手机版

百科生活 投稿

非标机械设计总结非常实用很全面,非标机械设计中常用基本知识及计算公式

百科 2026-02-28 07:59:27 投稿 阅读:1998次

关于【非标机械设计总结非常实用很全面】,非标机械设计中常用基本知识及计算公式,今天小编给您分享一下,如果对您有所帮助别忘了关注本站哦。

大家在做机械设计以及一些非标设计选型时候会遇到一些单位的换算和公式的应用比如角速度、转动惯量等等。

今天小编就给大家简单介绍一下这些我们设计中常用的单位和计算公式。

一、 单位

最基本的知识点,就不用多讲了。

米制单位

3 个基本单位 : 国际单位制 (SI)

质量 : m 单位 : 千克 (kg)

长度 : l 单位 : 米 (m)

时间 : t 单位 : 秒 (s)

非标机械设计总结非常实用很全面,非标机械设计中常用基本知识及计算公式

运动学

线速度和角速度

非标机械设计总结非常实用很全面,非标机械设计中常用基本知识及计算公式

线加速度和角加速度

非标机械设计总结非常实用很全面,非标机械设计中常用基本知识及计算公式

功率

非标机械设计总结非常实用很全面,非标机械设计中常用基本知识及计算公式

英制单位

有时候大家工作中某些机器和部件会遇到英制单位,所以就需要对英制单位有一定了解并且会进行简单的换算。

质量,重量,力 :

单位 : 磅 (lb) [盎司 (oz) : 1 lb = 16 oz ]

长度 :

单位 : 英寸 (in) [1英尺 (ft) = 12 英寸 - 1 码 (yd) = 3英尺]

时间 :

单位 : 秒 (s)

线速度 :

单位 : 英寸每秒 (in/s)

线加速度 :

单位 : 英寸每平方秒 (in/s²)

力矩:

单位 : 英寸磅 (in.lb)

惯量 :

单位 : 英寸磅平方秒 (in.lb.s²)

等效的米制和英制单位(换算)

重量 :

1 pound (lb) = 453,59237 g = 0,45359237 kg = 4,44822 N

长度 :

1 inch (in) = 2,54 cm = 0,0254 m

力矩 :

1 inch pound (in.lb) = 0,1130234 Nm

惯量 :

1 inch pound second square (in.lb.s²) = 0,112961 kg.m²

重力加速度 :

g = 386 in/s² = 32,12 ft/s² = 9,81 m/s²

二、机械公式

运动无外乎两种:直线和角度运动

直线运动 :

非标机械设计总结非常实用很全面,非标机械设计中常用基本知识及计算公式

角度运动 :

非标机械设计总结非常实用很全面,非标机械设计中常用基本知识及计算公式

动能:

非标机械设计总结非常实用很全面,非标机械设计中常用基本知识及计算公式

三、一些惯量的计算

密度:

单位 : 千克每立方米 (Kg/m3)

磅每立方英尺 (lb/in3)

某个体积承载的重量取决于构成的材料.

非标机械设计总结非常实用很全面,非标机械设计中常用基本知识及计算公式

根据形状做体积计算:

长方体时:

非标机械设计总结非常实用很全面,非标机械设计中常用基本知识及计算公式

实心圆柱体:

非标机械设计总结非常实用很全面,非标机械设计中常用基本知识及计算公式

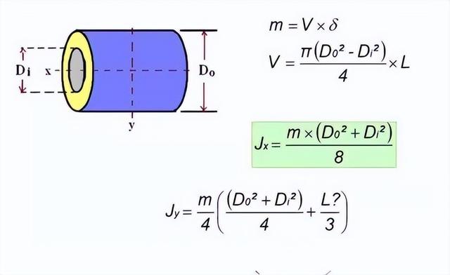
空心圆柱体:

非标机械设计总结非常实用很全面,非标机械设计中常用基本知识及计算公式

力臂和质量:

非标机械设计总结非常实用很全面,非标机械设计中常用基本知识及计算公式

非标机械设计总结非常实用很全面,非标机械设计中常用基本知识及计算公式

好了,干货重点来了!

常用的转动惯量计算公式表:

非标机械设计总结非常实用很全面,非标机械设计中常用基本知识及计算公式

这些你都看懂了吗?建议拿笔记起来哟。

本文关键词:非标机械设计实例讲解,什么叫非标机械设计,非标机械设计需要掌握什么,非标机械设计怎么入门,非标机械设计视频教程。这就是关于《非标机械设计总结非常实用很全面,非标机械设计中常用基本知识及计算公式》的所有内容,希望对您能有所帮助!

本文链接:https://bk.89qw.com/a-862014

最近发表
网站分类