手机版

百科生活 投稿

扣件式钢管脚手架施工规范最新,建筑施工扣件式钢管脚手架

百科 2026-02-08 13:37:40 投稿 阅读:3061次

关于【扣件式钢管脚手架施工规范最新】,今天涌涌小编给您分享一下,如果对您有所帮助别忘了关注本站哦。

  • 内容导航:
  • 1、扣件式钢管脚手架施工规范最新:建筑施工扣件式钢管脚手架
  • 2、扣件式钢管脚手架施工规范最新,建筑施工扣件式钢管脚手架安全技术规范

1、扣件式钢管脚手架施工规范最新:建筑施工扣件式钢管脚手架

门洞

单、双排脚手架门洞宜采用上升斜杆、平行弦杆架结构形式(图6.5.1),斜杆与地面的倾角a应在45~60°之间。门洞析架的形式宜按下列要求确定:

1当步距(h)小于纵距(la时,应采用A型;

2当步距(h)大于纵距(a)时,应采用B型,并应符合下列规定:

1)h=1.8m时,纵距不应大于1.5m;

2)h=2.0m时,纵距不应大于1.2m。

单、双排脚手架门洞架的构造应符合下列规定:

1单排脚手架门洞处,应在平面架(图6.5.1中ABCD)的每一节间设置一根斜腹杆;双排脚手架门洞处的空间架,除下弦平面外,应在其余 5个平面内的图示节间设置一根斜腹杆的纵端上

接扣

(图

()挑空一根立杆A型

h

H

(b)挑空二根立杆A型

60

H

(c)挑空一根立杆B型

9

H

(d)挑空二根立杆B型

门洞处上升斜杆、平行弦杆架

1一防滑扣件;2一增设的横向水平杆;3一副立杆;4一主立杆剖面。

斜腹杆宜采用旋转扣件固定在与之相交的横向水平杆伸出端上,旋转扣件中心线至主节点的距离不宜大于150mn当斜腹杆在1跨内跨越2个步距(图6.5.A型)时,宜在相交的纵向水平杆处,增设一根横向水平杆,将斜腹杆固定在其伸出

端上。

斜腹杆宜采用通长杆件,当必须接长使用时,宜采用对接扣件连接,也可采用搭接,搭接构造应符合本规范第2款的规定。

单排脚手架过窗洞时应增设立杆或增设一根纵向水平村。

替换

倾斜

两端对齐

插入超链

左对齐

左边距

全文删

单排脚手架过窗洞构造

1一增设的纵向水平杆

门洞析架下的两侧立杆应为双管立杆,副立杆高度应高于门洞口1~2步。

门洞架中伸出上下弦杆的杆件端头,均应增设一个防滑扣件,该扣件宜紧靠主节点处的扣件。

2、扣件式钢管脚手架施工规范最新,建筑施工扣件式钢管脚手架安全技术规范

1总则

1.0.1为在扣件式钢管脚手架设计与施工中贯彻执行国家安全生产的方针政策,确保施工人员安全,做到技术先进、经济合理、安全适用,制定本规范。

1.0.2本规范适用于房屋建筑工程和市政工程等施工用落地式单、双排扣件式钢管脚手架、满堂扣件式钢管脚手架、型钢悬挑扣件式钢管脚手架、满堂扣件式钢管支撑架的设计、施工及验收。

1.0.3扣件式钢管脚手架施工前,应按本规范的规定对其结构构件与立杆地基承载力进行设计计算,并应编制专项施工方案。

1.0.4扣件式钢管脚手架的设计、施工及验收,除应符合本规范的规定外,尚应符合国家现行有关标准的规定。

2 术语和符号

2.1 术语

2.1.1扣件式钢管脚手架

为建筑施工而搭设的、承受荷载的由扣件和钢管等构成的脚手架与支撑架,包含本规范各类脚手架与支撑架,统称脚手架。

2.1.2支撑架

为钢结构安装或浇筑混凝土构件等搭设的承力支架。

2.1.3单排扣件式钢管脚手架

只有一排立杆,横向水平杆的一端搁置固定在墙体上的脚手架,简称单排架。

2.1.4双排扣件式钢管脚手架

由内外两排立杆和水平杆等构成的脚手架,简称双排架。

2.1.5满堂扣件式钢管脚手架

在纵、横方向,由不少于三排立杆并与水平杆、水平剪刀撑、竖向剪刀撑、扣件等构成的脚手架。该架体顶部作业层施工荷载通过水平杆传递给立杆,顶部立杆呈偏心受压状态,简称满堂脚手架。

2.1.6满堂扣件式钢管支撑架

在纵、横方向,由不少于三排立杆并与水平杆、水平剪刀撑、竖向剪刀撑、扣件等构成的承力支架。该架体顶部的钢结构安装等(同类工程)施工荷载通过可调托撑轴心传力给立杆,顶部立杆呈轴心受压状态,简称满堂支撑架。

2.1.7开口型脚手架

沿建筑周边非交圈设置的脚手架为开口型脚手架;其中呈直线型的脚手架为一字型脚手架。

2.1.8封圈型脚手架

沿建筑周边交圈设置的脚手架。

2.1.9扣件

采用螺栓紧固的扣接连接件为扣件;包括直角扣件、旋转扣件、对接扣件。

2.1.10防滑扣件

根据抗滑要求增设的非连接用途扣件。

2.1.11底座

设于立杆底部的垫座;包括固定底座、可调底座。

2.1.12可调托撑

插入立杆钢管顶部,可调节高度的顶撑。

2.1.13水平杆

脚手架中的水平杆件。沿脚手架纵向设置的水平杆为纵向水平杆;沿脚手架横向设置的水平杆为横向水平杆。

2.1.14扫地杆

贴近楼地面设置,连接立杆根部的纵、横向水平杆件;包括纵向扫地杆、横向扫地杆。

2.1.15连墙件

将脚手架架体与建筑主体结构连接,能够传递拉力和压力的构件。

2.1.16连墙件间距

脚手架相邻连墙件之间的距离,包括连墙件竖距、连墙件横距。

2.1.17横向斜撑

与双排脚手架内、外立杆或水平杆斜交呈之字形的斜杆。

2.1.18剪刀撑

在脚手架竖向或水平向成对设置的交叉斜杆。

2.1.19抛撑

用于脚手架侧面支撑,与脚手架外侧面斜交的杆件。

2.1.20脚手架高度

自立杆底座下皮至架顶栏杆上皮之间的垂直距离。

2.1.21脚手架长度

脚手架纵向两端立杆外皮间的水平距离。

2.1.22脚手架宽度

脚手架横向两端立杆外皮之间的水平距离,单排脚手架为外立杆外皮至墙面的距离。

2.1.23步距

上下水平杆轴线间的距离。

2.1.24立杆纵(跨)距

脚手架纵向相邻立杆之间的轴线距离。

2.1.25立杆横距

脚手架横向相邻立杆之间的轴线距离,单排脚手架为外立杆轴线至墙面的距离。

2.1.26主节点

立杆、纵向水平杆、横向水平杆三杆紧靠的扣接点。

2.2 符号

2.2.1荷载和荷载效应

gk——立杆承受的每米结构自重标准值;

MGk——脚手板自重产生的弯矩标准值;

MQk——施工荷载产生的弯矩标准值;

MWk——风荷载产生的弯矩标准值;

NG1k——脚手架立杆承受的结构自重产生的轴向力标准值;

NG2k——脚手架构配件自重产生的轴向力标准值;

∑NGk——永久荷载对立杆产生的轴向力标准值总和;

∑NQk——可变荷载对立杆产生的轴向力标准值总和;

Nk——上部结构传至基础顶面的立杆轴向力标准值;

Pk——立杆基础底面处的平均压力标准值;

wk——风荷载标准值;

wo——基本风压值;

M——弯矩设计值;

MW——风荷载产生的弯矩设计值;

N——轴向力设计值;

Nl——连墙件轴向力设计值;

Nlw——风荷载产生的连墙件轴向力设计值;

R——纵向或横向水平杆传给立杆的竖向作用力设计值;

υ——挠度;

σ——弯曲正应力。

2.2.2材料性能和抗力

E——钢材的弹性模量;

f——钢材的抗拉、抗压、抗弯强度设计值;

fg——地基承载力特征值;

Rc——扣件抗滑承载力设计值;

[υ]——容许挠度;

[λ]——容许长细比。

2.2.3几何参数

A——钢管或构件的截面面积,基础底面面积;

An——挡风面积;

Aw——迎风面积;

[H]——脚手架允许搭设高度;

h——步距;

i——截面回转半径;

l——长度,跨度,搭接长度;

la——立杆纵距;

lb——立杆横距;

lo——立杆计算长度,纵、横向水平杆计算跨度;

s——杆件间距;

t——杆件壁厚。

W——截面模量;

λ——长细比;

Ф——杆件直径;

2.2.4计算系数

K——立杆计算长度附加系数;

μ——考虑脚手架整体稳定因素的单杆计算长度系数;

μs——脚手架风荷载体型系数;

μstw——按桁架确定的脚手架结构的风荷载体型系数;

μz——风压高度变化系数;

φ——轴心受压构件的稳定系数,挡风系数;

3 构配件

3.1 钢管

3.1.1脚手架钢管应采用现行国家标准《直缝电焊钢管》GB/T13793或《低压流体输送用焊接钢管》GB/T3091中规定的Q235普通钢管;钢管的钢材质量应符合现行国家标准《碳素结构钢》GB/T700中Q235级钢的规定。

3.1.2脚手架钢管宜采用Ф48.3×3.6钢管。每根钢管的最大质量不应大于25.8kg。

3.2 扣件

3.2.1扣件应采用可锻铸铁或铸钢制作,其质量和性能应符合现行国家标准《钢管脚手架扣件》GBl5831的规定。采用其它材料制作的扣件,应经试验证明其质量符合该标准的规定后方可使用。

3.2.2扣件在螺栓拧紧扭力矩达到65N・m时,不得发生破坏。

3.3 脚手板

3.3.1脚手板可采用钢、木、竹材料制作,单块脚手板的质量不宜大于30kg。

3.3.2冲压钢脚手板的材质应符合现行国家标准《碳素结构钢》GB/T700中Q235级钢的规定。

3.3.3木脚手板材质应符合现行国家标准《木结构设计规范》(3850005中IIa级材质的规定。脚手板厚度不应小于50mm,两端宜各设置直径不小于4mm的镀锌钢丝箍两道。

3.3.4竹脚手板宜采用由毛竹或楠竹制作的竹串片板、竹笆板;竹串片脚手板应符合现行行业标准《建筑施工木脚手架安全技术规范》JGJl64的相关规定。

3.4 可调托撑

3.4.1 可调托撑螺杆外径不得小于36mm,直径与螺距应符合现行国家标准《梯型螺纹》GB/T 5796.2、GB/T 5796.3的规定。

3.4.2可调托撑的螺杆与支托板焊接应牢固,焊缝高度不得小于6mm;可调托撑螺杆与螺母旋合长度不得少于5扣,螺母厚度不得小于30mm。

3.4.3可调托撑抗压承载力设计值不应小于40kN,支托板厚不应小于5mm。

3.5 悬挑脚手架用型钢

3.5.1悬挑脚手架用型钢的材质应符合现行国家标准《碳素结构钢》GB/T700或《低合金高强度结构钢》GB/T1591的规定。

3.5.2用于固定型钢悬挑梁的U型钢筋拉环或锚固螺栓材质应符合现行国家标准《钢筋混凝土用钢第1部分:热轧光圆钢筋》GB1499.1中HPB235级钢筋的规定。

4 荷载

4.1 荷载分类

4.1.1作用于脚手架的荷载可分为永久荷载(恒荷载)与可变荷载(活荷载)。

4.1.2脚手架永久荷载应包含下列内容:

1 单排架、双排架与满堂脚手架:

1) 架体结构自重:包括立杆、纵向水平杆、横向水平杆、剪刀撑、扣件等的自重;

2) 构、配件自重:包括脚手板、栏杆、挡脚板、安全网等防护设施的自重。

2 满堂支撑架:

1) 架体结构自重:包括立杆、纵向水平杆、横向水平杆、剪刀撑、可调托撑、扣件等的自重;

2) 构、配件及可调托撑上主梁、次梁、支撑板等的自重。

4.1.3脚手架可变荷载应包含下列内容:

1 单排架、双排架与满堂脚手架:

1) 施工荷载:包括作业层上的人员、器具和材料等的自重;

2) 风荷载。

2 满堂支撑架:

1) 作业层上的人员、设备等的自重;

2) 结构构件、施工材料等的自重;

3) 风荷载。

4.1.4用于混凝土结构施工的支撑架上的永久荷载与可变荷载,应符合现行行业标准《建筑施工模板安全技术规范》JGJ162的规定。

4.2 荷载标准值

4.2.1永久荷载标准值的取值应符合下列规定:

1 单、双排脚手架立杆承受的每米结构自重标准值,可按本规范附录 A 表

A.0.1 采用;满堂脚手架立杆承受的每米结构自重标准值,宜按本规范附录 A 表

A.0.2 采用;满堂支撑架立杆承受的每米结构自重标准值,宜按本规范附录 A 表A.0.3采用。

2 冲压钢脚手板、木脚手板、竹串片脚手板与竹芭脚手板自重标准值,宜按表4.2 1-1取用。

表4.2.1-1 脚手板自重标准值

扣件式钢管脚手架施工规范最新,建筑施工扣件式钢管脚手架

3 栏杆与挡脚板自重标准值,宜按表4.2.1-2采用。

表4.2.1-2 栏杆、挡脚板自重标准值

扣件式钢管脚手架施工规范最新,建筑施工扣件式钢管脚手架

4 脚手架上吊挂的安全设施(安全网)的自重标准值应按实际情况采用,密目式安全立网自重标准值不应低于O.01kN/m2。

5 支撑架上可调托撑上主梁、次梁、支撑板等自重应按实际计算。对于下列情况可按表4.2.1-3采用

1) 普通木质主梁(含 Ф48.3×3.6双钢管)、次梁,木支撑板;

2) 型钢次梁自重不超过10号工字钢自重,型钢主梁自重不超过H100×100×6×8型钢自重,支撑板自重不超过木脚手板自重。

表4.2.1-3 主梁、次梁及支撑板自重标准值 (kN/m2)

扣件式钢管脚手架施工规范最新,建筑施工扣件式钢管脚手架

4.2.2单、双排与满堂脚手架作业层上的施工荷载标准值应根据实际情况确定,且不应低于表4.2.2的规定。

表4.2.2 施工均布荷载标准值

扣件式钢管脚手架施工规范最新,建筑施工扣件式钢管脚手架

注:斜道上的施工均布荷载标准值不应低于2.0kN/m2。

4.2.3当在双排脚手架上同时有2个及以上操作层作业时,在同一个跨距内各操作层的施工均布荷载标准值总和不得超过5.0kN/m2。

4.2.4满堂支撑架上荷载标准值取值应符合下列规定:

1 永久荷载与可变荷载(不含风荷载)标准值总和不大于4.2kN/m2时,施工均布荷载标准值应按本规范表4.2.2采用;

2 永久荷载与可变荷载(不含风荷载)标准值总和大于4.2kN/m2时,应符合下列要求:

1) 作业层上的人员及设备荷载标准值取1.0kN/m2;大型设备、结构构件等可变荷载按实际计算;

2) 用于混凝土结构施工时,作业层上荷载标准值的取值应符合现行行业标准《建筑施工模板安全技术规范》JG162的规定。

4.2.5作用于脚手架上的水平风荷载标准值,应按下式计算:

扣件式钢管脚手架施工规范最新,建筑施工扣件式钢管脚手架

[4.2.5]

式中:wk——风荷载标准值(kN/m2);

μz——风压高度变化系数,应按现行国家标准《建筑结构荷载规范》CB50009规定采用;

μs——脚手架风荷载体型系数,应按本规范表4.2.6的规定采用;

ωo——基本风压值(kN/m2),应按国家标准《建筑结构荷载规范》(3-B50009-2001附表D.4的规定采用,取重现期n=10对应的风压值。

4.2.6脚手架的风荷载体型系数,应按表4.2.6的规定采用。

表4.2.6 脚手架的风荷载体型系数μs

扣件式钢管脚手架施工规范最新,建筑施工扣件式钢管脚手架

注:1、μstw值可将脚手架视为桁架,按国家标准《建筑结构荷载规范》GB50009-2001表7.3.1第32项和第36项的规定计算;

2、Ф为挡风系数,Ф=1.2An/Aw,其中:An为挡风面积;Aw为迎风面积。敞开式脚手架的Ф值可按本规范附录A表A.0.5采用。

4.2.7密目式安全立网全封闭脚手架挡风系数Ф不宜小于0.8。

4.3 荷载效应组合

4.3.1设计脚手架的承重构件时,应根据使用过程中可能出现的荷载取其最不利组合进行计算,荷载效应组合宜按表4.3.1采用。

表4.3.1 荷载效应组合

扣件式钢管脚手架施工规范最新,建筑施工扣件式钢管脚手架

4.3.2满堂支撑架用于混凝土结构施工时,荷载组合与荷载设计值应符合现行行业标准《建筑施工模板安全技术规范》JGJ162的规定。

5 设计计算

5.1 基本设计规定

5.1.1脚手架的承载能力应按概率极限状态设计法的要求,采用分项系数设计表达式进行设计。可只进行下列设计计算:

1 纵向、横向水平杆等受弯构件的强度和连接扣件的抗滑承载力计算;

2 立杆的稳定性计算;

3 连墙件的强度、稳定性和连接强度的计算:

4 立杆地基承载力计算。

5.1.2计算构件的强度、稳定性与连接强度时,应采用荷载效应基本组合的设计值。永久荷载分项系数应取1.2,可变荷载分项系数应取1.4。

5.1.3脚手架中的受弯构件,尚应根据正常使用极限状态的要求验算变形。验算构件变形时,应采用荷载效应的标准组合的设计值,各类荷载分项系数均应取1.0。

5.1.4当纵向或横向水平杆的轴线对立杆轴线的偏心距不大于55mm时,立杆稳定性计算中可不考虑此偏心距的影响。

5.1.5当采用本规范第6.1.1条规定的构造尺寸,其相应杆件可不再进行设计计算。但连墙件、立杆地基承载力等仍应根据实际荷载进行设计计算。

5.1.6钢材的强度设计值与弹性模量应按表5.1.6采用。

表 5.1.6 钢材的强度设计值与弹性模量(N/mm2)

扣件式钢管脚手架施工规范最新,建筑施工扣件式钢管脚手架

5.1.7扣件、底座、可调托撑的承载力设计值应按表5.1.7采用。

表 5.1.7 扣件、底座、可调托撑的承载力设计值(kN)

扣件式钢管脚手架施工规范最新,建筑施工扣件式钢管脚手架

5.1.8受弯构件的挠度不应超过表5.1.8中规定的容许值。

表 5.1.8 受弯构件的容许挠度

扣件式钢管脚手架施工规范最新,建筑施工扣件式钢管脚手架

注:1为受弯构件的跨度,对悬挑杆件为其悬伸长度的2倍。

5.1.9受压、受拉构件的长细比不应超过表5.1.9中规定的容许值。

表 5.1.9 受压、受拉构件的容许长细比

扣件式钢管脚手架施工规范最新,建筑施工扣件式钢管脚手架

5.2 单、双排脚手架计算

5.2.1纵向、横向水平杆的抗弯强度应按下式计算:

扣件式钢管脚手架施工规范最新,建筑施工扣件式钢管脚手架

[5.2.1]

式中: σ——弯曲正应力;

M——弯矩设计值(Nmm),应按本规范第5.2.2条的规定计算;

W——截面模量(mm3),应按本规范附录B表B.0.1采用;

f——钢材的抗弯强度设计值(N/mm2),应按本规范表5.1.6采用。

5.2.2纵向、横向水平杆弯矩设计值,应按下式计算:

扣件式钢管脚手架施工规范最新,建筑施工扣件式钢管脚手架

(5.2.2)

式中: MGK——脚手板自重产生的弯矩标准值(kNm);

MQK——施工荷载产生的弯矩标准值(kN・m)。

5.2.3纵向、横向水平杆的挠度应符合下式规定:

扣件式钢管脚手架施工规范最新,建筑施工扣件式钢管脚手架

(5.2.3)

式中:υ——挠度(mm);

[υ]——容许挠度,应按本规范表5.1.8采用。

5.2.4计算纵向、横向水平杆的内力与挠度时,纵向水平杆宜按三跨连续梁计算,计算跨度取立杆纵距la;横向水平杆宜按简支梁计算,计算跨度lo可按图(5.2.4)采用。

扣件式钢管脚手架施工规范最新,建筑施工扣件式钢管脚手架

5.2.5纵向或横向水平杆与立杆连接时,其扣件的抗滑承载力应符合下式规定:

扣件式钢管脚手架施工规范最新,建筑施工扣件式钢管脚手架

(5.2.5 )

式中:R——纵向或横向水平杆传给立杆的竖向作用力设计值;

RC——扣件抗滑承载力设计值,应按本规范表5.1.7采用。

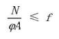
5.2.6立杆的稳定性应符合下列公式要求:

不组合风荷载时:

扣件式钢管脚手架施工规范最新,建筑施工扣件式钢管脚手架

[5.2.6-1]

组合风荷载时:

扣件式钢管脚手架施工规范最新,建筑施工扣件式钢管脚手架

[5.2.6-2]

式中:N——计算立杆段的轴向力设计值(N),应按本规范式(5.2.7-1)、(5.2.7-2)计算;

φ——轴心受压构件的稳定系数,应根据长细比λ由本规范附录A表A.0.6取值;

λ——长细比,λ=(l0)/i;

l0——计算长度(mm),应按本规范第5.2.8条的规定计算;

i——截面回转半径(mm),可按本规范附录B表B.0.1采用;

A——立杆的截面面积(mm2),可按本规范附录B表B.0.1采用;

MW——计算立杆段由风荷载设计值产生的弯矩(N・mm),可按本规范式(5.2.9)计算;

f——钢材的抗压强度设计值(N/mm2),应按本规范表5.1.6采用。

5.2.7计算立杆段的轴向力设计值N,应按下列公式计算:

不组合风荷载时:

扣件式钢管脚手架施工规范最新,建筑施工扣件式钢管脚手架

(5.2.7 -1)

组合风荷载时:

扣件式钢管脚手架施工规范最新,建筑施工扣件式钢管脚手架

(5.2.7 -2)

式中:NG1k——脚手架结构自重产生的轴向力标准值;

NG2k——构配件自重产生的轴向力标准值;

∑NQk——施工荷载产生的轴向力标准值总和,内、外立杆各按一纵距内施工荷载总和的1/2取值。

5.2.8立杆计算长度l0按下式计算:

l0 = kμh [5.2.8]

式中:k――立杆计算长度附加系数,其值取1.155,当验算立杆允许长细比时,取k=1;

μ――考虑单、双排脚手架整体稳定因素的单杆计算长度系数,应按表5.2.8采用;

h――步距。

表 5.2.8 单、双排脚手架立杆的计算长度系数μ

扣件式钢管脚手架施工规范最新,建筑施工扣件式钢管脚手架

扣件式钢管脚手架施工规范最新,建筑施工扣件式钢管脚手架

5.2.9由风荷载产生的立杆段弯矩设计值Mw,可按下式计算:

扣件式钢管脚手架施工规范最新,建筑施工扣件式钢管脚手架

[5.2.9]

式中:Mwk――风荷载产生的弯矩标准值(kN・m);

Wk――风荷载标准值(kN/m2),应按本规范式(4.2.5)计算;

la――立杆纵距(m)。

5.2.10单、双排脚手架立杆稳定性计算部位的确定应符合下列规定:

1 当脚手架采用相同的步距、立杆纵距、立杆横距和连墙件间距时,应计算底层立杆段;

2 当脚手架的步距、立杆纵距、立杆横距和连墙件间距有变化时,除计算底层立杆段外,还必须对出现最大步距或最大立杆纵距、立杆横距、连墙件间距等部位的立杆段进行验算。

5.2.11单、双排脚手架允许搭设高度[H]应按下列公式计算,并应取较小值。

不组合风荷载时:

扣件式钢管脚手架施工规范最新,建筑施工扣件式钢管脚手架

组合风荷载时:

扣件式钢管脚手架施工规范最新,建筑施工扣件式钢管脚手架

式中:[H]――脚手架允许搭设高度(m);

gk――立杆承受的每米结构自重标准值(kN/m),可按本规范附录A表A.0.1采用。

5.2.12连墙件杆件的强度及稳定应满足下列公式的要求:

强度:

扣件式钢管脚手架施工规范最新,建筑施工扣件式钢管脚手架

[5.2.12-1]

稳定:

扣件式钢管脚手架施工规范最新,建筑施工扣件式钢管脚手架

[5.2.12-2]

扣件式钢管脚手架施工规范最新,建筑施工扣件式钢管脚手架

(5.2.12-3)

式中:σ――连墙件应力值(N/mm2);

Ac――连墙件的净截面面积(mm2);

A――连墙件的毛截面面积(mm2);

Nl――连墙件轴向力设计值(N);

Nlw――风荷载产生的连墙件轴向力设计值,应按本规范第5.2.13条的规定计算;

N0――连墙件约束脚手架平面外变形所产生的轴向力。单排架取2kN,双排架取3kN;

φ――连墙件的稳定系数,应根据连墙件长细比按本规范附录A表A.0.6取值;

f――连墙件钢材的强度设计值(N/mm2),应按本规范表5.1.6采用。

5.2.13由风荷载产生的连墙件的轴向力设计值,应按下式计算:

扣件式钢管脚手架施工规范最新,建筑施工扣件式钢管脚手架

[5.2.13]

式中:Aw――单个连墙件所覆盖的脚手架外侧面的迎风面积。

5.2.14连墙件与脚手架、连墙件与建筑结构连接的连接强度应按下式计算:

扣件式钢管脚手架施工规范最新,建筑施工扣件式钢管脚手架

式中:NV――连墙件与脚手架、连墙件与建筑结构连接的抗拉(压)承载力设计值,应根据相应规范规定计算。

5.2.15当采用钢管扣件做连墙件时,扣件抗滑承载力的验算,应满足下式要求:

扣件式钢管脚手架施工规范最新,建筑施工扣件式钢管脚手架

式中:Rc――扣件抗滑承载力设计值,一个直角扣件应取8.0kN。

5.3 满堂脚手架计算

5.3.1立杆的稳定性应按本规范式(5.2.6-1)、(5.2.6-2)计算。由风荷载产生的立杆段弯矩设计值,可按本规范公式(5.2.9)计算。

5.3.2计算立杆段的轴向力设计值N应按本规范公式(5.2.7-1)、(5.2.7-2)计算。施工荷载产生的轴向力标准值总和∑NQk,可按所选取计算部位立杆负荷面积计算。

5.3.3立杆稳定性计算部位的确定应符合下列规定:

1 当满堂脚手架采用相同的步距、立杆纵距、立杆横距时,应计算底层立杆段;

2 当架体的步距、立杆纵距、立杆横距有变化时,除计算底层立杆段外,还必须对出现最大步距、最大立杆纵距、立杆横距等部位的立杆段进行验算;

3 当架体上有集中荷载作用时,尚应计算集中荷载作用范围内受力最大的立杆段。

5.3.4满堂脚手架立杆的计算长度应按下式计算:

扣件式钢管脚手架施工规范最新,建筑施工扣件式钢管脚手架

[5.3.4]

式中:k――满堂脚手架立杆计算长度附加系数,应按表5.3.4采用;

h――步距;

μ――考虑满堂脚手整体稳定因素的单杆计算长度系数,应按本规范附录C表C-1采用。

表 5.3.4 满堂脚手架计算长度附加系数

扣件式钢管脚手架施工规范最新,建筑施工扣件式钢管脚手架

5.3.5满堂脚手架纵、横水平杆计算应符合本规范第5.2.1条~5.2.5条的规定。

5.3.6当满堂脚手架立杆间距不大于1.5m×1.5m,架体四周及中间与建筑物结构进行刚性连接,并且刚性连接点的水平间距不大于4.5m,竖向间距不大于3.6m时,可按本规范第5.2.6条~5.2.10条双排脚手架的规定进行计算。

5.4 满堂支撑架计算

5.4.1满堂支撑架顶部施工层荷载应通过可调托撑传递给立杆。

5.4.2满堂支撑架根据剪刀撑的设置不同分为普通型构造与加强型构造,其构造设置应符合本规范第6.9.3条的规定,两种类型满堂支撑架立杆的计算长度应符合本规范第5.4.6条的规定。

5.4.3立杆的稳定性应按本规范式(5.2.6-1)、(5.2.6-2)计算。由风荷载设计值产生的立杆段弯矩Mw,可按本规范式(5.2.9)计算。

5.4.4计算立杆段的轴向力设计值N,应按下列公式计算:

不组合风荷载时:

扣件式钢管脚手架施工规范最新,建筑施工扣件式钢管脚手架

组合风荷载时:

扣件式钢管脚手架施工规范最新,建筑施工扣件式钢管脚手架

式中:∑NGK――永久荷载对立杆产生的轴向力标准值总和(kN);

∑NQK――可变荷载对立杆产生的轴向力标准值总和(kN)。

5.4.5立杆稳定性计算部位的确定应符合下列规定:

1 当满堂支撑架采用相同的步距、立杆纵距、立杆横距时,应计算底层与顶层立杆段;

2 符合本规范第5.3.3条第二款、第三款的规定。

5.4.6满堂支撑架立杆的计算长度应按下式计算,取整体稳定计算结果最不利值:

顶部立杆段:

扣件式钢管脚手架施工规范最新,建筑施工扣件式钢管脚手架

[5.4.6-1]

非顶部立杆段:

扣件式钢管脚手架施工规范最新,建筑施工扣件式钢管脚手架

[5.4.6-2]

式中:k――满堂支撑架计算长度附加系数,应按表5.4.6采用;

h――步距;

a――立杆伸出顶层水平杆中心线至支撑点的长度;应不大于0.5m,当0.2m<a<0.5m时,承载力可按线性插入值。

μ1、μ2――考虑满堂支撑架整体稳定因素的单杆计算长度系数,普通型构造应按本规范附录C表C-2、C-4采用;加强型构造应按本规范附录C表C-3、C-5采用。

表 5.4.6 满堂支撑架计算长度附加系数取值

扣件式钢管脚手架施工规范最新,建筑施工扣件式钢管脚手架

注:当验算立杆允许长细比时,取k=1。

5.4.7当满堂支撑架小于4跨时,宜设置连墙件将架体与建筑结构刚性连接。当架体未设置连墙件与建筑结构刚性连接,立杆计算长度系数μ按本规范附录C表C-2~表C-5采用时,应符合下列规定:

1 支撑架高度不应超过一个建筑楼层高度,且不应超过5.2m;

2 架体上永久荷载与可变荷载(不含风荷载)总和标准值不应大于7.5kN/m2;

3 架体上永久荷载与可变荷载(不含风荷载)总和的均布线荷载标准值不应大于7kN/m。

5.5 脚手架地基承载力计算

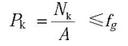
5.5.1立杆基础底面的平均压力应满足下式的要求:

扣件式钢管脚手架施工规范最新,建筑施工扣件式钢管脚手架

[5.5.1]

式中:Pk――立杆基础底面处的平均压力标准值(kPa);

Nk――上部结构传至立杆基础顶面的轴向力标准值(kN);

A――基础底面面积(m2);

fg――地基承载力特征值(kPa),应按本规范第5.5.2条规定采用。

5.5.2地基承载力特征值的取值应符合下列规定:

1 当为天然地基时,应按地质勘察报告选用;当为回填土地基时,应对地质勘察报告提供的回填土地基承载力特征值乘以折减系数0.4;

2 由载荷试验或工程经验确定。

5.5.3对搭设在楼面等建筑结构上的脚手架,应对支撑架体的建筑结构进行承载力验算,当不能满足承载力要求时应采取可靠的加固措施。

5.6 型钢悬挑脚手架计算

5.6.1当采用型钢悬挑梁做为脚手架的支承结构时,应进行下列设计计算:

1 型钢悬挑梁的抗弯强度、整体稳定性和挠度;

2 型钢悬挑梁锚固件及其锚固连接的强度;

3 型钢悬挑梁下建筑结构的承载能力验算。

5.6.2悬挑脚手架作用于型钢悬挑梁上立杆的轴向力设计值,应根据悬挑脚手架分段搭设高度按本规范式(5.2.7-1)、(5.2.7-2)分别计算,并应取其较大者。

5.6.3型钢悬挑梁的抗弯强度应按下式计算:

扣件式钢管脚手架施工规范最新,建筑施工扣件式钢管脚手架

[5.6.3]

式中:σ――型钢悬挑梁应力值;

Mmax――型钢悬挑梁计算截面最大弯矩设计值;

Wn――型钢悬挑梁净截面模量;

f――钢材的抗弯强度设计值。

5.6.4型钢悬挑梁的整体稳定性应按下式验算:

扣件式钢管脚手架施工规范最新,建筑施工扣件式钢管脚手架

[5.6.4]

式中:φb――型钢悬挑梁的整体稳定性系数,应按现行国家标准《钢结构设计规范》GB50017的规定采用;

W――型钢悬挑梁毛截面模量。

5.6.5型钢悬挑梁的挠度(图5.6.5)应符合下式规定:

υ≤[υ] (5.6.5)

式中: [υ]——型钢悬挑梁挠度允许值,应按本规范表5.1.8取值;

υ——型钢悬挑梁最大挠度。

扣件式钢管脚手架施工规范最新,建筑施工扣件式钢管脚手架

图5.6.5 悬挑脚手架型钢悬挑梁计算示意图

N——悬挑脚手架立杆的轴向力设计值;lc一一型钢悬挑梁锚固点中心至建筑楼层板边支承点的距离;lc1一一型钢悬挑梁悬挑端面至建筑结构楼层板边支承点的距离;lc2一一脚手架外立杆至建筑结构楼层板边支承点的距离;lc3一一脚手架内杆至建筑结构楼层板边支承点的距离;q一一型钢梁自重线荷载标准值。

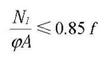
5.6.6将型钢悬挑梁锚固在主体结构上的U型钢筋拉环或螺栓的强度应按下式计算:

扣件式钢管脚手架施工规范最新,建筑施工扣件式钢管脚手架

[5.6.6]

式中:σ――U型钢筋拉环或螺栓应力值;

Nm――型钢悬挑梁锚固段压点U型钢筋拉环或螺栓拉力设计值(N);

A1――U型钢筋拉环净截面面积或螺栓的有效截面面积(mm2),一个钢筋拉环或一对螺栓按两个截面计算;

f1――U型钢筋拉环或螺栓抗拉强度设计值,应按现行国家标准《混凝土结构设计规范》GB50010的规定取f1=50N/mm2。

5.6.7当型钢悬挑梁锚固段压点处采用2个(对)及以上U型钢筋拉环或螺栓锚固连接时,其钢筋拉环或螺栓的承载能力应乘以0.85的折减系数。

5.6.8当型钢悬挑梁与建筑结构锚固的压点处楼板未设置上层受力钢筋时,应经计算在楼板内配置用于承受型钢梁锚固作用引起负弯矩的受力钢筋。

5.6.9对型钢悬挑梁下建筑结构的混凝土梁(板)应按现行国家标准《混凝土结构设计规范》GB50010的规定进行混凝土局部抗压承载力、结构承载力验算,当不满足要求时,应采取可靠的加固措施。

5.6.10悬挑脚手架的纵向水平杆、横向水平杆、立杆、连墙件计算应符合本规范第5.2节的规定。

6 构造要求

6.1 常用单、双排脚手架设计尺寸

6.1.1常用密目式安全网全封闭单、双排脚手架结构的设计尺寸,可按表6.1.1-1、表6.1.1-2采用。

表 6.1.1-1 常用密目式安全立网全封闭式双排脚手架的设计尺寸(m)

扣件式钢管脚手架施工规范最新,建筑施工扣件式钢管脚手架

注:1、表中所示2+2+2×0.35(kN2/m2),包括下列荷载:2+2(kN/m2)为二层装修作业层施工荷载标准值;2×0.35(kN/m2)为二层作业层脚手板自重荷载标准值。

2、作业层横向水平杆间距,应按不大于la/2设置。

3、地面粗糙度为B类,基本风压WO=0.4kN/m2。

表 6.1.1-2 常用密目式安全立网全封闭式单排脚手架的设计尺寸(m)

扣件式钢管脚手架施工规范最新,建筑施工扣件式钢管脚手架

注:同表6.1.1-1。

6.1.2单排脚手架搭设高度不应超过24m;双排脚手架搭设高度不宜超过50m,高度超过50m的双排脚手架,应采用分段搭设等措施。

6.2 脚手架纵向水平杆、横向水平杆、脚手板

6.2.1纵向水平杆的构造应符合下列规定:

1 纵向水平杆应设置在立杆内侧,单根杆长度不应小于3跨;

2 纵向水平杆接长应采用对接扣件连接或搭接,并应符合下列规定:

1) 两根相邻纵向水平杆的接头不应设置在同步或同跨内;不同步或不同跨两个相邻接头在水平方向错开的距离不应小于500mm;各接头中心至最近主节点的距离不应大于纵距的1/3(图6.2.1-1)。

扣件式钢管脚手架施工规范最新,建筑施工扣件式钢管脚手架

图6.2.1-1 纵向水平杆对接接头布置

1——立杆;2——纵向水平杆;3——横向水平杆

2) 搭接长度不应小于1m,应等间距设置3个旋转扣件固定;端部扣件盖板边缘至搭接纵向水平杆杆端的距离不应小于100mm。

3 当使用冲压钢脚手板、木脚手板、竹串片脚手板时,纵向水平杆应作为横向水平杆的支座,用直角扣件固定在立杆上;当使用竹笆脚手板时,纵向水平杆应采用直角扣件固定在横向水平杆上,并应等间距设置,间距不应大于400mm(图6.2.1-2)。

扣件式钢管脚手架施工规范最新,建筑施工扣件式钢管脚手架

图6.2.1-2 铺竹笆脚手架时纵向水平杆的构造

1——立杆;2——纵向水平杆;3——横向水平杆;4——竹笆脚手架;5——其它脚手板

6.2.2横向水平杆的构造应符合下列规定:

1 作业层上非主节点处的横向水平杆,宜根据支承脚手板的需要等间距设置,最大间距不应大于纵距的1/2;

2 当使用冲压钢脚手板、木脚手板、竹串片脚手板时,双排脚手架的横向水平杆两端均应采用直角扣件固定在纵向水平杆上;单排脚手架的横向水平杆的一端应用直角扣件固定在纵向水平杆上,另一端应插入墙内,插入长度不应小于180mm;

3 当使用竹笆脚手板时,双排脚手架的横向水平杆的两端,应用直角扣件固定在立杆上;单排脚手架的横向水平杆的一端,应用直角扣件固定在立杆上,另一端插入墙内,插入长度不应小于180mm。

6.2.3主节点处必须设置一根横向水平杆,用直角扣件扣接且严禁拆除。

6.2.4脚手板的设置应符合下列规定:

1 作业层脚手板应铺满、铺稳、铺实;

2 冲压钢脚手板、木脚手板、竹串片脚手板等,应设置在三根横向水平杆上。当脚手板长度小于2m时,可采用两根横向水平杆支承,但应将脚手板两端与横向水平杆可靠固定,严防倾翻。脚手板的铺设应采用对接平铺或搭接铺设。脚手板对接平铺时,接头处应设两根横向水平杆,脚手板外伸长度应取130mm~150mm,两块脚手板外伸长度的和不应大于300mm(图6.2.4 a);脚手板搭接铺设时,接头应支在横向水平杆上,搭接长度不应小于200mm,其伸出横向水平杆的长度不应小于lOOmm(图6.2.4 b)。

扣件式钢管脚手架施工规范最新,建筑施工扣件式钢管脚手架

3 竹笆脚手板应按其主竹筋垂直于纵向水平杆方向铺设,且应对接平铺四个角应用直径不小于1.2mm的镀锌钢丝固定在纵向水平杆上。

4 作业层端部脚手板探头长度应取150mm,其板的两端均应固定于支承杆件上。

6.3 立杆

6.3.1每根立杆底部宜设置底座或垫板。

6.3.2脚手架必须设置纵、横向扫地杆。纵向扫地杆应采用直角扣件固定在距钢管底端不大于200mm处的立杆上。横向扫地杆应采用直角扣件固定在紧靠纵向扫地杆下方的立杆上。

6.3.3脚手架立杆基础不在同一高度上时,必须将高处的纵向扫地杆向低处延长两跨与立杆固定,高低差不应大于1m。靠边坡上方的立杆轴线到边坡的距离不应小于500mm(图6.3.3)。

扣件式钢管脚手架施工规范最新,建筑施工扣件式钢管脚手架

6.3.4单、双排脚手架底层步距均不应大于2m。

6.3.5单排、双排与满堂脚手架立杆接长除顶层顶步外,其余各层各步接头必须采用对接扣件连接。

6.3.6脚手架立杆的对接、搭接应符合下列规定:

1 当立杆采用对接接长时,立杆的对接扣件应交错布置,两根相邻立杆的接头不应设置在同步内,同步内隔一根立杆的两个相隔接头在高度方向错开的距离不宜小于500mm;各接头中心至主节点的距离不宜大于步距的1/3;

2 当立杆采用搭接接长时,搭接长度不应小于1m,并应采用不少于2个旋转扣件固定。端部扣件盖板的边缘至杆端距离不应小于100mm。

6.3.7脚手架立杆顶端栏杆宜高出女儿墙上端1m,宜高出檐口上端1.5m。

6.4 连墙件

6.4.1脚手架连墙件设置的位置、数量应按专项施工方案确定。

6.4.2脚手架连墙件数量的设置除应满足本规范的计算要求外,还应符合表6.4.2的规定。

表 6.4.2 连墙件布置最大间距

搭设方法

高度

竖向间距(h)

水平间距(Ia)

每根连墙体覆盖面积(m2)

双排落地

≤50m

3h

3Ia

≤40

双排悬挑

>50m

2h

3Ia

≤27

单排

≤24m

3h

3Ia

≤40

注:h――步距;la――纵距。

6.4.3连墙件的布置应符合下列规定:

1 应靠近主节点设置,偏离主节点的距离不应大于:300mm;

2 应从底层第一步纵向水平杆处开始设置,当该处设置有困难时,应采用其它可靠措施固定;

3 应优先采用菱形布置,或采用方形、矩形布置。

6.4.4开口型脚手架的两端必须设置连墙件,连墙件的垂直间距不应大于建筑物的层高,并且不应大于4m。

6.4.5连墙件中的连墙杆应呈水平设置,当不能水平设置时,应向脚手架一端下斜连接。

6.4.6连墙件必须采用可承受拉力和压力的构造。对高度24m以上的双排脚手架,应采用刚性连墙件与建筑物连接。

6.4.7当脚手架下部暂不能设连墙件时应采取防倾覆措施。当搭设抛撑时,抛撑应采用通长杆件,并用旋转扣件固定在脚手架上,与地面的倾角应在45°~60°之间;连接点中心至主节点的距离不应大于300mm。抛撑应在连墙件搭设后再拆除。

6.4.8架高超过40m且有风涡流作用时,应采取抗上升翻流作用的连墙措施。

6.5 门洞

6.5.1单、双排脚手架门洞宜采用上升斜杆、平行弦杆桁架结构型式(图6.5.1),斜杆与地面的倾角a应在45°~60°之间。门洞桁架的型式宜按下列要求确定:

1 当步距(h)小于纵距(la)时,应采用A型;

2 当步距(h)大于纵距(la)时,应采用B型,并应符合下列规定:

1) h=1.8m时,纵距不应大于1.5m;

2) h=2.0m时,纵距不应大于1.2m。

扣件式钢管脚手架施工规范最新,建筑施工扣件式钢管脚手架

6.5.2单、双排脚手架门洞桁架的构造应符合下列规定:

1 单排脚手架门洞处,应在平面桁架(图6.5.1中ABCD)的每一节间设置一根斜腹杆;双排脚手架门洞处的空间桁架,除下弦平面外,应在其余5个平面内的图示节问设置一根斜腹杆(图6.5.1中1-1、2-2、3-3剖面)。

2 斜腹杆宜采用旋转扣件固定在与之相交的横向水平杆的伸出端上,旋转扣件中心线至主节点的距离不宜大于150mm。当斜腹杆在1跨内跨越2个步距(图6.5.1A型)时,宜在相交的纵向水平杆处,增设一根横向水平杆,将斜腹杆固定在其伸出端上。

3 斜腹杆宜采用通长杆件,当必须接长使用时,宜采用对接扣件连接,也可采用搭接,搭接构造应符合本规范第6.3.6条第二款的规定。

6.5.3单排脚手架过窗洞时应增设立杆或增设一根纵向水平杆(图6.5.3)。

扣件式钢管脚手架施工规范最新,建筑施工扣件式钢管脚手架

图6.5.3 单排脚手架过窗洞构造

1——增设的纵向水平杆

6.5.4门洞桁架下的两侧立杆应为双管立杆,副立杆高度应高于门洞口1~2步。

6.5.5门洞桁架中伸出上下弦杆的杆件端头,均应增设一个防滑扣件(图6.5.1),该扣件宜紧靠主节点处的扣件。

6.6 剪刀撑与横向斜撑

6.6.1双排脚手架应设置剪刀撑与横向斜撑,单排脚手架应设置剪刀撑。

6.6.2单、双排脚手架剪刀撑的设置应符合下列规定:

1 每道剪刀撑跨越立杆的根数应按表6.6.2的规定确定。每道剪刀撑宽度不应小于4跨,且不应小于6m,斜杆与地面的倾角应在45°~60°之间;

表 6.6.2 剪刀撑跨越立杆的最多根数

扣件式钢管脚手架施工规范最新,建筑施工扣件式钢管脚手架

2 剪刀撑斜杆的接长应采用搭接或对接,搭接应符合本规范第6.3.6条第二款的规定;

3 剪刀撑斜杆应用旋转扣件固定在与之相交的横向水平杆的伸出端或立杆上,旋转扣件中心线至主节点的距离不应大于150mm。

6.6.3高度在24m及以上的双排脚手架应在外侧全立面连续设置剪刀撑;高度在24m以下的单、双排脚手架,均必须在外侧两端、转角及中间间隔不超过15m的立面上,各设置一道剪刀撑,并应由底至顶连续设置(图6.6.3)。

扣件式钢管脚手架施工规范最新,建筑施工扣件式钢管脚手架

6.6.4双排脚手架横向斜撑的设置应符合下列规定:

1 横向斜撑应在同一节间,由底至顶层呈之字型连续布置,斜撑的固定应符合本规范第6.5.2条第2款的规定;

2 高度在24m以下的封闭型双排脚手架可不设横向斜撑,高度在24m以上的封闭型脚手架,除拐角应设置横向斜撑外,中间应每隔6跨距设置一道。

6.6.5开口型双排脚手架的两端均必须设置横向斜撑。

6.7 斜道

6.7.1人行并兼作材料运输的斜道的型式宜按下列要求确定:

1 高度不大于6m的脚手架,宜采用一字型斜道;

2 高度大于6m的脚手架,宜采用之字型斜道。

6.7.2斜道的构造应符合下列规定:

1 斜道应附着外脚手架或建筑物设置;

2 运料斜道宽度不应小于1.5m,坡度不应大于1:6;人行斜道宽度不应小于1m,坡度不应大于1:3;

3 拐弯处应设置平台,其宽度不应小于斜道宽度;

4 斜道两侧及平台外围均应设置栏杆及挡脚板。栏杆高度应为1.2m,挡脚板高度不应小于180mm。

5 运料斜道两端、平台外围和端部均应按本规范第6.4.1条~6.4.6条的规定设置连墙件;每两步应加设水平斜杆;应按本规范第6.6.2条~6.6.5条的规定设置剪刀撑和横向斜撑。

6.7.3斜道脚手板构造应符合下列规定:

1 脚手板横铺时,应在横向水平杆下增设纵向支托杆,纵向支托杆间距不应大于500mm;

2 脚手板顺铺时,接头应采用搭接,下面的板头应压住上面的板头,板头的凸棱处应采用三角木填顺;

3 人行斜道和运料斜道的脚手板上应每隔250mm~300mm设置一根防滑木条,木条厚度应为20mm~30mm。

6.8 满堂脚手架

6.8.1常用敞开式满堂脚手架结构的设计尺寸,可按表6.8.1采用。

表 6.8.1 常用敞开式满堂脚手架结构的设计尺寸

扣件式钢管脚手架施工规范最新,建筑施工扣件式钢管脚手架

注:1最少跨数应符合本规范附录c表c-1规定

2 脚手板自重标准值取0.35 kN/m2

3 地面粗糙度为B类,基本风压wo=0.35kN/m2

4 立杆间距不小于1.2m×1.2m,施工荷载标准值不小于3kN/m2时,立杆上应增设防滑扣件,防滑扣件应安装牢固,且顶紧立杆与水平杆连接的扣件

6.8.2满堂脚手架搭设高度不宜超过36m;满堂脚手架施工层不得超过1层。

6.8.3满堂脚手架立杆的构造应符合本规范第6.3.1条~6.3.3条的规定;立杆接长接头必须采用对接扣件连接。立杆对接扣件布置应符合本规范第6.3.6条第一款的规定。水平杆的连接应符合本规范第6.2.1条第二款的有关规定,水平杆长度不宜小于3跨。

6.8.4满堂脚手架应在架体外侧四周及内部纵、横向每6m至8m由底至顶设置连续竖向剪刀撑。当架体搭设高度在8m以下时,应在架顶部设置连续水平剪刀撑;当架体搭设高度在8m及以上时,应在架体底部、顶部及竖向间隔不超过8m分别设置连续水平剪刀撑。水平剪刀撑宜在竖向剪刀撑斜杆相交平面设置。剪刀撑宽度应为6m~8m。

6.8.5剪刀撑应用旋转扣件固定在与之相交的水平杆或立杆上,旋转扣件中心线至主节点的距离不宜大于150mm。

6.8.6满堂脚手架的高宽比不宜大于3,当高宽比大于2时,应在架体的外侧四周和内部水平间隔6m~9m,竖向间隔4m~6m设置连墙件与建筑结构拉结,当无法设置连墙件时,应采取设置钢丝绳张拉固定等措施。

6.8.7最少跨数为2、3跨的满堂脚手架,宜按本规范6.4节的规定设置连墙件。

6.8.8当满堂脚手架局部承受集中荷载时,应按实际荷载计算并应局部加固。

6.8.9满堂脚手架应设爬梯,爬梯踏步间距不得大于300mm。

6.8.10满堂脚手架操作层支撑脚手板的水平杆间距不应大于1/2跨距;脚手板的铺设应符合本规范第6.2.4条的规定。

6.9 满堂支撑架

6.9.1满堂支撑架立杆步距与立杆间距不宜超过本规范附录C表C-2~表C-5规定的上限值,立杆伸出顶层水平杆中心线至支撑点的长度a不应超过0.5m。满堂支撑架搭设高度不宜超过30m。

6.9.2满堂支撑架立杆、水平杆的构造要求应符合本规范第6.8.3条的规定。

6.9.3满堂支撑架应根据架体的类型设置剪刀撑,并应符合下列规定:

1 普通型:

1) 在架体外侧周边及内部纵、横向每5m~8m,应由底至顶设置连续竖向剪刀撑,剪刀撑宽度应为5m~8m(图6.9.3-1)。

2) 在竖向剪刀撑顶部交点平面应设置连续水平剪刀撑。当支撑高度超过8m,或施工总荷载大于15kN/m2,或集中线荷载大于20kN/m的支撑架,扫地杆的设置层应设置水平剪刀撑。水平剪刀撑至架体底平面距离与水平剪刀撑间距不宜超过8m(图6.9.3-1)。

扣件式钢管脚手架施工规范最新,建筑施工扣件式钢管脚手架

2 加强型:

1) 当立杆纵、横间距为0.9m×0.9m~1.2m×1.2m时,在架体外侧周边及内部纵、横向每4跨(且不大于5m),应由底至顶设置连续竖向剪刀撑,剪刀撑宽度应为4跨。

2) 当立杆纵、横间距为0.6m×0.6m~0.9m×0.9m(含0.6m×0.6m,0.9m×0.9m)时,在架体外侧周边及内部纵、横向每5跨(且不小于3m),应由底至顶设置连续竖向剪刀撑,剪刀撑宽度应为5跨。

3) 当立杆纵、横间距为0.4m×0.4m~0.6m×0.6m(含0.4m×0.4m)时,在架体外侧周边及内部纵、横向每3m~3.2m应由底至顶设置连续竖向剪刀撑,剪刀撑宽度应为3m~3.2m。

4) 在竖向剪刀撑顶部交点平面应设置水平剪刀撑,扫地杆的设置层水平剪刀撑的设置应符合6.9.3条第一款第二项的规定,水平剪刀撑至架体底平面距离与水平剪刀撑间距不宜超过6m,剪刀撑宽度应为3m~5m(图6.9.3-2)。

扣件式钢管脚手架施工规范最新,建筑施工扣件式钢管脚手架

6.9.4竖向剪刀撑斜杆与地面的倾角应为45°~60°,水平剪刀撑与支架纵(或横)向夹角应为45°~60°,剪刀撑斜杆的接长应符合本规范第6.3.6条的规定。

6.9.5剪刀撑的固定应符合本规范第6.8.5条的规定。

6.9.6满堂支撑架的可调底座、可调托撑螺杆伸出长度不宜超过300mm,插入立杆内的长度不得小于150mm。

6.9.7当满堂支撑架高宽比不满足本规范附录C表C-2~表C-5规定(高宽比大于2或2.5)时,满堂支撑架应在支架的四周和中部与结构柱进行刚性连接,连墙件水平间距应为6m~9m,竖向间距应为2m~3m。在无结构柱部位应采取预埋钢管等措施与建筑结构进行刚性连接,在有空间部位,满堂支撑架宜超出顶部加载区投影范围向外延伸布置2~3跨。支撑架高宽比不应大于3。

6.10 型钢悬挑脚手架

6.10.1一次悬挑脚手架高度不宜超过20m。

6.10.2型钢悬挑梁宜采用双轴对称截面的型钢。悬挑钢梁型号及锚固件应按设计确定,钢梁截面高度不应小于160mm。悬挑梁尾端应在两处及以上固定于钢筋混凝土梁板结构上。锚固型钢悬挑梁的U型钢筋拉环或锚固螺栓直径不宜小于16mm(图6.10.2)。

扣件式钢管脚手架施工规范最新,建筑施工扣件式钢管脚手架

6.10.3用于锚固的U型钢筋拉环或螺栓应采用冷弯成型。U型钢筋拉环、锚固螺栓与型钢间隙应用钢楔或硬木楔楔紧。

6.10.4每个型钢悬挑梁外端宜设置钢丝绳或钢拉杆与上一层建筑结构斜拉结。钢丝绳、钢拉杆不参与悬挑钢梁受力计算;钢丝绳与建筑结构拉结的吊环应使用HPB235级钢筋,其直径不宜小于20mm,吊环预埋锚固长度应符合现行国家标准《混凝土结构设计规范》GB50010中钢筋锚固的规定(图6.10.2)。

6.10.5悬挑钢梁悬挑长度应按设计确定,固定段长度不应小于悬挑段长度的1.25倍。型钢悬挑梁固定端应采用2个(对)及以上U型钢筋拉环或锚固螺栓与建筑结构梁板固定,U型钢筋拉环或锚固螺栓应预埋至混凝土梁、板底层钢筋位置,并应与混凝土梁、板底层钢筋焊接或绑扎牢固,其锚固长度应符合现行国家标准《混凝土结构设计规范》GB50010中钢筋锚固的规定(图6.10.5-1、6.10.5-2、6.10.5-3)。

扣件式钢管脚手架施工规范最新,建筑施工扣件式钢管脚手架

扣件式钢管脚手架施工规范最新,建筑施工扣件式钢管脚手架

扣件式钢管脚手架施工规范最新,建筑施工扣件式钢管脚手架

6.10.6当型钢悬挑梁与建筑结构采用螺栓钢压板连接固定时,钢压板尺寸不应小于100mm×10mm(宽×厚);当采用螺栓角钢压板连接时,角钢的规格不应小于63mm×63mm×6mm。

6.10.7型钢悬挑梁悬挑端应设置能使脚手架立杆与钢梁可靠固定的定位点,定位点离悬挑梁端部不应小于100mm。

6.10.8锚固位置设置在楼板上时,楼板的厚度不宜小于120mm。如果楼板的厚度小于120mm应采取加固措施。

6.10.9悬挑梁间距应按悬挑架架体立杆纵距设置,每一纵距设置一根。

6.10.10悬挑架的外立面剪刀撑应自下而上连续设置。剪刀撑设置应符合本规范第6.6.2、6.6.5条的规定。

6.10.11连墙件设置应符合本规范第6.4节的规定。

6.10.12锚固型钢的主体结构混凝土强度等级不得低于C20。

7 施工

7.1 施工准备

7.1.1脚手架搭设前,应按专项施工方案向施工人员进行交底。

7.1.2应按本规范的规定和脚手架专项施工方案要求对钢管、扣件、脚手板、可调托撑等进行检查验收,不合格产品不得使用。

7.1.3经检验合格的构配件应按品种、规格分类,堆放整齐、平稳,堆放场地不得有积水。

7.1.5应清除搭设场地杂物,平整搭设场地,并应使排水畅通。

7.2 地基与基础

7.2.1 脚手架地基与基础的施工,应根据脚手架所受荷载、搭设高度、搭设场地土质情况与现行国家标准《建筑地基基础工程施工质量验收规范》GB 50202的有关规定进行。

7.2.2压实填土地基应符合现行国家标准《建筑地基基础设计规范》GB50007的相关规定;灰土地基应符合现行国家标准《建筑地基基础工程施工质量验收规范》(3850202的相关规定。

7.2.3立杆垫板或底座底面标高宜高于自然地坪50mm~100mm。

7.2.4脚手架基础经验收合格后,应按施工组织设计或专项方案的要求放线定位。

7.3 搭设

7.3.1单、双排脚手架必须配合施工进度搭设,一次搭设高度不应超过相邻连墙件以上两步;如果超过相邻连墙件以上两步,无法设置连墙件时,应采取撑拉固定等措施与建筑结构拉结。

7.3.2每搭完一步脚手架后,应按本规范表8.2.4的规定校正步距、纵距、横距及立杆的垂直度。

7.3.3底座安放应符合下列规定:

1 底座、垫板均应准确地放在定位线上;

2 垫板应采用长度不少于2跨、厚度不小于50mm、宽度不小200mm的木垫板。

7.3.4立杆搭设应符合下列规定:

1 相邻立杆的对接连接应符合本规范第6.3.6条的规定;

2 脚手架开始搭设立杆时,应每隔6跨设置一根抛撑,直至连墙件安装稳定后,方可根据情况拆除;

3 当架体搭设至有连墙件的主节点时,在搭设完该处的立杆、纵向水平杆、横向水平杆后,应立即设置连墙件。

7.3.5脚手架纵向水平杆的搭设应符合下列规定:

1 脚手架纵向水平杆应随立杆按步搭设,并应采用直角扣件与立杆固定;

2 纵向水平杆的搭设应符合本规范第6.2.1条的规定;

3 在封闭型脚手架的同一步中,纵向水平杆应四周交圈设置,并应用直角扣件与内外角部立杆固定。

7.3.6脚手架横向水平杆搭设应符合下列规定:

1 搭设横向水平杆应符合本规范第6.2.2条的规定;

2 双排脚手架横向水平杆的靠墙一端至墙装饰面的距离不应大于100mm;

3 单排脚手架的横向水平杆不应设置在下列部位:

1) 设计上不允许留脚手眼的部位;

2) 过梁上与过梁两端成600角的三角形范围内及过梁净跨度1/2的高度范围内;

3) 宽度小于1m的窗间墙;

4) 梁或梁垫下及其两侧各500mm的范围内;

5) 砖砌体的门窗洞口两侧200mm和转角处450mm的范围内,其它砌体的门窗洞口两侧300mm和转角处600mm的范围内;

6) 墙体厚度小于或等于180mm;

7) 独立或附墙砖柱,空斗砖墙、加气块墙等轻质墙体;

8) 砌筑砂浆强度等级小于或等于M2.5的砖墙。

7.3.7脚手架纵向、横向扫地杆搭设应符合本规范第6.3.2、6.3.3条的规定。

7.3.8脚手架连墙件安装应符合下列规定:

1 连墙件的安装应随脚手架搭设同步进行,不得滞后安装;

2 当单、双排脚手架施工操作层高出相邻连墙件以上二步时,应采取确保脚手架稳定的临时拉结措施,直到上一层连墙件安装完毕后再根据情况拆除。

7.3.9脚手架剪刀撑与单、双排脚手架横向斜撑应随立杆、纵向和横向水平杆等同步搭设,不得滞后安装。

7.3.10脚手架门洞搭设应符合本规范第6.5节的规定。

7.3.11扣件安装应符合下列规定:

1 扣件规格应与钢管外径相同;

2 螺栓拧紧扭力矩不应小于40N・m,且不应大于65N・m;

3 在主节点处固定横向水平杆、纵向水平杆、剪刀撑、横向斜撑等用的直角扣件、旋转扣件的中心点的相互距离不应大于150mm;

4 对接扣件开口应朝上或朝内;

5 各杆件端头伸出扣件盖板边缘的长度不应小于100mm。

7.3.12作业层、斜道的栏杆和挡脚板的搭设应符合下列规定(图7.3.12):

1 栏杆和挡脚板均应搭设在外立杆的内侧;

2 上栏杆上皮高度应为1.2m;

3 挡脚板高度不应小于180mm;

4 中栏杆应居中设置。

扣件式钢管脚手架施工规范最新,建筑施工扣件式钢管脚手架

7.3.13脚手板的铺设应符合下列规定:

1 脚手板应铺满、铺稳,离墙面的距离不应大于150mm;

2 采用对接或搭接时均应符合本规范第6.2.3条的规定;脚手板探头应用直径3.2mm的镀锌钢丝固定在支承杆件上;

3 在拐角、斜道平台口处的脚手板,应用镀锌钢丝固定在横向水平杆上,防止滑动。

7.4 拆除

7.4.1脚手架拆除应按专项方案施工,拆除前应做好下列准备工作:

1 应全面检查脚手架的扣件连接、连墙件、支撑体系等是否符合构造要求;

2 应根据检查结果补充完善脚手架专项方案中的拆除顺序和措施,经审批后方可实施;

3 拆除前应对施工人员进行交底;

4 应清除脚手架上杂物及地面障碍物。

7.4.2单、双排脚手架拆除作业必须由上而下逐层进行,严禁上下同时作业。连墙件必须随脚手架逐层拆除,严禁先将连墙件整层或数层拆除后再拆脚手架;分段拆除高差大于两步时,应增设连墙件加固。

7.4.3 当脚手架拆至下部最后一根长立杆的高度(约6.5m)时,应先在适当位置搭设临时抛撑加固后,再拆除连墙件。 当单、双排脚手架采取分段、分立面拆除时,对不拆除的脚手架两端,应先按本规范第6.4.4条、6.6.4条、6.6.5条的有关规定设置连墙件和横向斜撑加固。

7.4.4架体拆除作业应设专人指挥,当有多人同时操作时,应明确分工、统一行动,且应具有足够的操作面。

7.4.5卸料时各构配件严禁抛掷至地面;

7.4.6运至地面的构配件应按本规范的规定及时检查、整修与保养,并应按品种、规格分别存放。

8 检查与验收

8.1 构配件检查与验收

8.1.1新钢管的检查应符合下列规定:

1 应有产品质量合格证;

2 应有质量检验报告,钢管材质检验方法应符合现行国家标准《金属材料室温拉伸试验方法》GB/T 228的有关规定,其质量应符合本规范第3.1.1条的规定;

3 钢管表面应平直光滑,不应有裂缝、结疤、分层、错位、硬弯、毛刺、压痕和深的划道;

4 钢管外径、壁厚、端面等的偏差,应分别符合本规范表8.1.8的规定;

5 钢管应涂有防锈漆。

8.1.2旧钢管的检查应符合下列规定:

1 表面锈蚀深度应符合本规范表8.1.8序号3的规定。锈蚀检查应每年一次。检查时,应在锈蚀严重的钢管中抽取三根,在每根锈蚀严重的部位横向截断取样检查,当锈蚀深度超过规定值时不得使用;

2 钢管弯曲变形应符合本规范表8.1.8序号4的规定。

8.1.3扣件验收应符合下列规定:

1 扣件应有生产许可证、法定检测单位的测试报告和产品质量合格证。当对扣件质量有怀疑时,应按现行国家标准《钢管脚手架扣件》GB 15831的规定抽样检测;

2 新、旧扣件均应进行防锈处理;

3 扣件的技术要求应符合现行国家标准《钢管脚手架扣件》GB 15831的相关规定。

8.1.4 扣件进入施工现场应检查产品合格证,并应进行抽样复试,技术性能应符合现行国家标准《钢管脚手架扣件》GB 15831的规定。扣件在使用前应逐个挑选,有裂缝、变形、螺栓出现滑丝的严禁使用。

8.1.5脚手板的检查应符合下列规定:

1 冲压钢脚手板

1) 新脚手板应有产品质量合格证;

2) 尺寸偏差应符合本规范表8.1.8序号5的规定,且不得有裂纹、开焊与硬弯;

3) 新、旧脚手板均应涂防锈漆;

4) 应有防滑措施。

2 木脚手板、竹脚手板:

1) 木脚手板质量应符合本规范第3.3.3条的规定,宽度、厚度允许偏差应符合国家标准《木结构工程施工质量验收规范》GB 50206-2002第4.3.1条表4.3.1第一项的规定。不得使用扭曲变形、劈裂、腐朽的脚手板;

2) 竹笆脚手板、竹串片脚手板的材料应符合本规范第3.3.4条的规定。

8.1.6 悬挑脚手架用型钢的质量应符合本规范第3.5.1条的规定,并应符合现行国家标准《钢结构工程施工质量验收规范》GB 50205的有关规定。

8.1.7可调托撑的检查应符合下列规定:

1 应有产品质量合格证,其质量应符合本规范第3.4节的规定;

2 应有质量检验报告,可调托撑抗压承载力应符合本规范第5.1.7条的规定;

3 可调托撑支托板厚不应小于5毫米,变形不应大于1mm;

4 严禁使用有裂缝的支托板、螺母。

8.1.8构配件允许偏差应符合表8.1.8的规定。

表 8.1.8 构配件允许偏差

扣件式钢管脚手架施工规范最新,建筑施工扣件式钢管脚手架

续表8.1.8

扣件式钢管脚手架施工规范最新,建筑施工扣件式钢管脚手架

8.2 脚手架检查与验收

8.2.1脚手架及其地基基础应在下列阶段进行检查与验收:

1 基础完工后及脚手架搭设前;

2 作业层上施加荷载前;

3 每搭设完6m~8m高度后;

4 达到设计高度后;

5 遇有六级强风及以上风或大雨后,冻结地区解冻后;

6 停用超过一个月。

8.2.2应根据下列技术文件进行脚手架检查、验收:

1 本规范第8.23~8.25条的规定;

2 专项施工方案及变更文件;

3 技术交底文件。

4 构配件质量检查表(附录D,表D)

8.2.3脚手架使用中,应定期检查下列要求内容:

1 杆件的设置和连接,连墙件、支撑、门洞桁架等的构造应符合本规范和专项施工方案的要求;

2 地基应无积水,底座应无松动,立杆应无悬空;

3 扣件螺栓应无松动;

4 高度在24m以上的双排、满堂脚手架,其立杆的沉降与垂直度的偏差应符合本规范表8.2.4项次1、2的规定;高度在20m以上的满堂支撑架,其立杆的沉降与垂直度的偏差应符合本规范表8.2.4项次1、3的规定;

5 安全防护措施应符合本规范要求;

6 应无超载使用。

8.2.4脚手架搭设的技术要求、允许偏差与检验方法,应符合表8.2.4的规定。

表8.2.4 脚手架搭设的技术要求、允许偏差与检验方法

扣件式钢管脚手架施工规范最新,建筑施工扣件式钢管脚手架

续表8.2.4

扣件式钢管脚手架施工规范最新,建筑施工扣件式钢管脚手架

续表8.2.4

扣件式钢管脚手架施工规范最新,建筑施工扣件式钢管脚手架

注:图中1一立杆;2一纵向水平杆;3一横向水平杆;4一剪刀撑;

8.2.5安装后的扣件螺栓拧紧扭力矩应采用扭力板手检查,抽样方法应按随机分布原则进行。抽样检查数目与质量判定标准,应按表8.2.5的规定确定。不合格的应重新拧紧至合格。

表8.2.5 扣件拧紧抽样检查数目及质量判定标准

扣件式钢管脚手架施工规范最新,建筑施工扣件式钢管脚手架

9 安全管理

9.0.1扣件式钢管脚手架安装与拆除人员必须是经考核合格的专业架子工。架子工应持证上岗。

9.0.2搭拆脚手架人员必须戴安全帽、系安全带、穿防滑鞋。

9.0.3脚手架的构配件质量与搭设质量,应按本规范第8章的规定进行检查验收,并应确认合格后使用。

9.0.4钢管上严禁打孔。

9.0.5 作业层上的施工荷载应符合设计要求,不得超载。不得将模板支架、缆风绳、泵送混凝土和砂浆的输送管等固定在架体上;严禁悬挂起重设备,严禁拆除或移动架体上安全防护设施。

9.0.6满堂支撑架在使用过程中,应设有专人监护施工,当出现异常情况时,应立即停止施工,并应迅速撤离作业面上人员。应在采取确保安全的措施后,查明原因、做出判断和处理。

9.0.7满堂支撑架顶部的实际荷载不得超过设计规定。

9.0.8当有六级强风及以上风、浓雾、雨或雪天气时应停止脚手架搭设与拆除作业。雨、雪后上架作业应有防滑措施,并应扫除积雪。

9.0.9夜间不宜进行脚手架搭设与拆除作业。

9.0.10脚手架的安全检查与维护,应按本规范第8.2节的规定进行。

9.0.11脚手板应铺设牢靠、严实,并应用安全网双层兜底。施工层以下每隔10米应用安全网封闭。

9.0.12单、双排脚手架、悬挑式脚手架沿架体外围应用密目式安全网全封闭,密目式安全网宜设置在脚手架外立杆的内侧,并应与架体绑扎牢固。

9.0.13在脚手架使用期间,严禁拆除下列杆件:

1 主节点处的纵、横向水平杆,纵、横向扫地杆;

2 连墙件。

9.0.14当在脚手架使用过程中开挖脚手架基础下的设备基础或管沟时,,必须对脚手架采取加固措施。

9.0.15满堂脚手架与满堂支撑架在安装过程中,应采取防倾覆的临时固定措施。

9.0.16临街搭设脚手架时,外侧应有防止坠物伤人的防护措施。

9.0.17在脚手架上进行电、气焊作业时,应有防火措施和专人看守。

9.0.18 工地临时用电线路的架设及脚手架接地、避雷措施等,应按现行行业标准《施工现场临时用电安全技术规范》JGJ 46的有关规定执行。

9.0.19搭拆脚手架时,地面应设围栏和警戒标志,并应派专人看守,严禁非操作人员入内。

附录 A 计算用表

A.0.1单、双排脚手架立杆承受的每米结构自重标准值,可按表A.0.1的规定取用。

表 A.0.1 单、双排脚手架立杆承受的每米结构自重标准值gk(kN/m)

扣件式钢管脚手架施工规范最新,建筑施工扣件式钢管脚手架

注:Ф48.3×3.6钢管,扣件自重按本规范附录A表A.0.4采用。表内中间值可按线性插入计算。

A.0.2满堂脚手架立杆承受的每米结构自重标准值,宜按表A.0.2取用。

表A.0.2 满堂脚手架立杆承受的每米结构自重标准值gk(kN/m)

扣件式钢管脚手架施工规范最新,建筑施工扣件式钢管脚手架

注:同表A.0.1注

A.0.3满堂支撑架立杆承受的每米结构自重标准值,宜按表A.0.3取用。

表A.0.3 满堂支撑架立杆承受的每米结构自重标准值gk(kN/m)

扣件式钢管脚手架施工规范最新,建筑施工扣件式钢管脚手架

注:同表A.0.1注

A.0.4常用构配件与材料、人员的自重,可按表A.0.4取用。

表A.0.4 常用构配件与材料、人员的自重

扣件式钢管脚手架施工规范最新,建筑施工扣件式钢管脚手架

A.0.5敞开式单排、双排、满堂脚手架与满堂支撑架的挡风系数φ值,可按表A.0.5取用。

表A.0.5 敞开式单排、双排、满堂脚手架与满堂支撑架的挡风系数φ值

扣件式钢管脚手架施工规范最新,建筑施工扣件式钢管脚手架

注:1、Ф48.3×3.6钢管。

A.0.6轴心受压构件的稳定系数φ(Q235钢)应符合表A.0.6的规定。

表 A.0.6 轴心受压构件的稳定系数φ(Q235钢)

扣件式钢管脚手架施工规范最新,建筑施工扣件式钢管脚手架

注:当λ>250时,Ф=(7320)/λ2。

附录 B 钢管截面几何特性

B.0.1脚手架钢管截面几何特性应符合表B.0.1的规定。

表B.0.1 钢管截面几何特性

扣件式钢管脚手架施工规范最新,建筑施工扣件式钢管脚手架

附录 C 满堂脚手架与满堂支撑架立杆计算长度系数μ

表C-1 满堂脚手架立杆计算长度系数

扣件式钢管脚手架施工规范最新,建筑施工扣件式钢管脚手架

注:1、步距两级之间计算长度系数按线性插入值;

2、立杆间距两级之间,纵向间距与横向间距不同时,计算长度系数按较大间距对应的计算长度系数取值。立杆间距两级之间值,计算长度系数取两级对应的较大的μ值。要求高宽比相同。

3、高宽比超过表中规定时,应按本规范6.8.6条执行。

表C-2 满堂支撑架(剪刀撑设置普通型)立杆计算长度系数μ1

扣件式钢管脚手架施工规范最新,建筑施工扣件式钢管脚手架

注:1、同表C-1 1、2、注。

2、立杆间距0.9×0.6m计算长度系数,同立杆间距0.75×0.75m计算长度系数,高宽比不变,最小宽度4.2m。

3、高宽比超过表中规定时,应按本规范6.9.7条执行。

表C-3 满堂支撑架(剪刀撑设置加强型)立杆计算长度系数μ1

扣件式钢管脚手架施工规范最新,建筑施工扣件式钢管脚手架

注:同表C-2注。

表C-4 满堂支撑架(剪刀撑设置普通型)立杆计算长度系数μ2

步距

立杆间距

1.2×1.2

1.0×1.0

0.9×0.9

0.75×0.75

0.6×0.6

0.4×0.4

高宽比不大于2

高宽比不大于2

高宽比不大于2

高宽比不大于2

高宽比不大于2.5

高宽比不大于2.5

最小跨数4

最小跨数4

最小跨数5

最小跨数5

最小跨数5

最小跨数8

1.8

——

1.75

1.697

——

——

——

1.5

2.089

1.993

1.951

——

——

——

1.2

2.492

2.399

2.292

2.225

——

——

0.9

——

3.109

2.985

2.896

3.251

——

0.6

——

——

4.371

4.211

4.744

4.744

注:同表C-2注。

表C-5 满堂支撑架(剪刀撑设置加强型)立杆计算长度系数μ2

注:同表C-2注。

附录 D 构配件质量检查表

表D 构配件质量检查表

本文关键词:扣件式钢管脚手架钢管壁厚,扣件式钢管脚手架钢管规格尺寸,扣件式钢管脚手架组成,扣件式钢管脚手架最新规范,扣件式钢管脚手架搭设规范最新。这就是关于《扣件式钢管脚手架施工规范最新,建筑施工扣件式钢管脚手架》的所有内容,希望对您能有所帮助!

本文链接:https://bk.89qw.com/a-850889

最近发表
网站分类