手机版

百科生活 投稿

肉桂什么味道好吃,是肉桂的专属风味吗

百科 2026-02-14 21:14:07 投稿 阅读:846次

关于【肉桂什么味道好吃】,是肉桂的专属风味吗,今天小编给您分享一下,如果对您有所帮助别忘了关注本站哦。

肉桂,可以说是岩茶世界中被研究得最为透彻的茶。

从浓凶煞、花果桂、桂味辛,到岩桂、大桂、老树桂,再到风格间无限的排列组合,嫩采的鲜爽霸气叠加老树的醇和与韵感,骨子里的浓凶煞平衡生于坑涧中的细幽长,千人千面,在岩茶的世界里肉桂完全可以堪称千面影帝。

肉桂什么味道好吃,是肉桂的专属风味吗

▲嫩采的、中开面采的老树肉桂、岗上的、坑涧的、拼配的、留丛的……

回溯演艺生涯中的演技巅峰,“水蜜桃味”是它绕不开的高光时刻,铁汉柔情且有动人处,浓煞桂皮萦萦蜜桃尚能不?

可以说,水蜜桃味之于肉桂界是一种高级的身份象征,但是没有水蜜桃味也不代表着这泡肉桂一定不高级,要知道,肉桂的成名是80年代的一场选秀,据说当年评委在桂皮香肉桂和蜜桃香肉桂两个选手中选送了桂皮味肉桂参赛,并且在那次全国名茶选秀中一战成名。

No.1

为什么水蜜桃味常见在肉桂中?

撇开制茶者和市场对肉桂风格的透彻挖掘和偏爱不说,就肉桂本身来说也是更有条件形成蜜桃香的品种。

要知道,不同的芳香物质对岩茶香气的贡献可以依据它的香气值(含量/香气阈值)来划分,香气值越高,就越能形成岩茶最具辨识性的特征香气。在岩茶中有了形成花香、果香风味的物质基础后,不同的品种、工艺风格都能够带来内含物质成分和含量上的差异。

比如具有花香和果实香的醇类化合物,在肉桂的芳香物质组成中占比最大,这也是肉桂在花香、果香表达中所占的优势,也能看出水蜜桃香为什么能够常出现在肉桂语境当中。

肉桂什么味道好吃,是肉桂的专属风味吗

我们在对一泡好茶评价当中有“清晰度高”这一形容,清晰度涵盖着很多个方面,这个留着以后聊,在学委看来一个拥有具体且让人愉悦的香气或滋味特征是清晰度高的表现之一,而水蜜桃味就具有这样的特性。

陈德华曾在《肉桂品种推广历程》一文中认为在肉桂的果香当中,“极品呈‘水蜜桃香’”,不同等级的肉桂,特级肉桂的可溶性糖的含量相较其他等级的最高,在GB/T18745-2006的岩茶国标中,特级肉桂的香气特征是“浓郁持久,似有乳香或蜜桃香或桂皮香。

肉桂什么味道好吃,是肉桂的专属风味吗

▲肉桂感官品质要求

可以说,水蜜桃味常见肉桂当中,是肉桂自带的优势、是水蜜桃的强辨识度,以及这一“特征 品种”组合后产生的广泛接受度和高认可度。

No.2

水蜜桃味到底是怎么来的?

首先,我们把“水蜜桃味”这个具体的风味特征扩大到它所属的果香大类中,当我们聊起桂皮味、兰香、丛味、青苔,矿物感等自然而然地会想到茶叶的品种特征、生长环境和树龄,而聊到花香、果香等往往对应的是工艺特征。

其实在茶叶中已经分离鉴定出的上百种芳香物质里就涵盖了大部分拥有和能够形成花香、果香的成分,可以说,先得是茶叶中自带花香与果香的基因,再经由不同的采摘方式、采摘季节以及特定的加工工艺等激发和凸显出来。

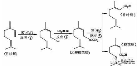
比如像沸点在220℃的苯乙醇,具有特殊玫瑰香气,其含量随不同叶位嫩度的降低而减少,春茶中含量最高,夏茶最低。再比如香气上较为相似的香叶醇和橙花醇,前者是稍浓的蔷薇香气,后者则是柔和的玫瑰气息。

肉桂什么味道好吃,是肉桂的专属风味吗

▲可以看出香叶醇和橙花醇在结构上的高相似度

再拿我们今天讨论的水蜜桃香来说,成熟的水蜜桃果实的香气本身就是由多种芳香成分共同作用而成的,内酯类是构成桃果实特征香气的重要成分,其中 γ癸内酯对“桃味”的形成贡献最大,科学家们现在普遍认为二氢海葵内酯的味道呈现的是甜桃香。

除了γ癸内酯,像乙酸乙酯、反﹣2﹣己烯醛、己醇、苯甲醛、顺﹣3﹣己烯醇等都是构成水蜜桃风味的重要组成物质,这些重要的组成物质同样也是岩茶香气中的重要贡献者。

肉桂什么味道好吃,是肉桂的专属风味吗

陈德华曾在《肉桂品种推广历程》一文细说了茶叶不同的采摘标准所形成不同的香气特征,“小开面采摘有‘奶油香’,中开面则变成了‘果香’,极品呈‘水蜜桃香’”。

除了采摘,通常情况下水蜜桃味的出现还与发酵程度以及烘焙程度有关,比如在做青过程中随着成熟度加深,茶叶香气的走向是青香-清香-花香-果香。

肉桂什么味道好吃,是肉桂的专属风味吗

相关论文有研究,在传统炭焙工艺温度(130±5) ℃的条件下,随着焙火时间的拉长各类香气成分也存在很大的差异,比如炭焙12h的茶样中能够检测出更多种类的酯类和醛类化合物,炭焙16h的茶样酯类和碳氢化合物的种类相对较少,炭焙 8 h 的茶样中酯类、醛类和碳氢化合物的种类最少。

在感官审评上,随着焙火时间的拉长,在香气上的表现是4h的是花果香浓郁,8h是花果香浓郁且持久,到了12h则是桂皮香和火功香显、持久。

肉桂什么味道好吃,是肉桂的专属风味吗

▲《焙火时间对武夷岩茶肉桂香气品质的影响》

一般会认为发酵轻,焙火轻,肉桂会侧重花香呈现;发酵重,焙火重,肉桂会侧重果香。

除此之外,蜜桃味的呈现还可以有更多的工艺尝试,比如有人认为冷发酵能够给肉桂带来丰腴的蜜桃感,比如顺着山场特征的轻火尝试也能带来清冽又清脆的蜜桃味。

肉桂什么味道好吃,是肉桂的专属风味吗

▲拥有蜜桃味的轻火桃树窠肉桂

水蜜桃味算不算肉桂的专属风味不好说,但某种程度上是工艺成熟的表现,如今喝到水蜜桃味的肉桂不算稀奇,蜜桃味的水仙、乌龙才让人发指,甚至还有朋友在茶会的时候拿了一泡“桃仁香”的单丛来挑战我们对蜜桃味的想象,带着这种参照,未来会不会有蜜桃味的奇种呢?

学委我托着下巴继续期待……

本文关键词:肉桂什么味道好吃又香,肉桂什么味道怎么描述,肉桂啥味,肉桂什么味道好吃一点,肉桂什么口感好。这就是关于《肉桂什么味道好吃,是肉桂的专属风味吗》的所有内容,希望对您能有所帮助!

本文链接:https://bk.89qw.com/a-858004

最近发表
网站分类