百科生活 投稿
关于【对勾函数的性质及图像】,对勾函数图像作图过程,今天小编给您分享一下,如果对您有所帮助别忘了关注本站哦。
- 内容导航:
- 1、对勾函数的性质及图像:高中数学“对勾函数”的图像和性质
- 2、对勾函数的性质及图像,对勾函数图像作图过程
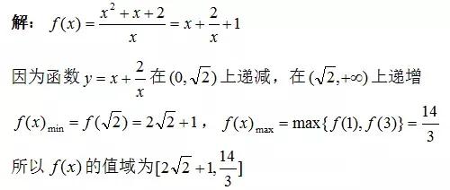
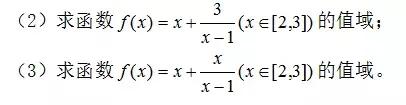
1、对勾函数的性质及图像:高中数学“对勾函数”的图像和性质








2、对勾函数的性质及图像,对勾函数图像作图过程
本文关键词:对勾函数的性质及图像总结,对勾函数的性质及图像PPT,对勾函数的性质及图像最小值,对勾函数的性质及图像教案,对勾函数的性质及图像表格。这就是关于《对勾函数的性质及图像,对勾函数图像作图过程(高中数学“对勾函数”的图像和性质)》的所有内容,希望对您能有所帮助!
- 最近发表