手机版

百科生活 投稿

广义托勒密定理,一分钟解开最难的数学题(初中数学课外超有用—托勒密定理)

百科 2026-02-16 10:04:26 投稿 阅读:5560次

关于【广义托勒密定理】,一分钟解开最难的数学题,今天小编给您分享一下,如果对您有所帮助别忘了关注本站哦。

  • 内容导航:
  • 1、广义托勒密定理:初中数学课外超有用—托勒密定理,初三的娃你会用吗?
  • 2、广义托勒密定理,一分钟解开最难的数学题

1、广义托勒密定理:初中数学课外超有用—托勒密定理,初三的娃你会用吗?

古希腊曾经有一位著名的天文学家依巴谷,在研究天文的时候,总结出了一个数学定理(大神都是这么流弊的嘛,仰望)

后来被数学家托勒密发现了,然后通过总结完善并发表出来,这个定理就是托勒密定理。

广义托勒密定理,一分钟解开最难的数学题(初中数学课外超有用—托勒密定理)

圆内接四边形ABCD

广义托勒密定理,一分钟解开最难的数学题(初中数学课外超有用—托勒密定理)

托勒密定理结论

【托勒密定理】圆内接四边形中,两条对角线的乘积(两对角线所包矩形的面积)等于两组对边乘积之和(一组对边所包矩形的面积与另一组对边所包矩形的面积之和).

怎么证明那?看大神们,给出了精彩绝伦的想法。

广义托勒密定理,一分钟解开最难的数学题(初中数学课外超有用—托勒密定理)

那同学们,你们现在记住了吗?我们现在找了几道经典例题,做一下。

广义托勒密定理,一分钟解开最难的数学题(初中数学课外超有用—托勒密定理)

广义托勒密定理,一分钟解开最难的数学题(初中数学课外超有用—托勒密定理)



广义托勒密定理,一分钟解开最难的数学题(初中数学课外超有用—托勒密定理)

同学们,你们会了吗?

2、广义托勒密定理,一分钟解开最难的数学题

很多时间我们在解数学题时,不是解不出答案,也不是公式没记住,而是根本就找错了方向,换个角度来想,问题便迎然而解了,这是人类得以革命性发展的重要思维方式。

上了高中,我们会觉得初中的题目好简单,那么,高中怎么也学不会的知识,可以用大学的知识去解决嘛?甚至于,一些看似浅显的,初中学习的理论,可以解答原本很复杂的题目嘛?

答案是,可以,但是不一定必要。一定要在学好高中知识点的基础上,再使用这些巧解的方法哦

下面组合教育小合从网上整理了几种妙解高中数学题的方法,供同学们参考~

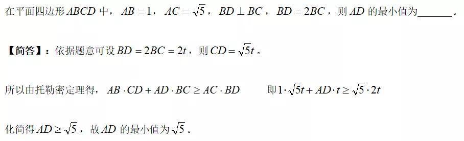
一、广义托勒密定理

用法:用于解不等式问题

原定理:

广义托勒密定理,一分钟解开最难的数学题(初中数学课外超有用—托勒密定理)

应用:

【例1】

广义托勒密定理,一分钟解开最难的数学题(初中数学课外超有用—托勒密定理)

【例2】

广义托勒密定理,一分钟解开最难的数学题(初中数学课外超有用—托勒密定理)

二、阿波罗尼斯圆

用法:用于解轨迹问题

原定理:

广义托勒密定理,一分钟解开最难的数学题(初中数学课外超有用—托勒密定理)

注解:

阿波罗尼斯圆听起来唬人,大家当它是圆就可以,故可将该定理理解为,动点C到定点A,B的距离之比≠1,且该比值大于0,可将动点C的轨迹当作圆。

应用:

【例1】

广义托勒密定理,一分钟解开最难的数学题(初中数学课外超有用—托勒密定理)

三、焦半径,焦点弦公式

用法:解抛物线问题

原定理:

广义托勒密定理,一分钟解开最难的数学题(初中数学课外超有用—托勒密定理)

注解:定理中标注(课内)的部分,同学们会在课堂内学到,标注(课外)的部分是超纲的知识点,但同样可作为定理来使用。

应用:

【例1】

广义托勒密定理,一分钟解开最难的数学题(初中数学课外超有用—托勒密定理)

【例2】

广义托勒密定理,一分钟解开最难的数学题(初中数学课外超有用—托勒密定理)

【例3】

广义托勒密定理,一分钟解开最难的数学题(初中数学课外超有用—托勒密定理)

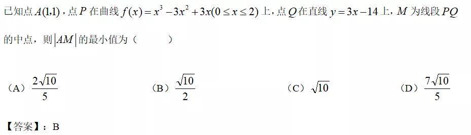
四、三次函数对称中心公式

用法:解三次函数问题

原定理:

广义托勒密定理,一分钟解开最难的数学题(初中数学课外超有用—托勒密定理)

应用:

【例1】

广义托勒密定理,一分钟解开最难的数学题(初中数学课外超有用—托勒密定理)

【例2】

广义托勒密定理,一分钟解开最难的数学题(初中数学课外超有用—托勒密定理)

【例3】

广义托勒密定理,一分钟解开最难的数学题(初中数学课外超有用—托勒密定理)

广义托勒密定理,一分钟解开最难的数学题(初中数学课外超有用—托勒密定理)

五、圆的切割线定理

用法:解圆的问题

原定理:

广义托勒密定理,一分钟解开最难的数学题(初中数学课外超有用—托勒密定理)

应用:

【例1】

广义托勒密定理,一分钟解开最难的数学题(初中数学课外超有用—托勒密定理)

广义托勒密定理,一分钟解开最难的数学题(初中数学课外超有用—托勒密定理)

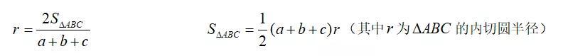
​六、三角形内切圆半径公式

用法:解圆的问题

原定理:

广义托勒密定理,一分钟解开最难的数学题(初中数学课外超有用—托勒密定理)

应用:

【例1】

广义托勒密定理,一分钟解开最难的数学题(初中数学课外超有用—托勒密定理)

​七、海伦公式

原定理:

广义托勒密定理,一分钟解开最难的数学题(初中数学课外超有用—托勒密定理)

应用:

【例1】

广义托勒密定理,一分钟解开最难的数学题(初中数学课外超有用—托勒密定理)

广义托勒密定理,一分钟解开最难的数学题(初中数学课外超有用—托勒密定理)

​组合教育《30分钟拿下高考数学选择题、填空题》,45天助你拿下高考数学小题70分,将近4年考点做了周详的统计研究,用图标和数据直观刻画每个考点分布,洞悉高考出题规律,明确复习要点。

同时针对本书的使用,给出简单有效的规划,仅需一天时间,让复习超有方向感。将最容易出难题并且最常丢分的部分总结为6大专题,站在高考命题者的角度看待命题意图,全面编写30套限时训练,每10套题提升一个难度:练基础、练通法、练思维。

不同水平的学生都能通过30次系统训练,实现做题从拖沓丢分到既快又准的巨大转变。

《解答题核心考点》,此书将近4年考点做了周详的统计研究,用图标和数据直观刻画每个考点分布,洞悉高考出题规律,明确复习要点。

充分研究每一种出题的可能和解题的通法,也全面体现近年出现的新动向、新思路,只要合理复习,就可以得高分,甚至满分。

全新编写5套大题检测题,考点分布均匀、难度适中、背景新颖,拒绝使用频繁出现的陈题,每一道题都经过重新研究审定,让取得的进步在检验中清晰可见。

本文关键词:广义托勒密定理及证明,广义托勒密定理,广义托勒密定理证明m^2n^2=a^2b^2,广义托勒密定理选哪对对角,广义托勒密定理用向量证明。这就是关于《广义托勒密定理,一分钟解开最难的数学题(初中数学课外超有用—托勒密定理)》的所有内容,希望对您能有所帮助!

本文链接:https://bk.89qw.com/a-857176

最近发表
网站分类