手机版

百科生活 投稿

隶书的四大要素,赵炳坤画龙点

百科 2026-02-06 17:02:37 投稿 阅读:8005次

关于【隶书的四大要素】,赵炳坤画龙点,今天小编给您分享一下,如果对您有所帮助别忘了关注本站哦。

“点”在隶书的笔画中虽然不甚起眼,但如果用好用活,就能在表现隶书的趣味性方面,起到其他笔画所无法替代的独特作用。

隶书的四大要素,赵炳坤画龙点

隶书以平正为主,容易写得呆滞无趣。在隶书的笔画中,横、竖基本表现为静态,点、撇、捺,弧线基本表现为动态。动态的笔画用得好,姿态就活泼可爱。反之,就会写得平淡乏味。

不同汉碑的特点,有着不同的形态特点。厚实古拙风格的碑(《张迁碑》、《肥致碑》、《鲜于璜碑》等)的“点”,表现为圆浑凝练,方峻刚毅。

秀逸优美风格的碑(《朝侯小子残碑》、《礼器碑》、《曹全碑》等)的“点”,表现为活泼轻快、灵动飘逸。

恣肆潇洒风格的摩崖刻石(《石门颂》、《西峡颂》、《杨淮表记》、《开通褒斜道刻石》等)的“点”,表现为潇洒多姿、随意生发。

隶书的四大要素,赵炳坤画龙点

《肥致碑》中带“点”的字,结字都很特别。细细品味其中之巧妙,让人不得不叹服古人的智慧。反复揣摩把玩,总是觉得回味无穷,有余音绕梁之感。于是,便有了做一番梳理的想法。

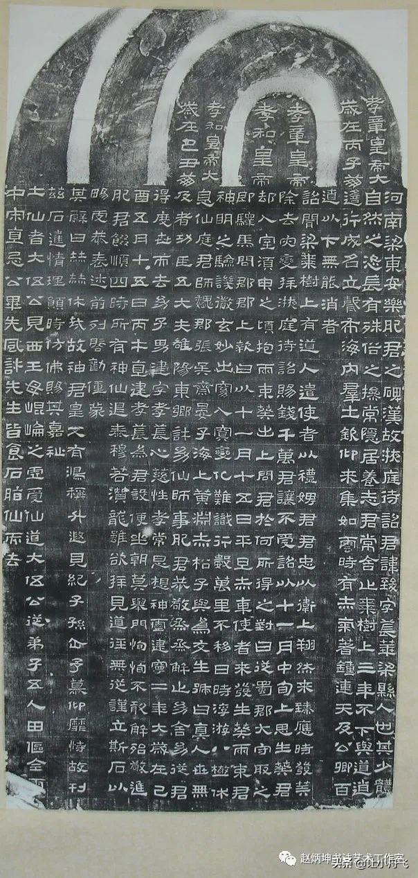
汉《肥致碑》,全称《河南梁东安乐肥君之碑》,建于东汉建宁二年(一六九)五月。碑高九十七点三厘米,宽四十七点五厘米,隶书十九行,满行二十九字,有界格。一九九一年出土于河南偃师南蔡庄村,现存偃师市商城博物馆。

《肥致碑》书法质朴平和,从容稳健,兼之出土晚近,字口锋芒如新发于此。其笔致宛然,与同时期所建之《华山碑》、《史晨碑》等庙堂制作相比,书写意趣格外突出,全无雕琢修饰痕迹,堪称汉碑隶书之精品。(荣宝斋出版社《汉肥致碑》)

隶书的“点”的书写规律,书写时要做到每个“点”都逆锋起笔,形态上要厚实。初学者很容易受到碑的表面形态所引导,看到是尖的形态,就露锋起笔。

点、短线实际上都是线段的一截,可以理解为是线段的浓缩。

清代姚孟起云:汉隶笔笔逆,笔笔蓄。起处逆,收处蓄。“点”也是如此。逆,可以实逆,也可以虚逆。

虚逆,逆势在空中完成,动作一定要有,不能省略。有这个动作,笔势在,能承上启下,气息连贯,线条质量才能保证。

因此,作为线条的最小单位“点”,书写时要三过其笔,依然有起、行、收的运动轨迹。

隶书的四大要素,赵炳坤画龙点

东晋王羲之《题卫夫人<笔阵图>后》:“每作一点,如高峰坠石。”高峰坠石有速度,速度产生力度。

速度和力度产生反应,也能表现重量感和力度感。犹如我们小时候玩过的动作:抓起一团泥巴,快速“掷”向墙壁,在墙壁上留下“点”。所以写点心时动作要熟练迅捷,要有一定的书写速度。

《肥致碑》的“点”,丰腴圆润,厚实饱满,趣味盎然。书写时忌尖、薄、弱。下笔不要犹豫,要准确、果敢。

形态上要有大小、收放、疏密等,做到方圆兼备,各具姿态。

写得圆浑朴厚的“点”,如第二页“带三点水掖”的左边三“点”、“之”的两“点”;第四页“道”左边的两“点”,“对”上面的三“点”。第三页“赤”下面的四“点”等字。其“点”笔锋内藏,不见锋颖。书写时要逆锋行笔,动作迅速。

隶书的四大要素,赵炳坤画龙点

写得轻快灵动的“点”,如第三页“隐”、“志”,下面左“点”。第三页、第七页“时”下面的“点”。这些“点”形态稍长,出锋形态清晰,活泼生动,见锋见笔。

隶书的四大要素,赵炳坤画龙点

《肥致碑》巧妙用“点”。如第十三页“宋”、第十一页“述”、第十页“岁”,把短线或者撇捺写成“点”,留出空间,表现得更为古拙内含,峻峭空灵。

隶书的四大要素,赵炳坤画龙点

带一个“点”的字,一般分布在字的上面,如宝盖头、广字头等的“点”,写得自由生动。如:第七页“字”、第五页“室”、“灾”、“庭”、第七页“旦”、第十页“宁”、第十一页“立”、第十三页“直”、第十四页“脂”等。

隶书的四大要素,赵炳坤画龙点

带两个“点”的字,既有笔势连贯的,也有相背对称的。笔势连贯的如:第二页“之”、“俗”、第三页“逍”、“与”、第七页“难”等。相背对称的,如:第二页“常”、第三页“气”、第十一页“欲”等。

隶书的四大要素,赵炳坤画龙点

带三“点”的字,讲究呼应、疏密。如第二页“汉”、“河”、“梁”、第十二页“辞”、“纪”、“孙”、“县”、“称”等。

隶书的四大要素,赵炳坤画龙点

带四“点”的字,讲究连贯、开合、方向变化。如:第二页“然”、第三页“云”、第四页“无”、第六页“马”、第七页“两”、第八页“为”、“赤”等。

隶书的四大要素,赵炳坤画龙点

带多“点”的字,讲究参差大小变化。如第十二页“赫”、“鸿”、第十页“岁”、第七页“验”、“浮”等。

隶书的四大要素,赵炳坤画龙点

临摹碑帖,要懂得归纳规律,运用规律来创作作品。特别是碑刻,如果仅着眼于碑刻的形态,学习很有可能产生偏颇,

要么片面追求所谓的“金石味”,把线条写得颤颤抖抖;要么刻画形态,追求复印件式的“像”,写得和字帖上的字一模一样,未能理解其中奥秘,描字式抄书。

所以,临摹书法,要善于动脑筋,学会分析、归纳总结,才能真正把握住原碑的精髓和意蕴,灵活地运用到创作中去。

本文关键词:隶书的要点,隶书的四大要素是什么,隶书的概念,隶书的基本,隶书最重要的特征四个字。这就是关于《隶书的四大要素,赵炳坤画龙点》的所有内容,希望对您能有所帮助!

本文链接:https://bk.89qw.com/a-865023

最近发表
网站分类