田园脆鸡堡回归啊啊啊啊,以前去KFC,妈妈只认可田园脆鸡堡,因为里面的蔬菜粒显得它(好像)比其他汉堡健康

回忆那些童年的味道,有哪些计算圆周率的神奇公式

德克士玉米浓汤,小学最爱,凡是介绍给别人没有不喜欢的,可惜后来没有了,去多个店多次去问,服务员都表示不知道。

@winchester

肯德基的香芋甜心啊!!!小时候第一次吃就喜欢上了,然后中间有段时间没吃,突然有一次心血来潮想吃时,被告知下架了,当初哭得感觉天塌了。

回忆那些童年的味道,有哪些计算圆周率的神奇公式

@香皂

肯德基初代的饭yyds!!当年拿着优惠券背菜名背了好久,培根蘑菇鸡腿饭,匈牙利风味炖牛肉饭,黄金咖喱猪扒饭,意式翠蔬鸡腿饭......比现在的好吃多了!!尤其是培根蘑菇鸡腿饭,到现在我都不知道那个脆脆的绿色蔬菜丁是什么,只记得很好吃。

回忆那些童年的味道,有哪些计算圆周率的神奇公式

@李欣怡

对麦当劳珍宝三角

记忆深刻,绿色牛肉紫色鸡腿!!小时候吃麦当劳一般都吃这个(或许是麻麻觉得它比汉堡包健康哈哈哈哈)官网现在还挂着当时的新闻,据说是麦当劳中国历史上第一款汉堡以外的主食,它有可能再回来吗

回忆那些童年的味道,有哪些计算圆周率的神奇公式

回忆那些童年的味道,有哪些计算圆周率的神奇公式

@屿梦-lumon

虽然我是零零后,但肯德基纸质优惠券我见过,一直攒着,直到过期了也没有去过肯德基……等我终于可以去了,发现优惠券没了(那么大一个快乐没了)

回忆那些童年的味道,有哪些计算圆周率的神奇公式

@郑小囧

本90后老阿姨有话说!必胜客很早时是有自助沙拉台的,每人给一个盘子,能拿多少全凭本事,充分发挥搭建思维,一层层堆起来,吃什么不重要,重要的是摞得高高的!

@牙口好

K记真的出过很多玩具!上校游戏机我当年也有,最喜欢的还是零几年的哈姆太郎新年玩具!!好喜欢丽丽,摁下开关还会脸红唱歌!但因为丽丽是白色的小仓鼠,很担心她会变脏,当时会每天拿餐巾纸蘸水认真擦一遍让丽丽漂亮又干净。

回忆那些童年的味道,有哪些计算圆周率的神奇公式

左边哈姆太郎,右边丽丽!

@某位航海家

虽然不是吃的,但要提名肯德基的茶犬!千古遗恨!!就算现在看也觉得好可爱,小绿小花阿尔乌龙茶,没能搞到你们是我一辈子的遗憾QAQ.......于是之后在漫展买了一套更贵的茶犬玩具(。

回忆那些童年的味道,有哪些计算圆周率的神奇公式

@bu.

以前麦当劳一套玩具,一周只出一款,集齐一套要一个月;奶昔大哥滑嘟嘟,汉堡神偷;还出过一套109只大头狗挂饰,和一套几十只不同颜色的kt摆件,当时读初中的男朋友送了我一套kt......我的回忆里竟全是麦当劳。

:重点,读初中的男朋友......一套......

@小夏本人

麦麦出过大耳狗玩具,还很可爱!我为什么当时是KFC党啊啊啊

回忆那些童年的味道,有哪些计算圆周率的神奇公式

回忆那些童年的味道,有哪些计算圆周率的神奇公式

@Jade Jielu Cai

太想吃元祖停产的芝士蛋糕

了。第一次吃惊为天人,现在想来,虽然只是一个朴素的芝士蛋糕,但哪里都吃不到那种特别单纯的味道了。想吃到什么程度呢?我不间断会发私信给元祖问他们会不会上架

回忆那些童年的味道,有哪些计算圆周率的神奇公式

一些本土快餐店

正在渐渐消失

@B612Θ

新亚大包!他们的排骨年糕真的好好吃,我最开始喜欢的就是这道菜。

回忆那些童年的味道,有哪些计算圆周率的神奇公式

@小兔子琦琦

黄陂北路南京西路口的荣华鸡,童年回忆啊!罗宋汤和酸辣白菜真好吃。

回忆那些童年的味道,有哪些计算圆周率的神奇公式

@陈什么琛

没有肯德基麦当劳的时候,厦门同安老城区的新佳美是童年最美味的餐厅,炸童子鸡,狮城炒饭,爆米花。现在还开着,凭着一个炒饭,二三十年不倒。

回忆那些童年的味道,有哪些计算圆周率的神奇公式

@Pisces

在肯德基开到我们这里之前,有一家快餐叫美国加州牛肉面大王。一碗面条我永远也吃不掉。最好吃的是里面的泡菜。后来再也吃不到那么好吃的泡菜了。

@鲔鱼大腹

很久以前,厦门中山路步行街有个小房子叫佳佳,卖芒果刨冰的,他们在旁边骑楼里有个小仓库专门堆芒果,这些都不是重点,重点是他家的芒果可丽饼巨无敌螺旋超级爆好吃!

饼子的边缘煎得脆脆的,脆边边的口味和质感都很像香港的鸡蛋脆筒,切上几大块芒果,铺得满满的,挤上奶油满满一大包递给你。

每次想试试别的口味,然后想了想那一仓库的芒果又回到了芒果可丽饼。已经消失很久了,他们可丽饼怎么会那么好吃啊?!有时光机的话,绝对要回去吃个痛快

回忆那些童年的味道,有哪些计算圆周率的神奇公式

初代外来餐厅的记忆

是它们

@M

时代眼泪:豪客来。刚开始在我们那边超级火,也是很多本地人的牛排启蒙餐厅。对我个人来讲最眼泪的是——爷爷很喜欢吃牛肉,对西餐无感的他也点名想去吃。

回忆那些童年的味道,有哪些计算圆周率的神奇公式

@Spaz

上岛咖啡!属于是时代的眼泪了!小时候经常跟着爷爷喝早茶,吃牛扒。牛扒就都是在上岛咖啡吃的,很oldschool的吃法,一份牛扒标配的红茶餐包玉米奶油羹,餐包配一盒炼奶。

回忆那些童年的味道,有哪些计算圆周率的神奇公式

@Penguinaction

酷圣石冰淇淋,退出中国市场很久了,好喜欢它家巧克力薄荷冰淇淋加椰丝!

回忆那些童年的味道,有哪些计算圆周率的神奇公式

@伤心地铁

那时候,每个城市都有一个服务员穿轮滑鞋服务的西餐厅……

熟悉的路边摊味

越来越难找了

回忆那些童年的味道,有哪些计算圆周率的神奇公式

@面倒

鸡蛋汉堡

回忆那些童年的味道,有哪些计算圆周率的神奇公式

我可以一次性淦两个。现在路边都找不到啦 好想念TT

@Evelyn

有没有人记得米饭饼!就是那种有淡淡酒酿香味,白白圆圆的饼,刚出炉的时候热热软软香香,小时候早饭超级喜欢吃,后来慢慢就没得卖了,已经好多年没吃到了。

回忆那些童年的味道,有哪些计算圆周率的神奇公式

@失忆患者

广东人民表示消失的茶点。有一些已经比较少出现,比如:紫菜卷,芋头糕,芋角,糯米包……

@盐焗肘子

坐标成都,狼牙土豆。小学最爱,回家路上经过的所有小吃店基本都要卖狼牙土豆。最喜欢糖醋味,现在已经很少能吃到当时的味道了。

@心怡儿

路边小单车卖的糯米糍,摇着摇杆大罐子里的糯米就会挤出来一颗颗小丸子在花生粉里。1块钱一小盒,放学的快乐

回忆那些童年的味道,有哪些计算圆周率的神奇公式

@omark

小时候夏天弄堂里,推车会卖“茉莉冻”,薄荷味,像果冻一样凉凉的,加点淡糖水,一小碗清凉解暑。因为太爱吃,曾偷家里钱买下一整保温瓶,大约十碗,一次全部吃掉,老板收钱的手都在颤抖。一直以为是家乡特有风物,逐渐消失在岁月中,以后再吃不到了。长大后来到祖国大西南,发现这玩意儿有啥稀奇的,就“冰粉”呗,满大街都是

回忆那些童年的味道,有哪些计算圆周率的神奇公式

@蒙多

小时候住在半山腰的山村,会有卖冰棍的挑着担进村,我们就高兴地回家拿鸡蛋出来,一个鸡蛋换两根冰棍。没换到冰棍的小伙伴,就紧跟着我,眼睛死死盯着冰棍,问:甜不甜?好不好吃?吃完剩下的竹签,也要吮好久才舍得扔掉。

也有敲麦芽糖的货郎。每次看到,都会把平时收集的旧牙膏皮、破塑料凉鞋、破皮鞋、废铁丝等等,像宝贝一样拿给货郎,看他敲糖时,眼睛盯着那个锤子和铁片,哪怕漏下一点点,也要拿回来放进嘴里。那时候,最幸福的就是能吃冰棍和麦芽糖。

回忆那些童年的味道,有哪些计算圆周率的神奇公式

@☆

记得小学时,学校里种了超多红色的花,一到开花的季节,和同学就去摘那个中间的丝,是花蕊吗还是啥,里面的液体吃起来甜甜的,很像蜂蜜

:猜你说的是一串红!但现在,因为会打农药,不建议大家吸了TUT

回忆那些童年的味道,有哪些计算圆周率的神奇公式

时代眼泪背后

是陪伴我们走过时间的人与故事

@罗希望

米子,每次回家爷爷都会给我准备,可以泡糖水,也可以直接吃,最享受的吃法是把脸埋里面吃。今年爷爷查出来癌症晚期了,希望他能陪我们久一点,再久一点......

有些感情不能只用时间衡量,要用重量。

回忆那些童年的味道,有哪些计算圆周率的神奇公式

@果粒橙️

我印象中暴露年龄的美食是康师傅红烧牛肉面,但必须是从南通海安去南京路上唯一的休息站里卖的

那时候从县城去南京看爸爸需要一大早就在路边等车,依维柯的面包车,过道里都是乘客用小板凳紧紧挤着坐(铁定超载),经常车上只剩一个板凳,妈妈和我两个人没办法上车,有时候要等上大半天,才能招手拦到可以上的车。

当时,从海安到南京要开一整天,没有高速,途中只有一个休息点,又破又脏,印象中窗户都是黑的,那边只卖红烧牛肉面,当服务员阿姨把水从绿色塑料开水瓶里倒进面碗里的时候,那个香气绝了!

也是只有这时候才能吃到方便面,平时是没有机会吃的。后来有了高速,又有了火车,去南京只要三个小时了,这个休息站和里面的方便面就只能留存在记忆里。

@

刚准备出发去机场,却收到延误的通知,就拐道去老市场买八仔粄和黑白凉粉

八仔粄是由米浆做成的咸口小吃,点缀葱头肉末,老市场路口有一家无名小摊做得很好,每天下午三点开售。一到两点五十,爷爷就会带着我们一班小孩去路口占位子,才能吃上最新鲜最香滑的那一口。

黑白凉粉以前是沿街叫卖的,小时候在客厅看电视时,总记得分一根神经来留心听,一听到卖凉粉的阿姨扯着嗓子长长的喊“凉—粉——”,就拉着奶奶出门买。

小时候好像一块五就能买到一杯,我喜欢黑凉粉白凉粉西米露混着喝,爽口韧劲都在那一口里。现在变成三块钱一碗,还是熟悉的红糖水味道。

爷爷已经走了,但他对于食物的讲究和执着在我身上留下来了一部分。奶奶讲话也含糊了,但吃着老市场的八仔粄还是很起劲儿。

相邻的两家小吃摊也还像十几年前一样,下午两三点出摊,相熟的街坊们来坐坐吃点儿,卖完就收摊。好怀念小时候啊。

回忆那些童年的味道,有哪些计算圆周率的神奇公式

***

从时间到时代,少了两笔,但却跨越了很多很多年。

很多年以后,今天我们习以为常的事物,或许也会变成未来的时代眼泪。

总有一天,我们会失去它们,就算尝试复刻,也可能变味;对此,我们会惋惜,会遗憾,会愤愤不平,但丢失的同时,也意味着我们长大啦。

至少还有记忆留下来,不完美,却依旧美丽,也不会变质。

祝各位:

回忆那些童年的味道,有哪些计算圆周率的神奇公式

本文关键词:回忆下童年的味道,这些童年回忆,回味童年的回忆,回忆童年的味道的作文600字,回忆童年的味道的说说。这就是关于《回忆那些童年的味道,有哪些计算圆周率的神奇公式》的所有内容,希望对您能有所帮助!

本文链接:https://bk.89qw.com/a-843244

最近发表
网站分类