手机版

百科生活 投稿

右手定则和右手螺旋定则,电磁感应定律

百科 2025-10-23 19:57:25 投稿 阅读:2319次

关于【右手定则和右手螺旋定则】,电磁感应定律,今天小编给您分享一下,如果对您有所帮助别忘了关注本站哦。

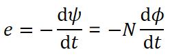
电磁感应定律是法拉第于1831年发现的。将一个匝数为N的线圈置于磁场中,与线圈交链的磁链为则不论什么原因(如线圈与磁场发生相对运动或磁场本身发生变化等),只要发生了变化,线圈内就会感应出电动势。该电动势倾向于在线圈内产生电流,以阻止的变化。设电流的正方向与电动势的正方向一致,即正电势产生正电流,而正电流又产生正磁通,即电流方向和磁通方向符合右手螺旋法则,则电磁感应定律的数学描述为:

右手定则和右手螺旋定则,电磁感应定律

右手定则和右手螺旋定则,电磁感应定律

这是一个实验定律,式中的负号表示感应电动势将产生的电流所激励的磁场总是倾向于阻止线圈中磁链的变化,这个常称为楞次定律

特别地,若N匝线圈中通过的磁通都是即磁链为:

右手定则和右手螺旋定则,电磁感应定律

右手定则和右手螺旋定则,电磁感应定律

导致磁通变化的原因可归纳为两大类:

  1. 磁通由时变电流产生,即磁通是时间t的函数。
  2. 线圈与磁场间有相对的运动,即磁通是位移变量x的函数。

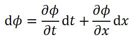
综合起来,磁通的全增量是:

右手定则和右手螺旋定则,电磁感应定律

右手定则和右手螺旋定则,电磁感应定律

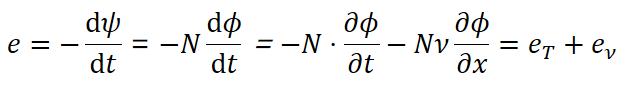
上式中,v=dx/dt为线圈与磁场相对运动的速度。

右手定则和右手螺旋定则,电磁感应定律

上式为变压器电动势,与变压器工作时的情况一样,由此而得名。

右手定则和右手螺旋定则,电磁感应定律

上式为为运动电动势,在电机学中也叫速度电动势或旋转电动势,或俗称切割电动势,它是磁场恒定时,单由线圈与磁场之间的相对运动所产生的。

虽然普遍来说,任一线圈中都可能同时存在上述两种电动势,但为了简化分析,同时也利于突出特点,下面将两种电动势分别予以讨论。

变压器电动势

设线圈与磁场相对静止,与线圈交链的磁通随时间变化,特别地,按正弦规律变化,即:

右手定则和右手螺旋定则,电磁感应定律

上式中m,为磁通幅值,

右手定则和右手螺旋定则,电磁感应定律

为磁通交变角频率,单位式rad/s。

于是:

右手定则和右手螺旋定则,电磁感应定律

式中:

 右手定则和右手螺旋定则,电磁感应定律

右手定则和右手螺旋定则,电磁感应定律

为感应电动势幅值。

上式表明,电动势的变化规律与磁通变化规律相同,但相位上滞后90°

右手定则和右手螺旋定则,电磁感应定律

右手定则和右手螺旋定则,电磁感应定律

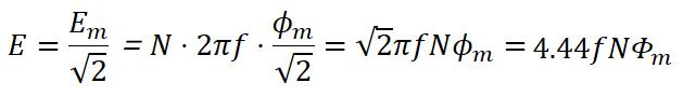
在交流正弦分析中,向量的大小用有效值表示。感应电动势的有效值

右手定则和右手螺旋定则,电磁感应定律

这就是电机学中变压器电动势的一般化公式。

运动电动势

右手定则和右手螺旋定则,电磁感应定律

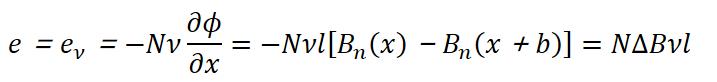
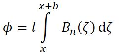
如图所示,设匝数为N的线圈在恒定的磁场(B不随时间变化,仅在长度l范围内沿着方向按一定的规律分布),即为函数B()正方向n为垂直进入纸面)中以速度v沿着方向运动,线圈两边平行,但与垂直,宽度为b,有效长度为l,距原点的距离为x,则任意时刻,穿过线圈的磁通为

右手定则和右手螺旋定则,电磁感应定律

线圈中产生的感应电动势即运动电动势为:

右手定则和右手螺旋定则,电磁感应定律

式中,磁场Bn,线圈运动方向v和感应电动势e之间的关系由右手定则确定。

希望磁场得以最充分利用,则磁场应只有垂直于线圈平面的分量,即

右手定则和右手螺旋定则,电磁感应定律

若进一步希望在线圈中得到最大的感应电动势,还应要求

右手定则和右手螺旋定则,电磁感应定律

即线圈一边与另一边的磁场大小恒相等,但方向恒相反。事实上这也是电动机设计的基本准则。

对于单根导体,在B,v,l相互垂直的假设条件下,由

右手定则和右手螺旋定则,电磁感应定律

可得

右手定则和右手螺旋定则,电磁感应定律

这与物理学中的结果是一致的。

本文关键词:右手定则和右手螺旋定则是一个东西吗,右手定则和右手螺旋定则和左手定则的区别,右手定则和右手螺旋定则的内容,左手定则和右手定则和右手螺旋定则,右手定则和右手螺旋定则的适用范围。这就是关于《右手定则和右手螺旋定则,电磁感应定律》的所有内容,希望对您能有所帮助!

本文链接:https://bk.89qw.com/a-847875

最近发表
网站分类